1.서 론
질화규소(Si3N4)는 화학적으로 안정하여 강도가 높고 내열 충격성이 뛰어나 고온 구조용 세라믹 재료로 널 리 활용되고 있으며, 특히 반도체 산업 분야에서 DRAM (dynamic random access memory), 플래시 메모리와 같 은 차세대 메모리 제작 시 박막 형태로 적층되어 절연 층, 부동태(passivation) 처리, 확산 방지 마스크 등으로 사용된다.1) 소자를 제작할 때에 다양한 공정을 거치는 과 정에서 고온의 열처리 과정이 수반되기 때문에 소자의 열적 안정성과 신뢰성을 위하여 물성에 기반한 열설계 가 필수적이다. 하지만, 박막과 같은 나노스케일 재료의 물성은 벌크(bulk) 상태와 비교하여 높은 비(比)표면적을 갖기 때문에 크기효과를 보이며, 동일 재료라 하더라도 공정 방법이나 조건에 따라 그 성질이 변하기 때문에 해 당 특성길이에 적합한 물성 평가 법이 필요하다.2)
박막의 열물성을 측정하는 방법으로 3ω 기법이 있는 데, 이는 마이크로 가공을 통하여 시료의 표면에 도선 을 형성한 다음 1ω 주파수를 갖는 교류 전류를 가하면 시편의 온도 반응이 3ω 주파수의 전압 변화로 나타나 는 현상을 이용하여 박막의 열전도율 혹은 열확산도를 측정한다.3) 3ω 기법은 열전도율이 낮은 재료를 높은 민 감도로 측정할 수 있는 장점을 갖지만, 금속 도선을 형 성하기 위하여 증착, 노광, 식각 등 번거로운 가공 공 정을 거쳐야 하는 단점이 있다. 이에 반하여, 펌프-프로 브(pump-probe) 기법은 박막의 표면에 펨토초의 펄스폭 을 갖는 레이저 광을 입사시킨 후 열전도에 따른 표면 반사도의 변화를 측정함으로써 재료의 열물성을 비접촉 식으로 평가할 수 있으며, 기존의 레이저 플래쉬 기법 과 비교하여 수 피코초와 나노미터에 이를 정도로 월등 히 높은 시·공간적 분해능을 갖는다.4)
따라서, 본 연구에서는 광학적 기법을 사용하여 Si3N4 박막의 열전도율을 평가하였다. RF 플라즈마 화학 기상 증착법(radio frequency plasma enhanced chemical vapor deposition, RF PECVD)을 사용하여 시험시편을 제작하 였으며, 펨토초 레이저 시스템을 기반으로 한 2파장 펌 프-프로브 측정장치를 사용하여 열반사도 감소를 측정하 였다. 해당 열물성을 정량적으로 평가하기 위하여 비정 상(transient) 열전도 방정식을 수립하였으며, 그 해를 수 치해석으로 구하여 실험결과와 비교분석하였다.
2. 실험방법
2.1. 시험시편
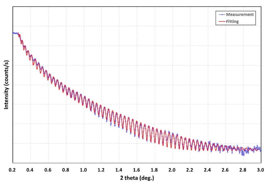
RF PECVD(모델 PEH-600, Sorona社)를 사용하여 100 nm 두께의 Si3N4 박막을 4인치 실리콘 (100) 웨이퍼 표 면에 증착하였다. 이 때, MEMS(microelectromechanical systems) 센서 및 반도체 제작 시 많이 활용되는 점을 고려하여 100 nm의 두께를 평가 대상으로 설정하였다. 공 정 시 SiH4와 NH3 가스의 유량을 각각 220 sccm과 50 sccm으로 유지하였으며, 챔버의 압력과 온도를 각각 350 ºC와 150 mTorr로 유지하였다. RF 파워는 60W였으며, 170초 동안 공정을 진행하였다. 증착 후 박막의 두께를 측 정하기 위하여 X-선 반사율 측정을 수행하였다. PANalycial 社의 X’pert Pro 모델을 사용하였으며, 0.2°부터 2.9975° 까지 0.005° 간격으로 측정하였다.
광학적 측정을 위해 전자빔 증착기(모델 FC-2000, Temescal 社)를 사용하여 Si3N4 표면에 100 nm 두께의 알루미늄을 증착하였다. 이는 표면에 입사되는 펌프 레 이저 광을 흡수하여 하부의 Si3N4 층으로 열전도를 일 으키는 역할을 하며, 아울러 반사도 측정을 위해 프로 브 레이저 광의 표면 반사율을 증대시키는 역할을 한다. 이 때, 알루미늄 박막의 두께는 광학적 두께와 열반사 율 감소 곡선의 관찰 시간을 고려하여 설정하였다.
2.2. 2파장 펌프-프로브 측정
시료의 열전도율을 측정하기 위하여 2파장 펌프-프로 브 측정장치를 사용하였다. Fig. 1은 실험장치의 개략도 를 보여준다. 532 nm 파장의 5 W 연속발진 레이저 광 이 Ti:Sapphire 오실레이터를 거쳐 780 nm 파장과 120 fs 펄스폭을 갖게 되며, 80 MHz의 반복률로 시험시편에 조사된다. 이 때, 빔은 9:1의 강도비로 분할되어 펌프 펄 스와 프로브 펄스로 나누어지며, 펌프 펄스는 다시 베 타 붕산바륨 크리스탈을 거쳐 390 nm 파장으로 변환된 다. 이는 프로브 펄스와 파장 차이를 발생시키기 때문 에 시료 표면에서 발생하는 펌프 광의 산란반사를 차단 할 수 있어 신호대 잡음비를 증가시키는 장점을 갖는다. 펌프 빔은 전기광학 변조기(electro-optic modulator)에 의 하여 1 MHz의 주파수로 작동하며, 기준 신호는 락-인 (lock-in) 증폭기에 입력되었다. 프로브 펄스는 펌프 펄 스와 동일한 위치에 조사되어 광검출기에 입력되며, 거 울이 부착된 선형 스테이지를 구동하여 펌프 펄스 대비 시간차를 1 ns까지 발생시켰다. 실험장치에 관한 기타 사 항은 참고문헌에 보다 자세히 기재되어 있다.4)
3. 이론 및 해석
측정 실험으로부터 구한 결과를 비교분석하여 열전도 율을 정량화 하기 위하여 수치해석을 수행하였다. 알루 미늄 표면에 펌프 레이저 광이 입사하면 시료의 두께 방 향으로 열전도가 일어나는데, 이는 푸리에(Fourier) 열전 도 방정식의 형태로 기술된다:4)
이 때, ρ는 밀도를, Cp는 비열을, T는 온도를, t는 시 간을, κ는 열전도율을, z는 박막 두께 방향으로의 깊이 를, 그리고 W(z,t)는 박막에 입사하는 펌프 레이저 광을 열원으로 하는 함수이다:
이 때, I0는 레이저 강도를, R은 반사도를, β는 흡광 계수를, 그리고 τ는 레이저 펄스 폭을 나타낸다. 박막 표 면(z = 0)과 박막 각 층 간 경계조건은 다음과 같이 기 술된다:
이 때, G는 열경계저항을 뜻하며, 하첨자 1과 2는 각 각 경계면 상부와 하부의 박막 재료를 의미한다. 참고 로, 식 (3)이 성립하는 이유는 공기의 열전도율이 알루 미늄에 비하여 상대적으로 매우 작기 때문에 표면에 입 사된 에너지 대부분이 박막 깊이 방향으로 전파되기 때 문이다. 마지막으로, 온도의 초기조건에 대하여 박막은 휴지(休止) 상태에 놓여있기 때문에 다음과 같이 기술 된다:
지배방정식의 해를 구하기 위하여 수치해석을 수행하 였다. 2차 정확도의 유한차분법을 사용하여 식 (1)을 이 산화(discretization) 하였으며, Crank-Nicolson 기법을 사 용하여 계산하였다. 계산에 사용한 물성치를 Table 1에 기재하였다. 실리콘 기판의 두께는 525 μm에 이르므로 벌 크 실리콘 물성과 동일하며, 알루미늄과 Si3N4 박막의 비 열은 문헌값을 사용하였다.5,6)
4. 결과 및 토의
4.1 X-선 반사율 측정
Fig. 2는 Si3N4 박막에 대한 X-선 반사율 측정 결과를 보여준다. 시뮬레이션 결과와 곡선 맞춤하여 2.846 g/cm3 의 밀도와 95.8 nm의 두께 값을 얻었으며, 이를 수치해 석 시 물성값으로 입력하였다. 벌크 상태에서 밀도는 일 반적으로 3.17~3.20 g/cm3으로 알려져 있으나, 박막 상태 에서는 2.6~3.0 g/cm3 범위의 값을 갖는 것으로 보고된 바 있다.5)
4.2 2파장 펌프-프로브 측정
Fig. 3은 펌프-프로브 측정 결과를 보여준다. t = 0 시 점에서 펌프 펄스의 입사에 따라 알루미늄 표면의 반사 율이 온도 증가에 비례하여 상승하며, 이후 박막의 표 면에서 깊이 방향으로 열전도가 일어남에 따라 서서히 감소하는 것을 알 수 있다. 수치해석 결과와 곡선맞춤 하여 알루미늄과 Si3N4에 대해 각각 κAl = 210 W/m·K과 κSi3N4 = 1.9 W/m·K의 값을 얻었으며, 또한 알루미늄/Si3N4 계면의 열경계저항에 대하여 G = 1.08 m2·K/GW의 값을 적용하였을 때에 최적의 결과를 얻었다.
4.3 결과 비교 분석
Si3N4의 열전도율은 제작 방법이나 공정 조건에 따라 변화의 폭이 크지만, 벌크 상태의 물성은 20~30 W/m·K 내외의 값을 갖는 것으로 알려져 있다.5) 이와 비교할 때 에 본 연구로부터 측정한 Si3N4 박막의 열전도율(1.9 W/ m·K)은 그보다 10배 정도 낮으며, Fig. 4에서 확인되는 바와 같이 PECVD로 성장시킨 박막의 열전도율 범위 내 에 존재하는 것을 알 수 있다. 23 nm와 35 nm 두께의 Si3N4를 동일 실험법으로 측정한 결과(각각 1.0W/m·K와 0.94 W/m·K)와 비교한다면 본 연구결과는 약 2배정도 높 은 편인데,7) 그 이유는 공정 조건의 차이에 따른 박막 의 결정 구조와 밀도의 차이에 기인한 것으로 사료되 며, 이는 참고문헌12)에서 보고된 바와 같이 박막의 두 께가 감소할수록 열전도율도 감소하는 경향성과 일치한 다. 저압 화학 기상 증착법(low pressure chemical vapor deposition)으로 만든 Si3N4와 비교해 보면 PECVD로 성 장시킨 Si3N4의 열전도율이 상대적으로 낮은 것을 볼 수 있다.6,13,14) 나노스케일 박막의 열전도율이 벌크 상태에 비 하여 낮은 이유는 특성길이가 작아질수록 마이크로 구 조와 결함의 영향을 많이 받기 때문으로 알려져 있으 며, 포논(phonon)의 열수송적 특성과도 연관된 것으로 알 려져 있다.15) 본 실험결과는 이러한 경향성과 일치하는 것을 알 수 있다.
5.결 론
본 연구에서는 펨토초 레이저 시스템을 기반으로 하는 2파장 펌프-프로브 기법을 사용하여 Si3N4 박막의 열전 도율을 측정하였다. PECVD를 사용하여 실리콘 웨이퍼 에 100 nm 두께의 Si3N4를 증착하였으며, X-선 반사율 측정을 하여 시료의 밀도와 두께를 확인하였다. 열전도 방정식의 해를 구하기 위하여 수치해석을 수행하였으며, 펌프-프로브 측정 결과와 곡선맞춤 함으로써 열전도율을 정량화 하였다. 연구 결과로부터 1.9W/m·K의 값을 확 인하였으며, 이는 일반적으로 알려진 벌크 물성에 비하 여 10배 정도 낮은 특성을 보인다. 본 연구는 기존 측 정법과는 달리 박막 재료의 열물성을 높은 시·공간적 분 해능으로 측정할 수 있는 방법을 제시한다.







