1.서 론
서지(surge) 또는 과전류를 차단하여 회로손상을 방지 하는 단락저항기(fusible resistor)에는 카본피막에 금속 또는 금속산화물을 도포한 피막단락저항기(film fusible resistor)와 Ni-Cr 합금선을 이용한 권선단락저항기(wire wound fusible resistor)가 있다.1,2) 단락저항기가 퓨즈 (fuse)와 다른 점은 전기회로에 규정된 전류보다 큰 전 류가 인가되면 규정된 시간을 두고 저항선이 단락되어 개방회로를 형성한다.3) 단락거동은 저항, R(Ω)인 도체에 전압, V를 인가할 때 흐르는 전류, I(A)와 시간, t(sec) 동안 발생한 줄(Joule)열량, Q에 의해 결정된다.4)
여기서 저항, R = ρ · L/A로 주어지며, ρ는 고유저항, L은 길이, A는 단면적을 각각 의미한다. 권선저항기(Ni-Cr합 금 저항선, J타입, 6.2 Ω ± 2.2 %)의 단락거동은 회로설계 허용범위를 넘어선 전압과 전류 변동에 의해서 나타난 다. 그러나 금속 저항선의 단락은 인가전압과 줄열 크 기에 의존하지만 허용전류 이상에서도 단락이 일어나는 경우는 제한적이다. 이 문제점을 해결하기 위하여 이상 전류가 인가될 때 줄열을 증폭시켜 Ni-Cr합금의 전기저 항을 변화시킬 수 있는 매개재를 주목했다. 여기서 매 개재는 Ni-Cr합금 저항선의 산화반응으로 설계된 저항값 변화를 유도하는 물질을 의미한다. 이 아이디어는 반응 성이 큰 금속은 이온으로 산화되고 반응성이 작은 금속 은 환원되어 금속이 석출되는 금속 이온화 경향을 고려 하였다. 이온화 경향이 큰 금속입자와 유리전이온도(Tg) 에서 구조가 변화하는 매개재를 Ni-Cr합금선에 도포하였 을 때 전기화학반응에 따른 단락거동은 잘 알려져 있지 않다. 따라서 본 연구에서는 아래의 단락 가설모델로부 터 현상론적인 결과와 상호 비교하였다.
금속선과 매개재는 전기·화학적 전위차가 없는 평형 상태에서 급작한 전류변동으로 발생한 저항의 줄열이 매 개재 계면 측으로 나아갈 때 상 경계(phase boundary) 는 평형상태와 상이한 열전도 현상이 나타난다고 가정하 였다. 이때 금속 측은 자유전자, 결정격자 진동의 포톤과 열전도 속도, 계면과 재료의 온도구배에 의한 재료간의 포 톤에너지 교환, 그리고 열전도 매체를 사용하지 않는 복 사에 의존한다고 가정하였다.5,6) 유리내에 이온화 경향이 큰 금속필러가 포함된 매개재 측은 저온에서 포논전도, 그 리고 고온에서는 적외선 복사 확산인 포톤 전도에 의존 한다고 설정하였다. 이는 매개인자 유리가 유리전이온 도, Tg에 도달하면 전하 이동자와 유리구조 변화에 의해 열용량, 밀도, 조성, 그리고 열팽창계수 증가가 급격하게 변화하는 물리·화학적인 변이현상을 수반한다.7)
이 관점에 따라 본 연구에서는 매개금속이 첨가된 PbO-B2O3—ZnO-SiO2계 유리8)와 인가전류에 비례하여 발 생한 Q가 Ni-Cr선에 미치는 전기화학반응에 의한 퓨징 기구 가설의 성립여부와 선형회귀법9)으로 단락 신뢰수준 을 추정하였다.
2. 실험방법
모 유리조성은 93PbO-6B2O3-3ZnO-2SiO2 (wt%)이다.9) 합성 모유리의 1차 볼밀 유리분말 : 300 μm ZrO2볼 : Iso- Propyl Alcohol (Sigma-Aldrich USA)을 1 : 2 : 3 비율로 넣고 172 h 밀링 후 50 °C에서 건조하였다. 분쇄 유리분말 60 g에 Table 1의 금속필러, 그리고 α-Terpineol (Sigma- Aldrich, USA) 24 cc의 첨가 혼합물을 3-단 밀(Exakt, Exakt 501, USA)에 통과시켜 점도 2 × 104 kcps (Viscometer, SV 10, AND, Japan)를 가지는 이종 페이스 트(hybrid paste)를 제조하였다. 예비실험에서 규칙 또 는 불규칙한 퓨징거동이 나타나는 Sn, Zn, Cu, Fe, Al 등을 포함하여 Table 1을 디자인하였다. 모유리 미세구 조와 결정상과 유리 전이온도는 각각 투과전자현미경 (Transmission Electron Microscope, JEM-1400, Jeol, Japan)과 열중량시차열분석기(Thermal Gravity Differential Temperature Analyzer, TG-DTA 8120, Rigaku, Japan) 로 각각 관찰하였다. J-타입 권선저항기(6.2 Ω ± 2.2 %) 에 하이브리드(hybrid) 페이스트를 1.5 ± 0.5 mm 띠로 도포한 후 60 °C, 4 h 동안 건조한 퓨징시편과 비도포 된 대조군 시편을 각각 준비하였다(Fig. 1). 퓨징 측정 시스템은 시편저항 양단에 가변전원(E3632A, Keysight, USA)을 연결한 폐쇄회로에 0 ~ 30 V, 500 mA를 인가하 는 구성이다(Fig. S1). 퓨징의 단락전원 데이터는 GPIB (82357B, Keysight, USA)로 수집하였다. 퓨징 모집단 데 이터는 변동전류에 따른 600개의 Sn01시편 그리고 대조 군 모집단 데이터는 100개의 J-타입 저항기에 30 V, 500 mA를 각각 인가하여 선정하였다. Excel함수를 이용하여 측정시편의 평균, 표준편차, 상대편차, 중앙값, 중간값, 빈 도수, 그리고 F-시험으로 두 집단의 표준편차가 같다는 귀무가설(null hypothesis)과 대립가설(reject hypothesis) 채택여부를 확인하였다. Student-t를 이용하여 신뢰구간을 나타낼 때와 실험으로부터 얻은 평균값 차이를 계산하 였다. 그리고 최소자승법으로 인가전압에 따른 퓨징 신 뢰성과 수준 등10)을 예측하였다.
3. 결과 및 고찰
Fig. 2는 93PbO-6B2O3-3ZnO-2SiO2 (wt%)계 유리 결 정상과 분쇄입자 미세구조를 관찰한 TEM 이미지이다. Fig. 2(a)의 TEM은 비정질상의 전형적인 환(ring)패턴을 보이고 있다. 이러한 결과는 제 2산화물인 PbO함유량 (< 93 wt%)에 상관없이 105 °C/sec 속도로 냉각시키면 유 리형성이 가능한 기존 연구결과에 상응한다.9) Fig. 2(b) 에서 분쇄입자 등가지름, Dpe = Dp/λ10)은 0.29 μm이였 다. 여기서 Dt는 입자크기, 0.2 μm와 λ는 구형도(sphericity) 0.7인 구상 분말을 나타낸다.

Fig. 2
TEM images of 93PbO-6B2O3-3ZnO-2SiO2 (wt%) system glass; (a) Crystalline phase, and (b)Microstructure of glass particles after milling.
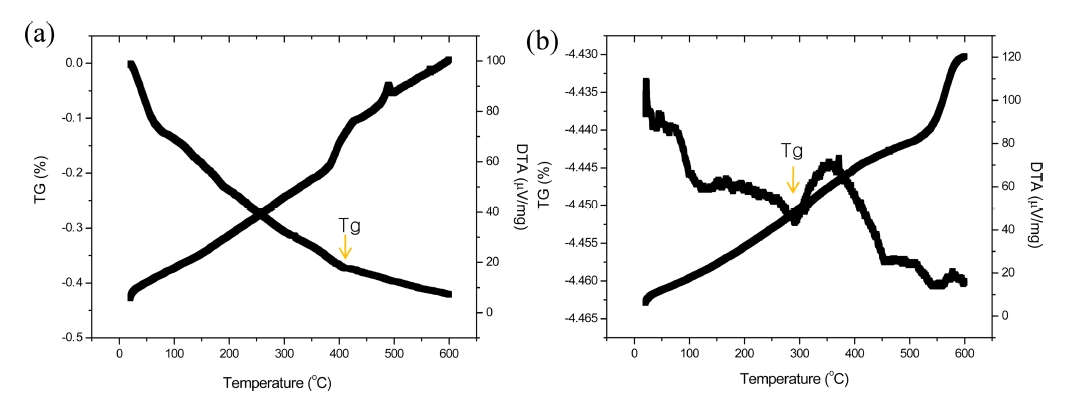
Fig. 3은 매개재 유리의 Tg/DTA 곡선이다. Fig. 3(a)의 벌크 유리의 Tg는 380 °C에서 Fig. 3(a)의 0.2 μm 미 분쇄 분말 Tg는 280 °C로 저온이동하였다. 이 원인은 입자의 크기 변화에 의한 비표면적 또는 전위차, 체적 분률, 열전도 증가, 그리고 열반응속도 가속화에 기인 한다. 즉 1 cm 입자를 1 μm로 분쇄하면 1012, 10 nm로 분쇄하여 1018조각이 될 때 6 cm2/g, 6 m2/g, 그리고 600 m2/g의 기하급수적인 비표면적 증가, 입자표면에 위 치한 원자 분율과 고체입자 크기에 따른 입자와 분자간 쌍 전위(pair potential)차, 그리고 미립자에 의한 열전도 증가로 유리 형성제(former)간의 인력 증가에 의해 체적 분률 변화가 나타난다.11,12)

Fig. 3
Tg/DTA curves of 93PbO-6B2O3-3ZnO-2SiO2 (wt%) glass system; (a) Before milling and (b) After milling. Where Tg is glass transition temperature and Ts is softening point, respectively.
페이스트가 도포된 저항시편의 단락부 미세구조로서 Fig. 4(a)와 (b)는 저항체에 Ni-Cr선이 녹아 융착된 형상 을 보이고 있다. 여기서 Sn01시편은 전원인가 5 min 이 내에 규칙적이고 안정적인 단락거동을 나타내었다. 반면 다른 시편들은 저항기 표면 도포상태와 종류에 관계없 이 단락은 관찰되지 않고 저항표면에 에나멜링되었다(Fig. 4(c)). 이는 첨가 금속, 첨가량, 그리고 도포 형상에 의 존하여 퓨징이 결정됨을 의미한다.

Fig. 4
Microstructure of fusing and non-fusing shape; (a) Fusing section (circle) of the specimen painted with Sn01 paste, (b) Metal melted on the surface of the resistor body, and (c) Non-fusing regardless of the paste species when over painted on the resistor.
Fig. 5는 저항에 도포된 페이스트 전원인가 전·후의 미 세구조를 나타내었다. Fig. 5(a)의 상단은 감람석(forsterite) 세라믹 모체에 Ni-Cr선이 감겨진 대조군이다. 전원인가 전에는 금속필러(붉은 색)와 유리분말(백색)이 구분 가능 한 상태에서 전원 인가 후는 쥴열에 의해 저항표면에 에 나메링된 유리에 금속입자가 자라난 트리(tree) 또는 국 부적으로 금속이 응집된 미세구조를 보이고 있다(Fig. 5(b-f)). 유리 용융에 의한 에나멜링의 표면은 첨가된 금 속필러의 색상에 의존한다. Fig. 5(c)의 암흑색 표면은 미 립자의 Fe금속필러가 균일한 분산상태에서 융융된 결과 이다.

Fig. 5
Microstructure of the specimen with metal filler doped; (a) Cu and Glass mixture, (b) Cu-doped, (c) Fe-doped, (d)Sn- doped, (e) Aldoped, and (f) Zn-doped specimen. Where image of (a) is before DC power application, and images of (b-f) are after DC power application.
Fig. 4와 5의 현상론적인 결과로부터 줄열에 의해 매 개재와 저항선은 Fig. 6과 같은 상태 변화를 거치는 모 델을 설립하였다. 정상전압이 인가되는 초기의 정적인 상 태에서 줄열 크기는 상, 온도, 밀도 그리고 분자 결합 인 재료 고유물성인 금속비저항, ρ에 의해서 결정된다. 이때 ρtotal = ρtemp. + ρimpurity + ρdefect이며 온도, 불순물, 그 리고 결함 등에 의존한다.

Fig. 6
Fusing model; (a) Initial stage; Equilibrium state. No electro- chemical potential difference between metal/glass under steady voltage condition, (b) Mid-term stage: Joule heat is transferred to the interface by current fluctuation, and the glass reaches Tg. Metal releases free electrons toward glass and oxidation and reduction reactions, and (c) Last stage: Redox reaction of metal surface. Reaching the melting point of Ni-Cr wire by increasing resistance.
중간단계는 식 (1)에 따라 저항, R인 재료에 t 동안 전 류가 흘러갈 때 발생하는 열의 양, Q가 증가에 의해 매 개재가 유리전이온도, Tg에 도달하면 자유에너지와 배치 엔트로피, 밀도, 조성, 그리고 열팽창계수 증가로 물리·화 학적 변화가 일어난다.12) 이 변화는 첨가금속의 전기음성 도, 그리고 금속의 용융온도에 의해서 결정된다. 첨가된 금속의 전기음성도는 Sn 1.96 > Cu 1.90 > Fe 1.83 > Zn 1.65 > Al 1.61, 그리고 용융온도는 Fe 1,535 °C > Cu 1,085 °C > Al 660.3 °C > Zn 419.7 °C > Sn 231.9 °C 순이다.5,9) 첨가물 중에서 가장 높은 전기음성도와 가장 낮은 금속용융온도를 가지는 Sn 미립자의 용융온도는 177.3 °C로 낮아진다. Sn은 액상의 Sno과 산화물인 SnO2 (Sn°+ O2 = SnO2) 둘 다를 가능하게 하는 발열반응이 다.13) 매개재에 포함된 Sn은 Sn+2+ 2e−의 활성방향으로 유 리와 반응이 일어나 유리밀도와 부피팽창을 야기한다.14) [SiO4]n−망목구조에 Li, Na, K, Be, Mg, Ca 등이 도입 되면 파이렉스(Pyrex) 유리 밀도와 열팽창계수는 2.23 g/ cm3와 33 × 10−7/ °C에서 2.24 g/cm3와 46 × 10−7/ °C로 변 화하는 경향과 일치한다.15,16)
또한 현 연구의 PbO 기반 중금속유리는 온도에 따라 사방정계결정구조의 마시코트(massicot), Pb3O4와 사면체 결정구조의 리사지(litharge) 등 동질 이상체로의 구조변 화가 일어난다.17,18) 이 구조변화는 Pb3O4의 Pb4+ 이온들 은 8배위 산소에 4개의 최외각전자 공유와 PbO의 Pb2+ 이온은 산소와 공유결합(Pb-O)함으로서 전하균형에 영 향을 받지 않고 표면에 산소 층 배열을 급격히 형성한 다.16,19) 이 반응 산소 층은 금속 측의 Fe이온과 결합한 식 (2)와 (3)인
Fe2O3 또는 Fe3O4로 반응한다.20) 즉, 금속표면에 존재 하는 Fe 이온이 과잉으로 존재하는 산소이온 흡착으로 금속표면의 계면에너지가 감소하는 현상이 나타난다. 이 로 인해 금속은 자유전자를 유리쪽으로 내어놓고 유리 에서 유래한 전자를 받아들이는 금속/유리 계면에서 산 소 이온을 금속 쪽으로 이동시켜 레독스(redox)반응을 촉 진한다.21-23) 금속/유리 계면에서 금속 측의 레독스(redox) 반응에 의한 부식율은 온도증가에 비례한 반응생성물, kcorr[Reactants]에 의해서 결정된다.15,25,26) 여기서 kcorr = Aexp(−G**/RT)로, R은 가스 상수, T는 절대온도, 그리고 G**는 활성화자유에너지를 각각 의미한다.
마지막 단계에서 금속의 산화·환원반응에 의한 급격한 산화저항 증가로 줄열 발생이 가속화되고, 이로 인해서 금속 산화·환원반응의 급격한 산화저항 증가가 반복되어 마침내 퓨징이 나타난다.15,16) Fig. 7은 이상의 단계별 과 정을 모델화하여 나타난 것으로서 첨가 금속의 전기음 성도, 용융온도, 그리고 반응 활성도에 의해 결정됨을 강 조하고 있다.

Fig. 7
The results of an unpaired t-test; (a) Snap shot of calculation result of student t-test, and (b) Box plot of two data groups. Dot of the left upper in box plot is representative of non-fusing data. Dispersed dots of right lower is representative of fused raw data.
Table 2는 퓨징시편의 평균, 표준편차, 상대편차, 중앙 값, 중간값, 그리고 빈도수의 통계처리 결과를 나타내었 다. Table 3은 페이스트 도포전의 저항과 도포후의 원시 데이터의 독립표본 해당여부를 판별한 결과를 나타낸 것 이다. 두 집단의 퓨징전압이 같다는 귀무가설과 같지 않 다는 대립가설의 F-검정은 P(F_≧_t)가 0.05보다 작게 나 타나 두 집단의 분산이 같다는 귀무가설은 기각되어 독 립표본에 해당하지 않았다. Table 4는 기각된 F 검정에 서 얻어진 결과를 바탕으로 퓨징 전·후의 전압변화는 페 이스트 도포 후 전압이 도포전보다 높다는 귀무가설, 그 리고 페이스트 도포 후 퓨징전압이 낮아졌다는 대립가 설의 t-검정결과이다. P(T≦t) 단측 검정은 유의수준 0.05 보다 작아 귀무가설은 기각되고 페이스트 도포 후 휴징 전압이 낮아졌다는 대립가설이 채택 되었다.
Fig. 7(a)는 student t-검증을 위한 도포 전·후의 두 집 단의 분산이 같다는 가설의 계산결과를 스냅샷(snap shot) 을 나타낸 것이다. 대조군은 단락되지 않기 때문에 인가 전압 상한 한계치인 30 V로 동일하며 Fig. 7(b)는 student t-검증이다.
Table 3은 권선저항의 퓨징 전·후의 전압변화는 페이 스트 도포 후 전압의 평균이 동일하다는 귀무가설이 기 각되고 페이스트 도포 후의 휴징전압 차이가 난다는 대 립가설을 나타내고 있다. Student t를 이용한 두 집단의 평균값은 30과 16으로 통계학적으로 전혀 다름을 의미 하며, 이 두 평균으로부터 귀무가설을 검정할 수 있다. 여기서 대조군 시편은 인가전압 30 V, 500 mA에서 퓨징 이 관찰되지 않는 측정값이다.
Fig. 8(a)는 도수 분포를 누적 히스토그램(histogram) 으로 나타낸 것이다. 히스토그램의 패턴은 좌우 대칭 (symmetric)형으로 표본 최빈값은 15.99와 16.21, 표본중 앙값은 16.15로 표본평균와 유사하였다. Fig. 8(b)는 퓨 징 군의 가우시안(Gaussian) 분포이다. 중앙은 평균으로 확률이 높고 양단으로 갈수록 퓨징 발생 확률이 낮아진 다. 확률변수의 확률밀도함수(probability density function) 그래프는 좌우대칭인 종(bell)모양을 나타내고 있다. 이는 단락된 원시 데이타만 모집단에 포함되었으며 또한 퓨 징 데이터 영역이 12 ~ 20 V로 좁고 데이터 개수가 많 기 때문이다.

Fig. 8
Histogram graph; (a) Accumulated histogram of frequency distribution, and (b) Gaussian distribution of fusing group.
Fig. 9는 정규분포도의 유사성을 판단하기 위한 Q-Q 그래프를 나타낸 것이다. 여기서 Q-Q그래프는 Theoretical- Quantile와 Sample-Quantile간의 분위수(quantile)로 계산 치와 실측치 데이터의 일치여부를 평가하였다. Q-Q 그 래프는 종모양의 히스토그램 그래프와 같은 정규분포 형태로서 이론적인 정규분포의 분위수와 일치하는 직 선식, y = mx + b을 따르는 것으로 나타났다. 여기서 m 은 기울기 b는 y-절편이다. 비록 Q-Q 그래프 양단 꼬 리에서 부분적인 불일치가 나타나지만 제한적이었다.

Fig. 9
Normal Q-Q plots of 600 observations randomly generated from the standard normal distribution.
Table 5는 z-표에 따른 확률밀도 신뢰구간 %를 나타 낸 것이다. 모집단 평균, μ, 모집단 표준편차, σ, 신뢰 구간, μ, 시편수, n, 그리고 변수, x로 부터 계산된 퓨징 신뢰구간과 수준은 표준정규표는 모평균을 포함할 확률 95 % 신뢰수준과 구간은 1.959로 나타났다. 인가전압에 따른 퓨징률 분포 그래프에서 도수와 단락 그래프는 빗 (comb)분포형을 나타내었다[Fig. S2(a),(b)]. 이는 퓨징 데 이터간 값의 차이가 조밀하고 유사하여 데이터의 반올 림 결과가 유사하거나 반복되기 때문에 나타나는 것으 로 생각된다.9)

Fig. S2
Z-score and total fusing ratio; (a)Probability and the standard normal distribution, and (b)Comb distribution.
Fig. 10은 최소자승법을 이용한 최적 직선그래프 결과 를 나타낸 것이다. 조정된 결정계수(회귀계수, R)는 0.93 으로 93%의 데이터를 반영하고 있다. 유의한 F는 0.05 보다 작으므로 대립가설이 채택되었다. 잔차분석은 관측 수가 0에 근접하여 회귀식이 타당하였다. Fig. 12의 그 래프는 회귀식, y = 0.0089x + 13.544이 타당함을 보인다. 단락저항기에 17 V, 500 mA가 인가될 경우, y = 0.0089 × 17 + 13.544으로 13.695V에 해당하므로 회귀선의 퓨징 영역에 포함되어 전압에 따른 휴징거동 예측을 나타낸다.
4.결 론
Sn금속필러가 첨가된 93PbO-6B2O3-3ZnO-2SiO2계 유리 페이스트와 J-형 권선저항기간 전기화학반응 고찰을 통 해 다음과 같은 결론을 얻었다. Sn첨가 페이스트 도포 시편에서만 Ni-Cr저항선의 퓨징현상이 관찰되어 금속용 융온도가 가장 크게 영향을 미치는 것으로 나타났다. 퓨 징되는 시편의 도수분포 누적 히스토그램은 종 모양과 Q-Q 그래프는 직선식을 따르는 것으로 나타났다. 휴징 신뢰구간은 95 ± 1.959%이며, 최적 직선그래프에서 조 정된 회귀계수, R은 0.93로 93 %의 데이터를 반영하였 다. 회귀선이 퓨징 영역에 포함되므로 전압에 따른 휴 징 거동예측이 가능함을 제시할 수 있었다.










