1. 서 론
MOF(metal-organic framework)는 양으로 대전된 금속 이온을 유기 linker 분자들이 둘러싸고 있는, 규칙적인 배 열로 구성된 유-무기 혼합 결정질 다공성 물질이다. 특 히, 일반적인 다공성 물질과는 달리 결정성을 가진 균 일한 기공 구조, 조절 가능한 기공 크기, linker 분자 교 환/수정에 의한 기능화 등을 통해 구조적 다양성을 제 공한다. 이로 인해 연구자는 구조체의 토폴로지, 기공 특 성, 기능성 등을 제어할 수 있다는 것이 MOF의 가장 큰 장점이라고 할 수 있다. 이러한 장점들 때문에 MOF 는 지난 30년간 수소나 메탄 같은 연료 저장, 온실 가 스 포집, 분리, 약물 운반, 촉매 등에 적용가능한 혁신 적인 재료로서 각광을 받고 있다.1)
위에 언급된 MOF의 응용분야 외에 주목받고 있는 또 다른 분야가 자기 냉각 소재분야이다. 자기 냉각은 자기 열량 효과(magnetocaloric effect: MCE)를 기반으로 하는 기술로서 친환경적이고 경제적으로 효율적인 유망 기술 분야 중의 하나이다. MCE는 1917년 Weiss와 Picard에 의해서 처음 발견된 현상으로,2) 인가된 자기장의 변화 에 따른 자기 엔트로피(ΔSm) 및 단열 온도의 변화(ΔTad) 로 설명할 수 있는 자성 재료의 특성이며, 단열 소자 (diabatic demagnetization)으로 알려진 과정을 통해서 자 기 냉동에 적용될 수 있다. 기존의 가스 압축을 이용한 냉각 기술에 비해서 최대 50 %까지 높은 냉각 효율을 나타내는 기술이다.3)
MCE가 모든 자성 재료에서 나타날 수 있는 고유한 현 상임에도 불구하고, 자기 냉각에 적용할 수 있는 소재 의 종류는 제한되어 있다. 자기 엔트로피 변화가 크려 면 자성 재료는 스핀 기저 상태(spin ground state), 스 핀 축퇴(spin degeneracy), magnetic density가 높아야 하며, 자기적 비등방성(anisotropy)은 무시할 수 있을 만 큼 작아야 한다. 이러한 조건을 만족시킬 수 있는 자성 재료로서 Gadolinium(Gd)과 Manganese(Mn)가 있는데, 이 재료들은 spin-only 자기 모멘트가 크며(SGd= 7/2, SMn = 5/2) 유사 등방성 특성을 가지고 있고, 상온 근처에 서 MCE가 나타나기 때문에 자기 냉각 분야에서 많이 연구되고 있다.4) 극저온 자기 냉각분야에서는 MOF를 이 용한 MCE의 성능이 월등하여 기존의 란탄 계열 합금이 나 자기 나노 입자와 비교할 만한 수준으로 보고 있다.5)
MCE가 상자성(paramagnetism)과 강자성(ferromagnetism) 의 경계인 큐리 온도(Curie temperature) 또는 상자성과 반강자성(anti-ferromagnetism)의 경계인 닐 온도(Neel temperature)와 같은 전이 온도 부근에서만 크게 나타나 기 때문에 자기 MOF의 경우 극저온 분야 응용에 제한 이 된다. Gd, Mn 등의 물질을 MOF에 적용하더라도 전 이 온도가 극저온 부근으로 매우 낮다.5) 그리고 MOF 자체가 열 전도 성능이 낮아서 자기 냉각 과정에서 열 이 방출되는 속도가 느리고, 원천적으로 기공이 존재하 기 때문에 자기 밀도가 낮다는 단점이 있으나, 이를 해 결하기 위하여 다방면으로 연구가 이루어지고 있다.
본 리뷰 논문에서는 란탄 계열 원소인 Gd과 전이금 속 Mn을 기반으로 하는 MOF의 제작과, 이를 이용하여 MCE를 분석, 자기 냉동 분야에 적용 가능성을 연구한 결과들을 살펴보고자 한다.
2. 자기 열량 효과(MCE) 및 자기 냉각
2.1 자기 열량 효과(MCE)
자성 재료의 전체 엔트로피(S)는 격자 엔트로피(Sl), 전 자에 의한 엔트로피(Se), 자기 엔트로피(Sm)의 합으로 이 루어진다.
격자와 전자 엔트로피의 경우 온도에만 의존성을 보이 지만, 자기 엔트로피의 경우 온도와 자기장 모두에 영 향을 받게 된다. 자성재료의 전이 온도 부근에서, 격자 와 전자 엔트로피의 경우 온도에 따라 그 변화량이 크 지 않지만, 외부 자기장이 인가됨에 따라 자성 엔트로 피의 경우 그 변화량이 크다. 그리고 단열 상태에서 외 부 자기장의 인가 여부에 따라 자성 재료의 온도가 변 화하게 되는데, 이러한 현상을 자기 열량 효과(MCE)라 고 한다.
자성 재료에 자기장이 인가되기 전에 내부의 자기 모 멘트들이 불규칙적으로 배열하고 있다가, 외부 자기장이 인가되면 그 방향에 따라서 배열하게 된다. 등온 상태 에서 자기장이 인가될 경우, 자기장에 영향을 받지 않 는 격자와 전자 엔트로피는 일정해야 하므로 자기 엔트 로피가 감소하게 된다. 그리고 단열 상태에서 자기장이 인가된다면 격자와 전자 엔트로피가 증가하면서 재료의 온도가 상승하게 된다. Fig. 1에 이러한 개념을 설명할 수 있는 T-S diagram을 나타냈다. 그림과 같이 자기 엔 트로피 변화 ΔSm과 단열온도변화 ΔTad는 자성 재료가 가 진 MCE의 주요 파라미터이며 아래의 식과 같이 표현 할 수 있다.

Fig. 1
Thermal dependence of entropy depending on the applied magnetic field (H0 < H1) in a ferromagnetic material.
위의 두 식에서 자기장의 변화에 따른 (∂M/∂T) 값은 자기 정렬 온도에서 최대값을 가지기 때문에 ΔSm과 ΔTad 값 또한 자기 상태가 변하는 지점에서 큰 값을 보이게 되며, 매우 좁은 온도 범위 내에서 최대값을 보인다.6)
일반적으로 MCE를 측정하는 방법에는 직접적인 방법 과 간접적인 방법이 있다. 직접 측정하는 방법은 외부 자기장을 변화시켜 가면서 자성 재료의 온도를 측정해 ΔTad값을 측정하는 방법이다. 직접적인 측정 방법으로는 ΔTad값만 측정할 수 있으나, 간접적인 측정 방법으로는 ΔTad값과 ΔSm값 모두를 측정할 수 있다.7) 온도와 외부 자기장의 함수로 magnetization을 측정하여 위의 식 (3) 을 이용하여 ΔSm을 구할 수 있으며, 외부 자기장의 함 수로 측정한 열용량과 식 (2)를 이용하면 ΔTad값을 구 할 수 있다. 일반적으로 간접측정 방법이 직접 측정 방 법에 비해서 측정 방법과 시간 측면에서 유용하고 간편 하기 때문에, 대부분의 연구 결과들은 간접 측정을 이 용한 방법을 사용하고 있다.
2.2 자기 냉동
일반적으로 자기 냉동기는 자성 재료, 자기장을 인가 하고 제거하는 시스템, 열 교환기, 유체로 구성된 열 전 달기로 구성된다. 유체를 이용하는 열 전달기는 자성 재 료의 열을 열 교환기로 전달하는 역할을 하며, 구동 온 도에 따라 가스나 유체를 사용하게 된다. 자기 냉동의 과정을 일반적인 Carnot 사이클과 T-S diagram을 이용 하여 다음과 같이 설명할 수 있다(Fig. 2). 우선 자기장 을 단열적으로 일부분만 인가하면 재료의 온도가 Tlow에 서 Thigh로 증가하게 된다(1 → 2 과정). 여기서 온도를 유지하는 상태로 자기장 세기를 완전하게 인가해주려면 열 교환기를 통해서 열을 제거해 주어야 온도만 유지한 채로 엔트로피를 변화시킬 수 있다. 그래서 자성 재료 는 온도를 일정하게 유지하는 반면, 열 전달기의 매체 만 그 온도가 증가하게 되어 그 흡수한 열을 열 교환 기로 전달한다(2 → 3 과정). 열 전달기의 매체가 자성 재료의 열을 교환기로 전달하고 나서 자기장이 완전히 인가된 다음에 자기장을 단열적으로 일부분만 감소시키 게 되면, 자성 재료의 온도가 Thigh에서 Tlow로 떨어지게 된다(3 → 4 과정). 마지막으로 등온 상태에서 부분적으 로 인가된 자기장을 모두 제거하게 되면 자성 재료의 온 도가 떨어져서 외부의 열을 흡수할 수 있는 상태가 된 다(4 → 1 과정). 이러한 자기 냉각의 열역학적 과정이 효율적으로 진행이 되기 위해서는, 열 전달기가 자성 재 료의 열을 흡수하여 열 교환기로 열을 전달하고, 냉각 하고자 하는 부위의 열을 흡수하는 과정을 효율적으로 수행할 수 있어야 하기 때문에, 중요한 역할을 담당한 다고 할 수 있다.
3. 자기 냉동 재료로의 응용을 위한 MOF
서론에 언급한 대로 Gd은 자기 냉동 재료로서 MOF 에 가장 많이 적용되어 연구되고 있는 물질 중의 하나 인데, spin-ground state가 크고, orbital momentum이 0 이며, super-exchange interaction이 약하기 때문이다.8,9) (물론 같은 란탄 계열인 디스프로슘(Dy)을 MOF에 적용 한 연구결과도 있으나 현재는 ΔSm 값이 매우 낮은 편 임) 높은 MCE를 유발하는 물질을 만들기 위해서는 큰 자기 엔트로피 변화를 유발할 수 있고 등방성 특성을 보 이는 Gd3+ 이온이 가장 좋은 재료로 보고되고 있다. 공 유되지 않은 4f 전자를 7개나 보유하고 있어서 이론적 으로 최대 자기 엔트로피 변화량이 110 J·K−1·kg−1에 이 르기 때문이다. 이렇게 큰 MCE 값을 유발할 수 있는 Gd 기반의 물질들의 경우 비용과 희소성이라는 단점을 가지고 있음에도 불구하고 여전히 많이 연구되고 있다. Table 1에 상용화 물질인 Gadolinuim Galium Garnet (GGG)를 포함하여,15) 최근 연구된 Gd 기반 MOF의 MCE 특성에 대하여 정리하여 나타냈다. Gd 기반 물질 의 문제점 중의 하나는 Gd3+ 이온의 큰 원자량으로 인 해서, 단위 질량당 ΔSm이 낮다는 것과 ligand물질의 반 자성(diamagnetic) 성분으로 인해 ΔSm에 영향을 주지 못 한다는 것이다.10)
최근 이러한 문제점들을 극복하기 위해서 조밀하게 MOF의 구조를 가져가는 방안에 대한 다양한 연구들이 보고되었다. Konar 그룹에서는 조밀하게 형성된 squaratobridged lanthanide cubane을 포함하는 3D MOF를 이 용하여 7 T의 외부 자기장에서 60 J·K−1·kg−1의 ΔSm 값 을 달성하였으며, 이는 현재 보고된 Gd 기반의 MOF 중에서 가장 높은 값이다.11) Evangelisti 그룹에서는 가 벼운 리간드 구조인 formate를 사용하여 단일 결정 구 조의 Gd(HCOO)3 라는 높은 packing density를 가지는 MOF를 만들었다. Gd formate도 7 T의 외부 자기장 하 에서 55.9 J·K−1·kg−1의 높은 ΔSm 값을 달성하였는데,5) Konar 그룹의 결과와 마찬가지로 이 값은 상용화 물질 인 GGG에 비교할 만한 매우 높은 수치임을 확인할 수 있다. Francois 그룹에서도 formate를 이용하여 isolated paramagnetic center와 3차원의 강한 화학적 연결로 견 고하게 구성된 MOF를 제작하여 극저온 분야 응용에 대 한 가능성을 보고한 바 있다.13)
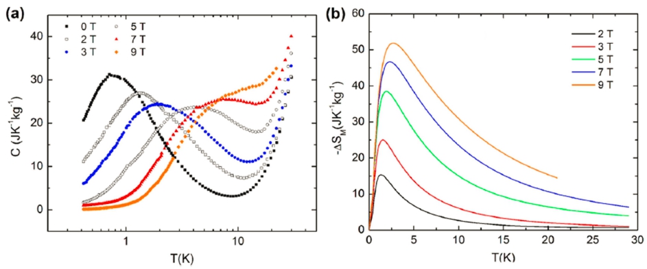
Llewellyn 그룹에서는 MOF-76과 Gd가 결합된 물질을 기반으로 한 연구를 진행하였다. MOF-76(Gd)-DMF를 기 반으로, cavity에 DMF를 포함하는 물질, 용매 없이 전 처리를 통해 물 분자와 cavity간의 교환을 한 물질의 자 성 특성을 분석하였다(Fig. 3).12) 이 그룹의 연구 결과는 MOF 화합물에서 용매의 상태가 물질의 결정 상태 천 이를 유발할 수 있으며, magnetic center 간에 거리에 영 향을 미쳐 MCE 및 자기적 특성을 변화시킬 수 있다는 분석에 초점을 맞추었다. Cavity system에 DMF 분자를 포함하는 샘플의 경우, 측정된 ΔSm 값은 5 T의 자기장 하 에서 38 J·K−1·kg−1, 9 T의 자기장에서는 52 J·K−1·kg−1 정도의 높은 수치를 보였습니다(Fig. 4). 용매의 변화에 따라서 금속 이온 간의 거리를 조절하여 MCE를 높일 수 있다는 매우 중요한 연구 결과로 보고되었다.

Fig. 3
Structures of MOF-76(Gd)-X samples and solvent exchange process (X = DMF – compound 1, X = no solvent – compound 2, or X = H2O – compound 3).14)

Fig. 4
(a) Heat capacity in constant magnetic fields and (b) the magnetic entropy change calculated from heat capacity data of MOF- 76(Gd) {[Gd(BTC)]}n compound.14)
MOF가 가지는 냉각 재료로서의 단점인 magnetic density 를 높이기 위해, 가볍고 여러 자리를 가지는 ligand를 사 용하는 것이 일반적이다. 그래서 formate나 acetate에 관한 연구가 많이 보고되었는데, Wen 그룹에서는 dicarboxylate 및 Gd3+ 이온을 이용한 2D MOF를 제작하여 그 특성 을 보고하였다.14) 주목할 만한 점으로는 외부 자기장 2 T의 낮은 조건에서 30 J·K−1·kg−1의 ΔSm 값이 측정되어, MOF의 극저온 냉매로서 적용 가능성을 다시 한 번 확 인할 수 있게 해준 연구 결과라고 할 수 있다.
자기 냉각 재료로 MOF에 적용할 수 있는 물질로 Gd 가 우수한 MCE 효율로 인해서 제일 많이 연구되고 있 으나, 희소성으로 인한 비싼 가격은 단점이라고 할 수 있다. 그래서 전이 금속인 Mn 또한 5개의 공유되지 않 은 전자를 가지고 있으며, 비싸지 않고, 매장량 또한 많 은 편이라 Gd의 좋은 대체재로 연구되고 있다.
Tong 그룹에서는 Mn2+ 이온과 Gd3+ 이온을 모두 포함 하는 [Mn(H2O)6][MnGd(oda)3]2·6H2O 물질을 제작하여 MCE 특성을 보고하였다.16) 논문 발표 당시에 7 T의 외 부 자기장 하에서 가장 높은 50.1 J·K−1·kg−1의 ΔSm 값 을 측정하였으며, 열용량으로 측정한 결과와 magnetization 으로 측정한 결과가 일치한다는 내용도 논문에 포함하 였다. Bu 그룹에서는 Gd에 사용된 것과 마찬가지로 fomate와 Cr3+, Mn2+ 이온을 함께 사용하여 heterometallic 구조의 MOF를 제작하였다.17) 이 연구결과에서는 물질 내 부의 자기 상호 작용을 최소화하는 데 중점을 두어 MOF 를 설계하였고, CH3NH2CH3+ 양이온을 CH3NH3+으로 대 체함에 따라서 자기적 특성이 바뀌는 결과도 발표하였 는데, CH3NH3+ 양이온을 사용한 경우 강자성특성과 함 께 7 T에서 48.2 J·K−1·kg−1의 높은 ΔSm 값 얻을 수 있 었다. Du 그룹에서도 자기 상호작용을 최소화하기 위해 Mn3+ 이온을 사용하고 Li1+ 이온을 magnetic spacer로 사용하였다.18) 반자성 LiO4 연결체를 이용하여 3D 구조 의 [MnLi2(ip)2(H2O)2] MOF를 제작하였으며, 8 T에서 30. 4 J·K−1·kg−1의 ΔSm 값을 얻었다(Fig. 5).
4. 결론 및 전망
상용화 수준의 높은 ΔSm 값을 나타내는 MOF에 대한 연구들이 점차 보고되고 있으며, 이때 MOF의 금속 클 러스터로는 Gd 및 Mn을 주로 사용하였다. 비록 MOF 의 높은 내부 기공 특성으로 인해 magnetic density가 낮고 열전도도가 떨어지는 단점이 존재하므로, 기술 수 준이 실제 상용화 단계까지 도달하지는 못하였으나, 구 조 및 기능이 조절 가능한 MOF의 장점을 활용하면 다 양한 ligand조합에 의해 조밀한 구조 형성이 가능하므로 낮은magnetic density를 극복할 수 있을 것이라 보고 있 다. 최근 이러한 한계를 극복하기 위한 연구들도 진행 중에 있으며, 20 K에서 MCE 효율이 높은 MOF 신소 재를 개발하여 수소 재액화 분야를 비롯한 다양한 냉각 분야로의 발전 가능성을 기대할 수 있다.





