1. 서 론
TaNx박막은 기계적으로 단단하고 화학적으로 불활성이 라 높은 열적 안정성을 가지고 있고, 온도에 따른 저항 변화의 크기가 낮다.1,2) 이러한 특성으로 인해 TaNx박막 은 Cu 같은 확산도 높은 전극 물질에 대한 확산 방지 막이나 NAND Flash 메모리의 콘트롤 게이트(control gate) 전극층으로 널리 쓰이고 있다.3-6)
TaNx에서는 N의 조성에 따라 전기적 특성이 크게 변 화하게 되는데, Ta2N이나 TaN과 같이 Ta조성이 높은 물 질은 전도성이 높고, Ta3N5와 같이 N함량이 높은 물질 은 전도성이 비교적 낮아 반도체성 특성을 갖는다.1,7) 전 기적 특성이 변화함에 따라 응용되는 분야도 달라지게 되는데, 전도성 TaN은 잘 알려진 Cu 전극에서의 확산 방지막으로 쓰이거나 음의 계수를 갖는 얇은 박막 저항 체,8) 페르미(Fermi) 준위에서의 더 작은 상태 밀도를 이 용하여 단일 광자 탐지기9) 등으로 사용된다. 반도체성 Ta3N5는 2.1 eV의 밴드갭을 가지고 비선형적인 전류-전 압(I-V) 특성을 가지고 있고 산소 이온의 용해도가 높 아서 크로스바형 저항변화메모리의 선택 소자 또는 산 소 저장층으로 쓰이기도 한다.10-13)
TaNx 박막 증착은 보통 반응성 스퍼트링(reactive sputtering) 이루어진다. 이때, 반응 가스에서 질소 분압이 증가 할수록 박막 내 질소의 조성이 증가하게 되어, 증착되 는 박막의 저항이 증가하는 것으로 알려져 있다.1,7) 질 소 조성이 증가함에 따라 비저항이 증가하다가 Ta3N5 박 막에서 비저항이 106μΩcm로 음의 저항온도계수(temperature coefficient of resistance)를 갖는 절연성을 띄게 된다.
한편, 반도체 소자에서는 전극/절연체에서의 전기전도 특성이 중요하게 되면서 그 특성에 영향을 주는 인자인 절연체 물질의 밴드갭, 전자친화도, 절연체 박막 내 불 순물 또는 트랩의 농도, 금속 전극의 일함수, 전극/절연 체 간의 계면 특성이 중요하게 여겨진다.14) 원자층 증착 법으로 증착한 TaNx박막은 증착 공정 중 질소 또는 암 모니아 가스가 충분히 공급되기 때문에 저항이 높은 절 연성 TaNx박막이 주로 증착되는 것이 보고되었다.15-20) 또 한 반응성 스퍼터링과 같은 방식에 비해 금속 전극에 미 치는 sputtering damage와 같은 영향이 낮고 화학흡착에 의한 강한 결합을 형성하기 때문에 금속/절연체 간 계 면 특성이 우수한 것으로 알려져 있다. 하지만 아직 원 자층 증착법으로 형성된 절연성 TaNx박막의 전기전도 기 구가 연구된 적은 없다.
본 연구에서는 플라즈마 강화 원자층 증착법(plasma enhanced atomic layer deposition)을 이용해 증착한 5, 18 nm 두께의 TaNx박막이 포함된 Pt/TaNx/Pt 구조 내에 서 어떤 전기전도 기구를 통해 전도되는지 분석했다. 이 를 통해 TaNx박막에서 전기전도에 영향을 주는 요인과 두께에 따른 영향을 이해하고자 한다.
2. 실험 방법
소자는 200 nm 두께로 산화시킨 SiO2가 있는 Si 기판 위에 Fig. 1과 같이 25 nm 두께의 Pt 하부 전극을 Ebeam evaporation으로 쉐도 마스크(shadow mask)를 이 용해 리본 형태로 형성한 후, TBTMET (t-butylimido tris dimethylamido tantalum, SAFC Hitech)와 N2+H2 (N2:H2= 40:1 SCCM) 혼합 반응 가스를 사용하는 플라스마 강 화 원자층 증착법을 이용해 300 °C 증착 온도에서 TaNx 박막을 5 nm와 18 nm 두께로 증착했다. X선 분광법(XPS; X-ray photoelectron spectroscopy) 분석을 통해 확인한 TaNx 박막의 조성은 Ta:N = 1:1에 가까웠고 10 % 가량 의 산소를 함유했다. 증착 속도를 분석한 결과, Pt 하부 전극에서의 핵 생성 또는 증착 속도의 차이는 관찰되지 않았다. 20 nm 두께의 상부 전극 Pt를 하부 전극과 마 찬가지의 방법을 통해 하부 전극과 교차시켜 리본 형태 로 형성하였다.

Fig. 1
(a) Schematics of the device structure made of Pt (top electrode) / TaNx / Pt (bottom electrode). (b) Scanning electron microscope image of the device.
소자의 전기적 특성은 반도체 파라미터 분석 장비 (SPA; semiconductor parameter analyzer, HP-4156)를 이용해 온도를 90K부터 300K까지 변화시켜가며 I(전류)-V(전압) 특성을 분석했다.
TaNx박막의 미세구조를 관찰하기 위해 투과전자현미경 (TEM; transmission electron microscopy) 분석을 실시하 였고, TaNx박막의 광학적 밴드갭 크기를 측정하기 위해 UV-가사흡수 분광기를 사용하였다.
3. 결과 및 고찰
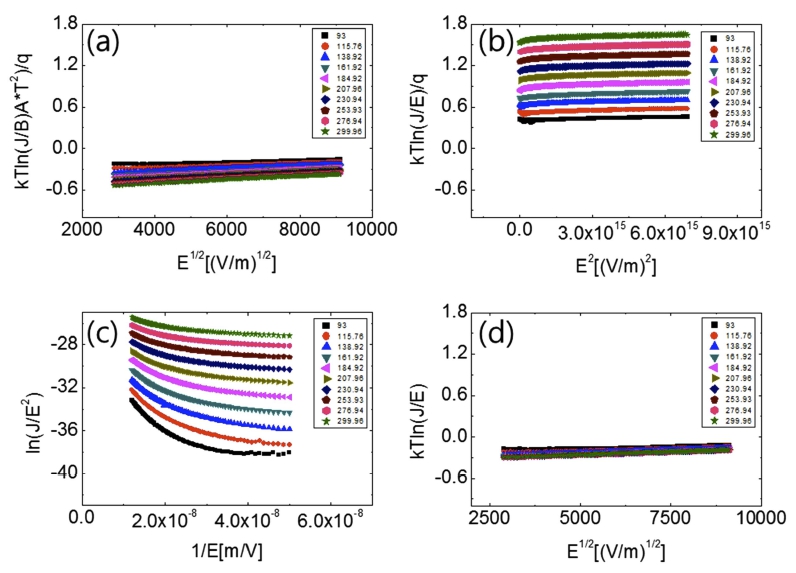
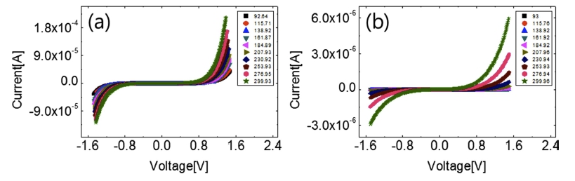
Fig. 2는 크로스바 구조의 Pt/TaNx(5 nm, 18 nm)/Pt 소 자를 SPA를 이용하여 90K부터 300K까지 온도를 바꿔 가며 측정한 I-V curve이다. 비선형적인 I-V 특성을 가 지고 있고, 극성에 관계 없이 좌우 대칭이며, 측정 온도 가 증가함에 따라 전도되는 전류 값이 증가함을 확인할 수 있다. 이는 전형적인 금속/절연체 접합의 전기전도 특 성을 나타낸다.
전도 기구는 크게 계면 제한 전도 기구(interface-limited conduction mechanism)와 벌크 제한 전도 기구(bulk-limited conduction mechanism)로 나뉜다.14) 계면 제한 전도 기 구는 전극과 절연층 사이의 계면 특성에 의해 전도가 결 정되는 경우이고, 벌크 제한 전도 기구는 절연층 내에서 의 전하 트랩 또는 공간 전하의 영향으로 인해 전도가 결정되는 경우이다. 계면 제한 전도 기구로는 Schottky emission, thermionic-field emission, Fowler-Nordheim tunneling, direct tunneling 등이 있는데, 그 중 Schottky emission과 thermionic-field emission, Fowler-Nordheim tunneling을 적용하였고, 벌크 제한 전도 기구로는 Poole- Frenkel emission, space-charge-limited conduction 등이 있는데, 그 중 Poole-Frenkel emission을 적용하였다. Direct tunneling과 space-charge-limited conduction은 전 기전도 기구의 원리 상 온도 의존성이 없기 때문에 제 외하였다.
Fig. 3은 Fig. 2에서 측정한 Pt/TaNx(5 nm)/Pt 소자의 I-V curve에서 상부전극에 (+) 전압을 걸었을 때의 측정 결과를 여러 전도 모델에 따라 피팅한 결과이다. 그래프 내 그림은 각 전도기구에서 전자가 어떻게 전도되는지를 도식화한 그림이다. 먼저 Fig. 3(a)는 Schottky emission model을 적용한 결과이다. Schottky emission은 금속층 의 페르미 준위 근처에 있는 전자가 열적 여기 (thermal excitation)에 의해 금속-절연체 간 에너지 장벽을 뛰어넘 으면서 전도되는 기구이다. Schottky emission의 식은 다 음과 같다.

Fig. 3
Fitting graph of 5 nm TaNx film (a) Schottky emission, (b) Thermionic-field emission, (c) Fowler-Nordheim tunneling and (d) Poole- Frenkel emission. (inset) Schematics of the conduction mechanism.
여기서 J는 전류 밀도, A*는 effective Richardson constant, m*는 유전체에서의 전자의 유효 질량으로 여기서 는 0.5 m0를 사용하였다. T는 절대온도, q는 전자의 단 위 전하량, qΦb는 Schottky 장벽(SBH; Schottky barrier height), E는 전기장, k는 볼츠만 상수, h는 플랑크 상수, ε0는 진공에서의 유전율, εr은 광학 유전상수이다. Fig. 3(a)는 I-V curve를 위 식에 맞게 X축을 E1/2로, Y축을 kTln(J/B)A*T2/q로 변환한 그래프이며, 이때 B는 역방향 전류(backward current)를 고려해 준 보정값이다. 이 그래 프에서 얻어진 직선을 연장 시켰을 때의 Y절편이 Schottky 에너지 장벽값이 되고, 이때의 기울기가 유전 상수와 관 련된다. 피팅 결과 온도에 따라 Schottky 에너지 장벽은 0.2-0.6 eV의 범위를 갖고, 유전 상수는 4-17까지의 값을 가지는 것으로 나타났다. 여기서 얻은 피팅 결과에 대 한 종합적인 논의는 후반부에 하기로 한다.
Fig. 3(b)는 thermionic-field emission model을 적용한 결과이다. Thermionic-field emission은 field emission과 Schottky emission의 중간에 위치한 model로서 tunneling electron이 금속의 페르미 준위와 유전체의 전도대 하단 (conduction band-edge) 사이의 에너지를 가질 때 일어 나는 전도기구이다. Thermionic-field emission의 식은 다 음과 같다.
여기서는 X축을 E2, Y축을 kTln(J/E)/q로 잡고 그래프 에서 Y절편이 에너지 장벽 값이 될 수 있도록 피팅하 였다. 그 결과, 피팅에서 온도를 고려하였음에도 불구하 고 온도에 따라 barrier height값이 0.4-1.6 eV로 크게 바 뀌는 것을 확인하였다.
다음으로 Fig. 3(c)는 Fowler-Nordheim tunneling model 을 적용한 결과이다. Fowler-Nordheim tunneling model 은 그래프 내 그림과 같이 금속 페르미 준위 근처의 전 자가 밴드 휘어짐(band bending)에 의해 유전체의 전도 대역으로 뚫고 들어갈 수 있게 높은 전기장이 걸렸을 때 발생한다. Fowler-Nordheim tunneling전도 기구의 식은 다음과 같다.
는 유전체에서 tunneling 시 유효질량을 나타내고 Fig. 3(a)와 같이 0.5 m0를 사용했다. 에너지 장벽값을 구 하기 위해서 (J/E2) − 1/E 그래프를 그리면 높은 전기장에 서의 그래프의 기울기로부터 (Eq. 4)에 따라 에너지 장 벽을 추출할 수 있다.
하지만 높은 전기장 영역에서도 온도에 따라 기울기 값 이 달라져서 에너지 장벽값이 5.4-6.4 eV로 바뀌는 것을 확인할 수 있었다.
Fig. 3(d)는 벌크 제한 전도 기구의 하나인 Poole-Frenkel emission model을 이용해 피팅한 결과이다. Poole-Frenkel emission model은 금속층으로부터 열적 여기된 전자가 계 면의 에너지 장벽에 따른 제한을 받지 않고 유전체 내 로 유입된 상태에서 유전체 내의 전하 트랩에 의해 제 한적으로 전도되는 model이다. 전자와 전하 트랩 사이 의 쿨롱 인력을 고려한 Poole-Frenkel emission의 전류 밀도는 다음과 같다.
위 식에서 μ는 유전막 내 전자의 이동도, NC는 유전 막의 전도대 내에서 에너지 밀도(density of state)이다. ΦT는 유전막 내 전하 트랩의 에너지(potential well 깊이) 를 나타낸다. 이러한 Poole-Frenkel emission은 전기장에 의한 열적 여기로 전도가 발생하기 때문에, 주로 높은 온도와 전기장에서 발생하게 된다. 여기서는 X축을 E1/2, Y축을 kTln(J/E)/q로 피팅한 그래프인 Fig. 3(d)를 보면 온도에 따른 영향을 고려하여 직선 그래프의 Y축 절편 이 트랩 에너지가 되고 기울기로부터 유전 상수값을 계 산한 결과, 온도에 따른 차이 없이 약 0.4 eV 정도의 트 랩 에너지와 약 20의 유전 상수를 갖는다는 것을 알 수 있었다.
위 피팅 결과들로부터 온도 인자를 보정했을 때 온도 에 따른 에너지 장벽 및 유전 상수와 같은 물성의 변화 가 가장 적은 전도 기구인 Poole-Frenkel emission model 이 가장 적합한 전도 기구로 보인다. 즉 온도에 따른 에 너지 장벽이 0.4 eV로 비교적 일정하고, 기울기로부터 구 한 유전상수는 약 20으로, 알려 진 Ta3N5의 유전 상수인 10-20과 유사했다.18) Schottky emission model은 저온 측 정 구간에서는 온도 영향성이 비교적 작지만, 온도가 올 라갈수록 온도 영향이 커지면서 계면 제한적인 전도 기 구로의 전환이 이루어지고 있는 것으로 생각 된다. 실 제로 상온 이상에서부터 고온 영역에서 측정한 I-V 피 팅 결과는 Schottky emission model에 잘 맞는 것을 확 인할 수 있었다.10) 또한 Fig. 2에서 보이는 전압 극성에 따른 I-V curve의 비대칭성이 온도가 올라갈수록 커지는 것도 측정 온도가 증가할수록 계면 제한적인 전도 기구 로의 전환이 일어난다는 것을 뒷받침한다.
Fig. 4는 Fig. 2에서 측정한 18 nm두께의 TaNx소자의 I-V curve를 가지고 Fig. 3과 같이 4가지의 전도 기구에 맞게 피팅한 결과를 나타냈다. 각 전도 기구를 적용한 결과, Fig. 4(a) Schottky Emission에서는 0.2-0.6 eV정도 의 Schottky 에너지 장벽과 1.6-9정도의 유전 상수가 얻 어졌다. 또한 Fig. 4(b) thermionic-field emission에서는 0.4-1.6 eV의 에너지 장벽, Fig. 4(c) Fowler-Nordheim tunneling에서는 1.8-3.5 eV의 유효 에너지 장벽이 얻어졌 다. 마지막으로 Fig. 4(d) Poole-Frenkel emission은 온 도에 따라 직선의 변화가 적고, Y절편으로부터 약 0.4 eV 의 트랩 에너지를 갖고 직선의 기울기로부터 얻은 유전 상수 역시 약 20으로 Fig. 3(d)의 피팅 결과와 동일하게 나타났다. Poole-Frenkel emission model의 식 (5)로부터 두께의 영향은 없기 때문에 동일한 전기장이 작용할 경 우 두께가 다르더라도 동일한 성질의 TaNx 박막의 특성 상 동일한 트랩 에너지와 유전 상수가 얻어져야 하는 것 이다.

Fig. 4
Fitting graph of 18 nm TaNx film (a) Schottky emission, (b) Thermionic-field emission, (c) Fowler-Nordheim tunneling and (d) Poole-Frenkel emission.
한편 Fig. 3과 Fig. 4의 피팅 결과로부터 TaNx 박막의 두께 차이를 확인할 수 있는데, Fig. 4(c)의 Fowler- Nordheim tunneling은 두께가 얇거나 전기장이 크게 걸 릴 때 작용하는 model로, Fig. 3(c)는 높은 전기장에서 선형을 보이며 tunneling 효과가 있음을 알 수 있지만 Fig. 4(c)는 두께가 두꺼워지면서 높은 전기장에서 직선 을 갖지 않음을 보인다. 이는 5 nm TaNx와는 다르게 18 nm TaNx에서는 두께 효과로 인해 밴드 휘어짐이 약해 Fowler-Nordheim tunneling이 잘 작용하지 않는 것을 알 수 있다.
다음은 Pt/TaNx/Pt접합층에서의 주된 전도 기구인 Poole-Frenkel emission 피팅 결과에서 얻은 트랩 에너 지의 유효성을 논의해 보고자 한다. 여기서 트랩은 TaNx 박막 내에서 전자를 잡을 수 있는 자리를 의미하며, 불 순물 원자에 의한 침입이나 치환, 또는 공공(vacancy)에 의한 점결함이 이러한 트랩이 될 수 있다. 피팅으로 부 터 얻은 결과인 ~0.4 eV의 트랩 에너지로부터, 질소 자 리에 침입한 산소 치환 결함(ON)과 그로 인해 발생하는 질소 침입형 결함(Ni)이 이러한 트랩 자리로 작용했다는 것을 문헌 조사를 통해 추측해 볼 수 있다.21)
그리드에 직접 성장 시킨 TaNx박막을 TEM 분석한 결 과는 Fig. 5(a)에 나타낸 바와 같이 비정질 구조를 가짐 을 알 수 있었다. TEM 사진 하단부의 Fourier transformation 역격자 패턴에서도 뚜렷하지 않은 동심원이 나 타나는 것으로 보아 결정성이 없는 것을 확인할 수 있 었다. XRD 분석에서도 역시 뚜렷한 결정성이 없는 것 을 확인했다.10) 따라서 비교적 저온 조건인 300 °C에서 PEALD 방식으로 성장시킨 TaNx박막은 결정성이 없고, 이에 따라 박막 내 많은 dangling bond가 트랩 자리로 존재함을 확인했다.

Fig. 5
(a) Transmission electron microscope image of the device. (inset) reciprocal lattice pattern of the film using Fast Furrier transformation. (b) Tauc plot of TaNx film on quartz using UV-visible spectrometer.
또한 투명한 쿼츠(quartz) 기판에 성장시킨 약 40 nm 두께의 TaNx박막을 UV-visible spectrometer를 이용하여 파장이 약 400-1800 nm인 빛을 샘플에 투과시켜 그 투 과도를 측정한 후 얻은 흡광도를 이용해 Tauc plot 한 결과를 Fig. 5(b)에 나타냈다. 이때 흡광도 계수가 2.5- 3 eV 영역에서 완만하게 변하는 것으로 보아, 비정질 상 태에서 나타나는 밴드 끝단의 트랩 자리에 의한 것임을 알 수 있고, 빛의 흡광도가 급격히 증가하기 시작하는 구간에서의 피팅 직선을 연장하여 얻은 X축 절편을 통 해 TaNx 박막은 약 2 eV정도의 광학적 밴드 갭을 갖는 다는 것을 알 수 있다.18)
끝으로 Poole-Frenkel emission model 피팅에서 얻은 트랩 에너지와 광학 분석을 통해 구한 밴드 갭을 이용 해 표현한 Pt/TaNx/Pt 접합의 에너지 밴드 다이어그램을 Fig. 6에 나타냈다. 전자는 2 eV의 밴드 갭을 갖는 TaNx 박막 내 0.4 eV 정도의 에너지를 갖는 트랩을 통해 전 도된다는 것을 표현했다.
4. 결 론
크로스바 구조의 Pt/TaNx (5, 18 nm)/Pt 접합에서 90K 부터 300K까지 온도를 바꿔가며 I-V를 측정하여 이를 통 해 주요한 전기전도 기구를 분석했다. 비선형적이고 온 도 의존적인 I-V curve를 이용해 전기장 및 온도에 의존 하는 여러 계면 제한 또는 벌크 제한 전도 기구에 피팅 한 결과, 벌크 제한 전도 기구에 해당하는 Poole-Frenkel emission model이 측정 온도 영역에서 가장 적합한 전 도기구임을 확인할 수 있었다. 이 때 얻은 피팅 결과로 부터 주된 전도 기구인 Poole-Frenkel emission에서의 박 막 내 트랩 에너지는 ~0.4 eV로 측정되었고, 이는 질소 자리에 치환된 산소 결함 및 침입형 질소 결함으로 인 해 생성된 트랩으로 추측된다. 이러한 트랩은 원자층 증 착법으로 저온에서 성장시킨 박막이 비정질을 갖고 있 고 증착 중에 침투하는 산소 불순물 때문에 형성된 트 랩일 것으로 예상된다. 절연성을 갖는 TaNx 박막을 통 해 전도되는 주요 전도 기구를 확인했고, 이러한 결과는 절연성 TaNx 박막의 전자 소자 응용에 활용될 수 있을 것으로 기대 된다.




