1. 서 론
페로브스카이트 할로겐화물 태양전지는 박막의 치밀성 향상 연구,1) formamidinium (FA) 기반 조성 연구,2-4) 표 면처리 연구5,6)를 통해 발전되어 지난 10년간 급격한 효 율 향상을 이루었다.7) 상기 연구들은 페로브스카이트 소 재 자체 및 계면의 고품질화를 유도하였고, 나아가 앞 으로의 연구 방향도 이를 목적으로 하고 있다. 이에 따라 박막 및 계면의 품질 개선을 증명하기 위해 steady-state photoluminescence (PL),8,9) time-resolved PL decay,10,11) photo-hall effect measurement12-14) 등과 같은 광여기 전하 의 특성을 활용한 측정법들이 항상 동반되어 왔다. 이 중 보편적으로 사용되는 PL 측정은 소재의 밴드갭보다 큰 에너지를 갖는 여기광 광자를 주입하고 그로 인한 광여기 전하들의 방사성 재결합 방출 광자들을 관찰하여 소재의 특성을 분석하고 평가하는 방법이다. 하지만 PL 측정은 태양전지의 효율과 같이 별도의 표준 측정 방식이 존재 하지 않아 다양한 방식으로 측정이 진행되고 있다.15,16) PL 측정을 통해 광여기 전하의 특성을 평가 및 비교하 여 페로브스카이트 소재의 품질을 확인하기 위해서는 페 로브스카이트 소재와 PL 측정의 특성을 이해할 필요가 있다. 따라서 PL 측정을 통해 소재의 특성을 평가하는 방법에 대한 심층적인 연구가 필요하다.
본 연구에서는 PL 측정 방식에 따른 발광 스펙트럼의 변화를 관찰하고자, 여기광의 입사각 및 출력 밀도를 변 화시키며 발광 스펙트럼을 수집하였고 이의 변화 거동 을 분석하였다. 또한, 발광 스펙트럼의 파장 변화의 원 인이 광경로와 연관됨을 규명하고, 페로브스카이트 할로 겐화물의 특성을 정확히 도출할 수 있는 발광 스펙트럼 을 얻기 위해서는 광경로를 고려한 PL 측정 방식이 도 입되어야 함을 확인하였다. 기존 보고된 논문들의 발광 스펙트럼이 다양한 PL 측정 방법을 통해 얻어진 결과 들 임을 고려할 때, 본 연구의 결과는 PL 측정 방식을 감안하여 발광 스펙트럼을 해석해야 함을 제시한다.
2. 실험 방법
2.1. 시약
본 연구에서 사용된 lead iodide (PbI2), lead bromide (PbBr2)는 Tokyo Chemical Industry에서 구입하였고 methylammonium bromide (MABr), methylammonium chloride (MACl), formamidinium iodide (FAI)는 Dyesol 에서 구입하였다. 이외의 시약은 모두 Sigma-Aldrich에 서 구입하였다.
2.2. 페로브스카이트 박막 제작
유리 기판을 증류수, 에탄올, 아세톤, IPA에 각각 15 분씩 초음파 세척을 진행한 후, UV-Ozone cleaner를 이 용하여 15분 동안 표면처리를 진행하였다. 페로브스카이 트 전구체 용액은 FAI 0.238 g (1.38 mmol), PbI2 0.638g (1.38 mmol), MAPbBr3 0.035 g (0.073 mmol)와 31mol% 의 MACl 0.031 g을 N,N-dimethylformamide (0.8 ml)와 dimethyl sulfoxide (0.1 ml)로 구성된 혼합 용매에 녹여 제작하였다. 80 μl의 페로브스카이트 전구체 용액을 기판 위에 로딩 후 1000 rpm으로 5초, 5000 rpm으로 10초동 안 스핀코팅을 진행하고 diethyl ether를 안티솔벤트로 사 용하여 페로브스카이트 중간상 박막을 우선적으로 제작 하였다. 이 후, 이 중간상 박막을 150 °C의 핫플레이트 로 빠르게 옮겨 10분간 열처리하여 페로브스카이트 박 막으로 변화시켰다.
2.3. Photoluminescence 분석
PL 측정은 485 nm 파장을 갖는 레이저(Horiba, DeltaDiode- 485L-CW)를 사용하여 측정하였다. 박막에서 탈출하는 광 자는 모노크로미터(Horiba, FL-1005)와 검출기(Hamamatsu, R5509-43)을 사용하여 수집하였다. 또한, PL 측정에 있 어 레이저 신호를 제거하기 위해 샘플과 디텍터 사이에 500 nm longpass 필터를 위치시켰다. 절대 발광양자효율 측정은 3.2인치 직경의 적분구(Horiba, FL-sphere)를 사 용하여 발광 스펙트럼을 측정하였다. 레이저의 스펙트럼, 간접 발광 스펙트럼, 직접 발광 스펙트럼을 측정한 후 이들 활용하여 절대 발광양자효율 값을 얻는 3-step 방 식을 사용하였다.17-19)
3. 결과 및 고찰
Fig. 1은 페로브스카이트 할로겐화물 박막에 여기광이 입사되었을 때 박막에서 방사성 재결합에 의한 발광 광 자의 경로를 도식화한 것이다. 페로브스카이트 할로겐화 물은 대기의 굴절률(nAir= 1)보다 매우 큰 굴절률(nperovskite= 2.6)을 갖는 것을 특징으로 한다.20,21) 이는 전반사 임계 각이 작은 것을 의미하며, 밖으로 탈출할 수 있는 경로 를 의미하는 탈출 원뿔(escape cone)의 부피를 줄이게 된 다. Fig. 1과 같이 평탄한 표면을 갖고 있는 경우, 빛이 입사한 방향으로 발광 광자가 탈출할 수 있는 확률은 한 번의 방사성 재결합에서 3.7 % (1/4n2)이다.22,23) 실제 페 로브스카이트 박막의 경우 표면 거칠기가 존재하므로 이 보다 높은 확률로 박막을 탈출하지만, 페로브스카이트 소 재 내부에서 방사성 재결합하여 박막 외부로 탈출하는 광자는 실제 방사성 재결합하는 광자의 극소수인 것은 자명하다. 다시 말해, PL 측정에서 검출기를 통해 수집 하는 광자 역시도 페로브스카이트 실제 방사성 재결합 에 의해 생성된 광자의 극소수일 것이고 검출 방식에 의 존할 것이다.
Fig. 2는 방사성 재결합을 통해 탈출하는 광자를 측정 하는 방법에 따른 발광 스펙트럼 변화 거동의 결과이다. 본 연구에서는 [ FAPb I3]0.95[MAPbBr3]0.05 조성의 페로브 스카이트 박막을 제작하여 모든 측정을 진행하였다. Fig. 2(a)는 페로브스카이트 박막의 사잇각(theta)에 따른 PL 측정 방식의 모식도이다. 고정된 레이저(laser)를 여기광 으로 사용하고 검출기(detector)를 레이저와 수직으로 배 치하였으며, 박막의 수평 방향과 검출기 방향의 사잇각 을 변화시켜가면서 발광 스펙트럼을 측정하였다. Fig. 2(b) ~ (f)는 사잇각을 15°에서부터 75°까지 변화시켜 얻 은 발광 스펙트럼들을 보여준다. 동일한 페로브스카이트 박막을 사용했음에도 불구하고 45°까지는 발광 스펙트럼 의 세기가 증가하다가, 이후부터는 감소하는 것을 확인 할 수 있다. 15°에서는 작은 발광 스펙트럼이 관찰되는 데, 이는 방사성 재결합된 광자가 탈출 원뿔에 의해 경 로가 제한되어 검출기까지 도달하지 못한 것으로 추측 된다. 가장 큰 사잇각을 갖는 75°의 경우, 광 탈출 원뿔 과 검출기의 위치만을 고려했을 때에는 가장 유리한 조 건이지만, 여기광의 접촉 면적 증가로 인해 출력 밀도 (power density)가 감소하여 발광 스펙트럼이 검출되지 않 은 것으로 판단된다. 이러한 PL의 세기 변화 거동은 발 광 스펙트럼이 측정 방식에 따라 다양하게 얻어질 수 있 다는 것을 의미한다.

Fig. 2
(a) Schematic of the setup for measuring PL spectra according to theta and (b ~ f) PL spectra of perovskite thin films: Glass/ (FAPbI3)0.95(MAPbBr3)0.05.
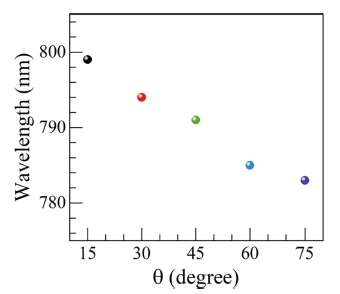
이러한 측정 방식의 변화는 발광 스펙트럼의 세기 뿐 만 아니라 발광 스펙트럼의 위치에도 영향을 주었다(Fig. 3). 사잇각이 15°일때에는 799 nm에서 발광 스펙트럼의 최고점이 나타났지만, 사잇각이 증가함에 따라 이 파장 이 점진적으로 감소하여 75°에서는 783 nm로 측정되었 다. 이러한 사잇각에 따른 파장 변화 거동은 박막을 탈 출하는 광자가 서로 다른 에너지 손실 기작을 거친 후 박막을 탈출했다는 것을 의미한다. 앞선 발광 스펙트럼 세기 분석과 종합하여 생각해보았을 때, 검출 방식에 따 라 페로브스카이트 박막을 탈출하여 검출기에 도달하는 광자의 총량이 변화할 뿐만 아니라, 서로 다른 에너지 를 갖는 광자가 도출된다는 것을 의미한다. 이런 PL 측 정 방법에 따른 세기 및 에너지 변화는 사잇각의 변화 에 의한 여기광의 출력 밀도 차이 또는 탈출 광자의 경 로에 기인할 수 있다.
Fig. 4(a)는 사잇각을 45°로 고정하여 여기광의 면적을 고정시킨 상태에서 출력을 변화시켜 0.529 mW/cm2 ~ 106.57 mW/cm2까지 출력 밀도에 따른 발광 스펙트럼을 측정한 결과이다. 각 발광 스펙트럼을 적분한 결과(IPL) 는 여기광의 출력 밀도에 따라 정비례함이 확인되었지 만(Fig. 4(b)), 발광 최대 지점의 변화는 관찰되지 않았 다. 출력 밀도에 따라 발광 스펙트럼의 세기만 변화한 사실은 상기 사잇각 실험에서 나타난 결과가 출력 밀도 가 아니라 탈출 광자를 수집하는 경로에 의존한 결과임 을 시사한다. 즉, 페로브스카이트 소재의 발광 스펙트럼 을 통해 소재의 광여기 전하의 특성을 비교 분석하기 위 해서는 방사성 재결합 광자의 경로까지 고려한 측정법 을 사용해야 된다.

Fig. 4
(a) Power density dependent PL spectra of the halide perovskite thin film and (b) logarithm plot of the integrated PL intensity as a function of power density-a linear dependence (red line).
적분구를 사용하여 발광 스펙트럼을 측정하면, 박막이 방출하는 빛을 모든 방향에서 수집할 수 있어 탈출 광 자의 경로에 대한 의존성을 제거할 수 있다. Fig. 5는 상기 실험에서 세기가 가장 큰 조건(사잇각 45°)의 발광 스펙트럼과 적분구를 도입하여 측정한 발광 스펙트럼을 보여준다. 적분구를 사용하지 않은 경우, 발광 스펙트럼 은 약 792 nm에서 최대 지점을 갖는 비대칭적인 형태 를 보여주고 있다. 적분구를 사용한 경우, 동일 박막 임 에도 불구하고 상대적으로 장파장의 최대 지점(약 828 nm)을 갖는 비대칭적인 발광 스펙트럼이 관측된다. 비대 칭적인 형태를 갖는 두 스펙트럼은 792 nm와 828 nm를 중심으로 하는 가우시안 함수로 각각 분리되는 것을 확 인하였다. 적분구를 사용하지 않은 스펙트럼은 파란색 선 으로 표현된 792 nm 파장을 갖는 광자가 주를 이루고 붉은색 선으로 표시한 828 nm의 파장을 갖는 광자가 소 수임을 확인할 수 있다. 하지만, 적분구를 사용한 스펙 트럼에서는 상이한 파장을 갖는 두 종류의 광자 비율이 극적으로 변화되었고, 이는 측정 방식에 따라 수집되는 광자 종류의 비율이 달라지는 것을 의미한다.

Fig. 5
PL spectra of the halide perovskite thin film in the presence and absence of integrating sphere.
적분구를 사용하지 않으면, 여기광이 입사된 표면으로 탈출하는 광자만을 측정하게 되므로 표면 특성이 강조 된 정보가 나오게 된다. 하지만 앞서 설명한 것처럼 대 부분의 광자는 소재 방향으로 이동하여 재결합, 재흡수, 재방출 기작을 거치며 에너지가 감소하게 된다. 이에 따 라, 적분구를 사용하면 모든 방향의 광자를 수집하게 되 고, 에너지가 감소된 장파장의 광자가 주인 발광 스펙 트럼에 나타나게 된다. 적분구 유무에 따라 광자 종류 의 비율이 달라지는 현상과 광자의 탈출 확률을 연계 해 석하면, 적분구를 사용하지 않고 얻어진 발광 스펙트럼 은 페로브스카이트 소재의 일부분의 정보만을 제공할 수 있고, 적분구를 사용해야만이 소재 전체의 특성을 대변 할 수 있음을 의미한다.
적분구를 이용한 대표적인 광학적 특성 분석 방법에는 발광양자효율 측정이 있다(Fig. 6). 이는 재료의 절대 품 질을 나타내는 지표로 페로브스카이트와 같은 광흡수층 을 평가하는데 주로 사용된다.24) Fig. 6(a)는 발광양자효 율 측정시의 적분구 내부를 개략적으로 보여주는 모식 도이며, 분광기 앞에는 칸막이(baffle)가 존재하여 레이저 의 직접적인 빛을 차단한다. 발광양자효율은 세 단계를 거쳐 측정되는데, 먼저 레이저의 강도를 측정하기 위해 샘플이 없는 상태에서 측정한다. 둘째, 샘플을 레이저의 경로가 아닌 적분구 내부에 위치하게 하여 적분구 내부 벽에 의해 산란된 빛의 재흡수 및 재방출에 대한 영향 을 고려한다. 마지막으로, 샘플을 레이저의 경로에 위치 하게 하여 페로브스카이트에서 직접적으로 방출된 빛과 간접적으로 방출된 빛을 포함하여 수집한다. Fig. 6(b)는 실제 페로브스카이트 박막을 사용하여 3-step 방식으로 발 광양자효율을 측정한 결과이다. 이때, 모든 측정은 레이 저가 페로브스카이트 박막 표면에 입사된 조건으로 진 행하였다. 간접 스펙트럼에서는 레이저의 세기는 감소하 였으나, 페로브스카이트에 대한 방출 스펙트럼은 관찰되지 않았다. 하지만 직접적인 방식으로 측정한 발광 스펙트럼 에서는 페로브스카이트에 대한 방출 스펙트럼이 750 nm ~ 900 nm 범위에서 관찰되었고, 이 스펙트럼들을 이용하여 발광양자효율을 계산한 결과 14.2 %의 값을 보였다.
4. 결 론
본 연구에서는 페로브스카이트 할로겐화물 광흡수층의 측정방식에 따른 발광 스펙트럼을 조사하고, 이에 따른 스펙트럼의 변화 거동을 분석하였다. 이 과정에서 측정 방식에 따라 발광 스펙트럼의 세기뿐 아니라 파장대의 변화까지 관찰되었다. 이는 발광 스펙트럼의 차이가 소 재가 아닌 측정 방식에 의존할 수 있음을 의미한다. 여 기광 레이저의 출력 밀도 변화에도 발광 스펙트럼의 세 기만 변할 뿐 파장대는 변하지 않은 결과와 연계 해석 해 보았을 때, 상기 발광 스펙트럼의 측정 방식에 따른 세기 및 에너지 변화는 여기광의 출력 밀도 차이가 아 닌 탈출 광자의 경로에 기인함을 확인하였다. 일반적인 PL 분석은 탈출 원뿔에 포함된 극소수의 광자만으로 소 재를 해석하는 방식이므로, 소재의 전반적인 특성을 도 출하기 위해서는 적분구와 같이 광경로를 고려한 측정 을 도입해야 함을 나타낸다. 나아가, 기존에 보고된 논 문들의 발광 스펙트럼 측정은 다양한 방식으로 측정된 결과들이므로, 각 측정 방식을 감안하여 발광 스펙트럼 측정 결과들을 해석해야 함을 보여준다.





