1. 서 론
그래핀은 지난 2004년에 발견된 이후 기계적 강도, 탄 성, 투명성, 전도성, 열적등 우수한 특성 때문에 미래 기 술로 각광받고 있고 휘어지는 디스플레이와 투명 디스 플레이는 물론 입는 전자기기에 적용할 수 있는 차세대 소재이다.1-5) 이러한 그래핀은 전 세계적으로 대 면적, 고 품질의 그래핀을 제조 및 여러 가지 소자 응용을 위해 연구가 활발히 진행되어 왔다. 그래핀을 실용적으로 소 자 또는 전극으로 응용하기 위해서는 그래핀의 층수를 조절하고 고 품질로 성장하는 기술이 필요하다. 그래핀 을 성장시키는 방법으로는 흑연으로 부터 스카치 테이 프를 이용하여 박리시키는 기계적 박리법, 강산을 이용 하여 흑연을 산화시켜 그래핀 층을 분리해내는 화학적 박리법, 탄소원이 포함되어 있는 SiC 같은 재료를 고온 에서 열처리하여 그래핀을 생성시키는 에피텍셜 성장법, 그래핀 필름을 대량 생산 할 수 있는 화학 기상 증착 법이 있다.6-11) 보고된 바와 같이 화학 기상 증착법은 Cu, Ni, 그리고 Ge와 같은 촉매 기판 위에 대 면적 그래핀 을 성장하는 방법을 사용한다. 그러나 이 화학 기상 증 착법으로 그래핀을 성장하기 위해서는 1,000 °C 이상의 높은 성장 온도가 필요하다.12-14) 현재 많은 전자부품들 이 유연하고 신축성 있는 분야에 응용이 확대되기 때문 에 그래핀 또한 유연하고 신축성 있는 기판 위에 그 래핀 성장을 필요로 하게 된다. 그러나 현재 그래핀 성 장은 고온에서 이루어지기 때문에 유연한 기판 위에 직 접 성장하는 것은 불가능하다. 따라서, 고온에서 성장된 그래핀은 원하는 기판으로 그래핀을 옮기는 전사 공정 을 해야만 한다. 전사 공정은 복잡한 공정으로 인한 생 산비가 많이 들고, 그래핀 내에 결함이 발생하고, 따라 서 전기적 특성이 저하되는 문제점을 가지고 있다. 이 러한 이유로 언급한 기술들로는 그래핀의 상용화가 어 렵고, 우수한 전기적 특성을 얻기가 어렵다. 그러므로 그 래핀은 저온에서 직접 성장하는 새로운 기술이 필요하다.
따라서 본 연구에서는 전사 과정이 없는 PAT-CVD (plasma assisted thermal chemical vapor deposition)를 이용하여 직접 유연한 기판 위에 약 150 °C 이하에서 그 래핀을 성장하였다. 이때 유연한 기판 위에 Ti (10 nm) 두께를 direct-current sputter 로서 그래핀 성장의 버퍼층 으로서 성장하였다. 그래핀 성장 전에 DFT 를 통한 시 뮬레이션으로 Ti 박막 위에 그래핀이 성장하는지를 확인 하고, 성장 온도 및 성장 압력에 따라 얻어진 박막의 특 성은 라만분광법을 이용하여 단층 그래핀 특성을 평가 하였으며, 그래핀 매핑을 통해 그래핀 성장 면적을 평 가하였다. 그리고 홀 측정을 통하여 이동도, 캐리어 농 도, 그리고 면 저항을 확인하였고, UV-Vis 를 통해 투 명도를 알아보았다. 또한 면 저항은 Z-theta 방법을 통 해 분석하여 검증하였다.
2. 실험방법
2.1 Ti-buffer layer 위에 그래핀 성장
본 연구에서는 PAT-CVD 장비를 이용하여 그래핀을 직 접 성장하였다. 이 경우 Ti-buffer 층은 공기 중에 노출 시 바로 산화되어 TiO2-x를 형성하면 그래핀 성장이 불 가능하여 Ti-buffer 층과 그래핀 성장을 한 챔버에서 이 루어지도록 설계하였다. 먼저 Ar/H2 가스를 10/10 sccm (standard cc/min)씩 흘려주면서 dc sputter로 PET와 SiO2 (100 nm)/Si (001) 기판 위에 Ti buffer layer를 10 nm로 증착하였다. 증착층의 10 nm 두께와 균일성은 투 과 전자현미경(TEM)과 원자 현미경(AFM)으로 각각 평 가하였다. 이 경우 Ti 두께가 10 nm 이하에서는 완전히 박막으로 연속적으로 성장이 안되고 불 연속적으로 되 어 그래핀 성장이 어려우며 10 nm 이상이 되면 Ti의 본 연의 특성이 나타내기 때문에 본 연구에서는 10 nm로 한 정되었다. 우리의 증착 시스템의 base-pressure가 약 8 × 10−6 Torr로서 ultra-high pressure가 아니어서 증착 도중 에 Ti의 산화를 방지하기 위하여 H2를 함께 흘려주어 가능한 산화를 방지하도록 노력하였다. 그리고 Ar/H2/CH4 가스를 10/10/0.5 sccm씩 흘려주면서 CVD Gun의 플라 즈마로 그래핀을 90분간 직접 성장하였다. 그래핀을 성 장 할 때 각 공정마다 공정 압력 1.8 Torr에서 기판의 온도를 다양하게 변화시켰으며, 기판 온도 150 °C에서 공 정 압력을 수 mtorr에서 수 Torr까지 조절하여 그래핀 을 성장하였다.
2.2 성장된 그래핀의 전기적, 광학적 특성평가
성장된 그래핀은 라만 분광법을 통하여 단층 그래핀이 성장되었음을 평가하였다. 또한 각 성장 온도 및 성장 압력에서 그래핀의 면적은 라만의 매핑을 통하여 결정 하였다. 그래핀의 품질은 D peak으로, 또한 2D와 G 의 FWHM(full-width-half-maximum) 으로 평가하였다.
PET 기판 위에 다양한 온도에서 성장된 단층 그래핀 의 투명도는 UV-vis spectroscopy 를 통해서 평가하였 고, Van-der Pauw 방법을 통해서 그래핀의 케리어 농도, 이동도, 면 저항을 측정하였다. 면 저항은 Z-theta twoprobe 방법으로 측정하여 다시 검증하였다.
3. 결론 및 고찰
먼저 Ti-buffer layer 위에 그래핀 성장의 가능성을 DFT 시뮬레이션을 수행하였다. Fig. 1에서 보여주는 것처럼, Ti와 그래핀은 모두 HCP 구조를 보이고 있으며 비록 Ti 와 그래핀의 격자 상수가 다르다 할 지라도 Ti와 그래 핀의 격자 매칭이 매우 우수하게 됨을 보여주어 Ti-buffer layer가 그래핀 성장에 적합함을 보여주고 있다. Ti는 공 기 중에서 워낙 산화가 잘되는 물질이어서 그래핀이 Ti 위에 성장한 후에 공기중에 꺼내면 Ti는 TiO2-x로 바 뀌기 때문에 이는 그래핀의 특성에 영향을 미치지 않 을 것이다. 이를 통해서 Park 등은 Ti layer 위에 저온 (150 °C)에서 단층 그래핀(그래핀 면적이 약 20 mm)을 Thermal CVD로 성장하였음을 발표하였다.15) 이 경우에 Ti-buffer layer 성장한 dc sputter 와 그래핀을 성장하는 thermal CVD 장비가 따로 구성되어 스퍼터된 Ti를 공 기중에 노출하여 thermal CVD 장비로 옮기는 도중에 산 화되어 이를 다시 Ti metal로 환원하기 위해 thermal CVD 장비에서 4시간 동안 H2 분위기(압력은 ~ 10−5 Torr)에서 유지하였다. 이 경우에 완전히 Ti로 환원된 부 분은 그래핀이 성장하였고 여전히 TiO2-x 상태로 남아있 는 부분은 그래핀 성장이 이루어지지 않았다.

Fig. 1
DFT calculation exhibiting a good lattice matching between Ti and graphene. The Ti and carbon of graphene showed the same crystal HCP structure.
본 연구에서 그래핀 성장을 위해 사용한 plasma-assisted thermal CVD는 CH4 개스의 카본으로 분해가 상온에서 도 가능하기 때문이며, 또한 그래핀은 plasma에 매우 취 약함으로 Ti-buffer layer 에 그래핀이 성장할 때에 플라 즈마로부터 벗어나게 하기 위하여 고안되었다.
먼저 성장 온도 150°C 에서 성장 압력을 mTorr 영역 에서 성장한 그래핀의 라만 특성을 Fig. 2(a)에 나타내 었다. 성장 압력이 3 mTorr에서 100 mTorr까지 변함에 따라 성장된 그래핀은 모두 결함을 나타내는 D peak이 없으며 (ID/IG intensity ratio = 0.01 ± 0.08), I2D/IG가 약 2.1 ± 0.05로서 모두 단층 그래핀임을 나타내고 있다. 이 는 hydrogen-terminated Ge layer 위에 약 900 ~ 930 °C 에서 성장하여 전사된 단 결정 그래핀의 결과16) 보다도 우수한 품질의 그래핀이 성장되었음을 나타낸다. 기판 사 이즈가 2 × 2 cm2에서 성장한 그래핀의 면적을 확인하기 위하여 라만 매핑을 수행하여 Fig. 2(b)에 나타내었다. 성 장된 그래핀은 기판을 모두 채우지 못하고 사이즈는 약 30 ~ 80 μm까지 성장되었다. 이를 성장 압력에 따른 그 래핀 성장 면적을 Fig. 2(c)에 나타내었는데 이 경우 성 장 압력이 증가함에 따라 성장 면적이 급격히 증가함을 알 수 있다. 수 mTorr에서 1 Torr까지 증가할 때에 그래 핀 성장 면적은 연속적으로 증가함을 알 수 있는데 이 는 더 높은 성장 압력에서 수행하면 그래핀 면적을 넓 힐 수 있음을 암시한다. 즉, 이는 대 면적 그래핀 성장 을 위해서는 Ti-buffer layer 위에 그래핀 nucleation 을 많이 만들어 줌으로써 단위 시간당 그래핀 면적을 증가 할 수 있음을 의미한다. 따라서 그래핀 성장은 1.5 ~ 1.8 Torr까지 성장 압력을 증가하여 수행한 결과 이 경우에 도 모두 단층 그래핀이며 결함이 전혀 없는 그래핀이 얻 어졌음을 Fig. 3(a)의 라만 패턴에서 볼 수 있다. 성장 압력이 증가함에 따라 그래핀 면적은 선형적으로 증가 함을 Fig. 3(b)에서 보여주고 있으며 최종적으로 Fig. 3(c)에서 보여주듯이 1.8 Torr의 압력하에서 150°C 에서 성장된 그래핀은 4 × 4 cm2 사이즈의 기판을 모두 채웠 음을 라만 매핑 이미지에서 확인하였다.

Fig. 2
(a) Raman spectra of graphene grown at different working pressures at 150 °C. (b) Raman mapping of the graphene grown at 100 mTorr. (c) Graphene area grown at different working pressures. The graphene area was measured via Raman mapping.

Fig. 3
(a) Raman spectra of graphene grown at different working pressures from 1.5 to 1.8 Torr at 150 °C. (b) Graphene area grown at different working pressures. The graphene area was measured via Raman mapping. (c) Raman mapping of the graphene grown at 1.8 Torr. The 4 × 4 cm2 area was filled by a graphene.
다양한 성장 온도에 따른 그래핀의 특성은 라만으로 평 가하였다. 성장 온도는 100 °C부터 170 °C까지 변화하였 는데 Fig. 4(a)에서 보여주듯이 모든 온도에서 성장한 그 래핀은 D peak(결함을 나타내는 인자)이 거의 없는 완 벽한 단층 그래핀이 성장되었음을 나타낸다. 성장 온도 에 따라 그래핀의 면적을 Fig. 4(b)에 나타내었는데 성 장 온도가 증가함에 따라 그래핀 면적은 증가하고 약 150 °C에서 부터 본 장비에서 최대의 면적인 4인치 웨 이퍼 스케일의 그래핀이 성장하였다. 이때 그래핀 면적은 라마 매핑으로서 결정하였다. 성장 온도에 따른 ID/IG와 I2D/IG들은 Fig. 4(c)에 나타내었는데 I2D/IG는 모든 온도 에서 2.0 이상을 나타내어 그래핀은 모두 단층 그래핀 임을 나타내며 ID/IG는 약 0.01 정도로서 성장한 그래핀 은 거의 결함이 없는 것으로 나타났다. 또한 그래핀의 품질을 나타내는 인자로서 2D-band와 G-band의 FWHM 으로서 이 수치가 작을수록 그래핀의 결정성이 큼을 나 타낸다. Fig. 4(d)에 각 성장 온도의 변화에 따른 2개의 인자들을 나타내었는데 약 150 °C에서 성장한 그래핀의 2D-band의 FWHM은 약 24 cm−1이며 G-band의 FWHM 은 약 18 cm−1로서 지금까지 발표된 모든 그래핀의 품 질보다도 우수함을 알 수 있다. 현재 100 °C 이하의 온도에서도 그래핀 성장을 확인하기 위하여 성장 온도 를 90 °C 부터 상온까지 수행하였다. 이들의 라만패턴들 을 Fig. 5(a)에 나타내었는데 90 °C부터 50 °C까지는 그 래핀을 나타내는 라만 패턴을 보여주고 있으나 상온에 서는 전혀 그래핀이 성장하지 않음을 알 수 있다. 90 °C 에서 성장한 그래핀은 결함이 적은 단층 그래핀을 나타 내고 있고 또한 그래핀 면적이 약 2 mm2[Fig. 5(b)]을 보여주고 있다. 그러나 80 °C와 50 °C에서 성장한 그래 핀은 약간의 D peak이 관찰되며 또한 I2D/IG가 약 0.7 ~ 0.8 정도로 [Fig. 5(c)] 단층 그래핀이 아닌, 단층 그래 핀으로 성장되기 전 단계로 성장되었음을 알 수 있다. 또한 ID/IG로부터 강도 비율이 약 0.25 ~ 0.20 정도로 나 타내어 결함이 존재함을 알 수 있다. 여기서 발생하는 결함은 그래핀이 Ti-buffer layer 위에서 성장하면서 완전 히 coverage가 불 충분하면서 관찰된 결함으로 판단된 다. Fig. 5(d)로부터 저온에서 성장한 그래핀의 품질 또 한 우수하지 못함을 알 수 있다. 이러한 결과로부터 그 래핀 성장은 최소 80 °C 이상은 되어야 성장이 단층으 로 성장됨을 알 수 있다. 그러나 본 결과로부터 그래핀 성장이 매우 낮은 온도에서 성장이 가능함을 보여준 매 우 의미 있는 결과라고 판단된다.

Fig. 4
(a) Raman spectra of monolayer graphene grown at different temperatures from 100 to 170 °C under a working pressure of 1.8 Torr. (b) Graphene area grown at different temperatures. The 4-inch-wafer scale graphene growth was achieved at 150 °C. (c) I2D/IG and ID/IG ratios, (d) FWHM values of 2D-band and G-band vs. growth temperature.

Fig. 5
(a) Raman spectra of graphene grown at different temperatures from 90 °C to room temperature under a working pressure of 1.8 Torr. (b) Graphene area grown at different temperatures. (c) I2D/IG and ID/IG ratios, (d) FWHM values of 2D-band and G-band vs. growth temperature
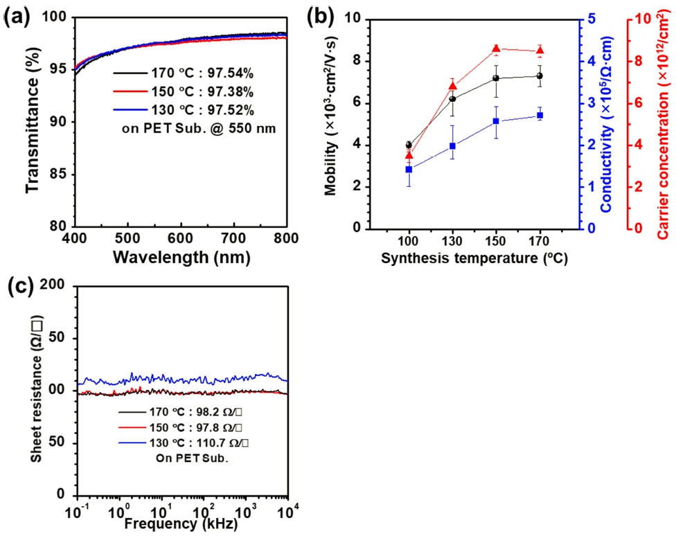
성장 온도 130, 150, 그리고 170 °C에서 성장된 그래 핀의 투명도를 위해 그래핀들은 모두 PET 기판 위에 성 장되었다. 각 성장 온도에 따라 성장 된 그래핀의 투명 도는 Fig. 6(a)에서 보여준다. 성장 온도에 관계없이 550 nm 파장대에서 약 97.4 %를 보여 이는 단층 그래핀임 을 나타내었다. 각 성장 온도에 따라 성장된 그래핀의 Van-der Pauw 결과를 Fig. 6(b)에 나타내었는데 성장 온 도가 100 °C에서 150 °C까지는 이동도, 전도도, 그리고 케리어 농도가 증가하였으나 150 ~ 170 °C에서는 거의 포 화되는 현상을 보여 우수한 특성을 보이는 그래핀 성장 의 가장 낮은 온도는 150 °C가 최적임을 알 수 있다. 150 °C에서 성장한 그래핀의 이동도는 약 7,000 cm2/V×s, 전도도는 약 3.6 × 105/Ω×cm, 케리어 농도는 8.2 × 1012/ cm2 이었다. 또한 각 성장 온도에서 성장한 그래핀의 면 저항은 Z-theta two-probe 방법으로 확인하였는데 Fig. 6(c)에서 보여준 것처럼 약 98 ~ 110 Ω□−1의 범위를 나 타내어 현재까지 발표된 단층 그래핀의 면 저항으로서 는 가장 우수한 특성을 보였다. 지금까지 얻어진 결과 로부터 Ti (10 nm)-buffer layer 위에 저온에서 우수한 품질의 대 면적 그래핀을 성장이 가능함을 확인하였다.

Fig. 6
(a) Transmittance vs. wavelength of monolayer graphene grown onto the PET substrate at different temperatures. (b) Carrier concentration, mobility, and conductivity as a function of growth temperature. (c) Sheet resistance of the graphene grown at different temperatures as a function of frequency via Z-theta two-probe method.
4. 결 론
본 연구에서는 Ti (10 nm)-buffer layer 위에 PATCVD 를 이용하여 저온에서 그래핀을 직접 성장하였다. 단층 그래핀은 성장 온도 150 °C 이하의 온도에서 대 면적으 로 매우 우수한 특성을 나타내었다. 저온에서 4인치 웨 이퍼 스케일에 우수한 그래핀을 성장하였다. 단층 그래 핀은 면 저항 ~ 100 Ω/□과 550 nm에서 약 97.4 %의 빛 투과 특성을 나타내었다. 저온에서 그래핀 성장은 앞으 로 유연하고 신축성있는 기판에도 성장이 가능하여 유 연하고 신축성있는 그래핀을 이용한 전자부품들에 응용 이 기대된다.


