1. 서 론
다층 세라믹 커패시터(Multi-Layer Ceramic Capacitors, MLCCs)는 현재 전기, 전자 부품 등의 다양한 분야에서 사용되고 있다. 2000년대 초반에는 스마트폰 시장이 확대됨에 따라서, 스마트폰 용 MLCC 수요가 증가하였다. 하지만 2010년대 후반부터, 전기 자동차의 보급이 확대됨에 따라서 전기 자동차에 탑재되는 MLCC 수요가 증가하고 있다. 일반적으로, 전장용 MLCC의 수량은 스마트폰 용에 비해 약 10배 이상 많은 양이 탑재되고 있다. 따라서 전기 자동차가 발전될수록 많은 수량의 MLCC가 필요하게 된다.
현재 대부분의 MLCCs의 조성으로는 BaTiO3 (BT)계 조성을 사용한다. BT는 강유전체 특성을 나타내면서, 낮은 전압에서 높은 유전특성을 지니고 있다.1,2) 전장용 MLCC 중 powertrain에 사용되는 경우에서는 고온, 고압의 환경이 요구되기도 한다. BT계 강유전체 재료는 높은 전압에서 유전 특성이 감소하는 DC bias 특징을 지니고 있어서, 고압의 환경에서는 사용이 제한된다.3,4) 이러한 강유전체의 단점을 보완하기 위해서, 반 강유전체에 소재에 대한 관심이 증가하고 있다. 반 강유전체는 낮은 전압에서는 상대적으로 낮은 유전율을 갖고 있지만, 전압이 증가할수록 유전율이 크게 증가하는 경향을 나타낸다. 또한 강유전체 소재에 비해서 높은 에너지 저장 밀도와 낮은 손실 값을 갖고 있다.5,6,7)
대표적인 반강유전체 소재로써 PbZrO3, (Pb, La)(Zr, Ti)O3(PLZT) 조성이 있다. 이 중에서도 최근 납 란타넘 지르코네이트 타이타네이트(Lead Lanthanum Zirconate Titanate, PLZT)에 대한 연구가 많이 진행되고 있다. PLZT는 A사이트의 Pb와 La, B사이트의 Zr과 Ti 함량의 변화에 따라서 상유전체, 강유전체, 반강유전체 특성이 결정된다.8,9) 그러므로 이러한 함량의 변화가 소재의 에너지 저장 밀도와 손실 및 다양한 특성들에 영향을 미치게 된다. 하지만 반강유전체 소재는 낮은 전압에서는 상대적으로 낮은 유전율을 나타낸다. 따라서 저 전압에서 유전율을 향상하고자 하는 연구가 많이 진행되어 왔다.10,11,12)
PLZT의 결정구조인 페로브스카이트 구조에서는 A, B 사이트에서 다양한 이온이 쉽게 도핑되며, 도핑된 이온의 종류에 따라 특성이 달라진다.13,14,15) 일반적으로 PZT계 압전세라믹 소재에서는 이러한 특성의 변화를 첨가제에 따라 hard계와 soft계의 2가지 유형으로 분류한다. 이들 중 soft 계 dopant를 첨가하면, 유전 및 압전 특성이 증가하는 것으로 많이 보고되어 있다.16,17,18) 이들 이온들은 페로브스카이트 구조의 A사이트와 B사이트에 도핑 되어, domain wall의 이동을 쉽게 하여, 분극 변화를 크게 유도한다는 공통점이 있다. 따라서 이러한 soft계 dopant를 첨가하여, 저 전압에서 높은 유전 특성을 얻기 위한 연구가 많이 진행되었다. 한편, 적층형 구조의 캐패시터를 구현하기 위해서는 상용화 중인 대부분의 MLCC에서 사용하는 전극 소재를 채용하여야 한다. 이들은 가격 경쟁력이 확보되어야 하므로 Ni, Ag, Cu와 같은 소재를 사용해야 하는데 Ni 전극은 상대적으로 소결 온도가 높고, Ag 전극은 상대적으로 소결 온도가 낮다. 소결 온도가 높을수록 PLZT에 포함된 Pb 이온의 휘발에 의한 공정의 안정성이 떨어지고, 소결 온도가 낮아지면 PLZT의 유전, 압전 특성을 저온 소결에서까지 안정적으로 확보할 수 있는 조성의 개발이 제한된다.19,20,21,22) 그러므로 PLZT의 소결 온도인 1,300~1,350 °C에 비해서는 소결 온도가 낮으나 유전과 압전 특성의 저하가 크지 않은 수준인 Cu 전극 소재의 소결 온도를 목표로 PLZT의 소결 온도를 900~950 °C까지 낮추는 연구가 필수적이지만 이들에 대한 연구 결과는 미흡한 실정이다.
따라서 본 연구에서는 선행연구에서 실험적으로 최적화가 이루어진 Pb0.94La0.06(Zr0.83, Ti0.17)O3 조성을 선정하여서23,24,25) 저온 소결을 목표로 두 가지 알칼리 금속 이온을 동시에 첨가하여, 저온 소결 및 높은 유전 특성을 갖는 조성을 확보하고자 하였다. 또한 이들의 첨가 과정에서 첨가제들이 페로브스카이트 구조를 잘 유지할 수 있는지 확인하고 적층구조에 적합한 미세구조가 이루어질 수 있는지 확인하고자 하였다. 그리고 저온 소결 첨가제에 따른 MPB 조성의 변동을 검토하여 최종적으로 PLZT 조성에서 유전특성과 압전 특성이 우수하고 저온 소결이 가능한 최적화 조성을 제안하고자 하였다.
2. 실험 방법
출발 원료인 PbO (99.9 %, Daejung, Korea), ZrO2 (99.6 %, Daejung, Korea), TiO2 (99.9 %, Daejung, Korea) 그리고 La2O3 (99.7 %, Daejung, Korea)를 Pb0.98La0.02(Zr0.83Ti0.17)O3의 화학 조성비를 기준으로 mole 비율에 따라 칭량 하였다. 분산제(BYK-111, BYK, USA)는 0.4 wt% 첨가하여 에탄올을 용매로 120 rpm에서 24 h 볼밀을 이용하여 습식 혼합한 후, 24 h 동안 100 °C 오븐에서 건조하였다. 그리고 알루미나 도가니에 건조된 분말을 넣어서, 880 °C에서 3 h 하소하여 설계한 조성의 원료 분말을 합성하였다.
하소 과정이 끝난 분말은 유발하여 1차 분쇄하고 저온 소결 첨가제 원료인 Na2CO3 (99.9 %, Daejung, Korea) 그리고 K2CO3 (99.9 %, Daejung, Korea)를 실험 조건에 따라 첨가하였다. 그리고 nylon jar에 넣어 에탄올과 함께 습식 볼밀 공정으로 분쇄하였다. 분쇄가 끝난 분말은 수용액 바인더(PVA)를 일정 비율에 맞게 혼합하여, 과립을 제조하고 1축 가압 프레스를 이용하여, 10 Ø 크기의 디스크 형태 로 성형하였다. 이후, 600 °C에서 2 h 동안 bake-out하고, 900~1,100 °C에서 3 h 동안 소결하였다.
소결이 완료된 시편은 아르키메데스법을 이용하여 소결 밀도를 측정하였고, X선 회절 분석기(DMAX2500, Rigaku, Japan)를 이용하여, 결정 구조를 관찰하였다. 또한 전계방출형 주사전자현미경(field-emission scanning electron microscope, FE-SEM, JSM-6700F, Jeol, Japan)을 이용하여 미세구조를 관찰하였고, 유전 특성을 측정하기 위해서 양면에 Ag 전극을 스크린 인쇄하고, 600 °C에서 10 min 동안 열처리하였다. 그리고 impedance analyzer (E4990A, Keysight, USA)를 이용하여, 유전율을 측정하였다. 또한 multiferro tester (Precision LC, Radiant, USA)를 이용하여 1~5 (kV/mm)의 전계를 인가하여 히스테리시스 곡선을 측정하였다.
3. 결과 및 고찰
PLZT의 소결 온도를 낮추기 위해 상대적으로 낮은 융점을 갖는 첨가제들을 많이 사용한다. 이러한 첨가제들은 Cu, Li, Bi, Mn, Na 등 다양한 종류들이 사용되고 있으며,26,27) 이 들 중에 Rukmini 등28)이 PLZT에 Na의 첨가가 저온 소결에 미치는 영향을 보고한 바 있으며 이를 우선적으로 확인하기 위하여 Na2CO3를 선정하여 단독으로 첨가하는 실험을 진행하였다. Fig. 1은 저온 소결 첨가제 Na의 첨가량 변화에 따른 소결 밀도 변화를 보여준다. Na의 함량이 점차 증가함에 따라서 동일한 온도에서 소결 밀도가 증가하였다. 그림에서 Na의 함량이 5~6 mol% 첨가되고, 소결 온도가 950 °C 이상 소결 조건에서 약 7.6 g/cm3의 높은 소결 밀도를 얻었다. 이 결과는 소결 시 Na 이온의 첨가가 낮은 소결 온도에서 소결체의 밀도 향상에 도움을 준다는 것을 단적으로 보여준다. 이것은 소결 시, Na가 PLZT 구성 물질과 반응하여 액상 생성을 유도하고 이 액상을 통해 물질의 이동이 원활하여 소결 온도를 낮추는 역할을 하는 것으로 추정할 수 있다. Corker 등29)은 PZT 계 압전 세라믹의 저온 소결 실험에서 융점이 낮은 첨가제 첨가가 소결 시, 액상을 생성하여 액상소결을 유도하는 것으로 보고한 바 있다. 본 실험도 PLZT 조성이 큰 틀에서 PZT계 조성계의 일부 이므로 동일한 효과가 나타난 것으로 이해할 수 있다.
Fig. 2는 저온 소결 첨가제 Na의 첨가량 변화에 따른 950 °C에서 소결된 샘플의 미세구조를 보여준다. PLZT를 950 °C에서 소결할 때 Na 첨가량이 증가함에 따라 소결체의 치밀화가 가속화하는 것을 확인하였다. 이때 Fig. 2(d), Na의 함량이 5 mol%일 때, 기공이 현저히 감소하고, 균일한 미세구조가 형성되어, Na 첨가가 PLZT 소결 특성 개선에 효과적으로 기여함을 보여준다. 이는 Fig. 1의 밀도 데이터와 잘 일치하는 경향을 보이는 것이다. Fig. 1에서 서술한 이유와 같이 Na이 PLZT 구성 물질과 반응하여 액상 생성을 유도하고, 생성된 액상을 통한 원활한 물질 이동이 소결 온도를 낮춘 것으로 추정할 수 있다.
Fig. 3은 950 °C에서 소결이 충분히 완료된 Na 이온 5, 6 mol% 첨가 조건에 대한 소결 온도에 따른 유전율의 변화를 비교한 그래프이다. 900 °C에서 950 °C 구간에서 소결 온도가 증가함에 따라서 유전율이 증가하였다. 그러나 전반적으로 유전율은 450 이하의 낮은 값을 나타내었다. Fig. 1의 결과로부터, 밀도와 유전율의 연관성을 비교하면 소결 온도가 증가함에 따라 이 온도구간에서 밀도가 증가하고 있는 것을 확인할 수 있었는데 이러한 밀도의 증가는 시편 내부의 pore의 감소로 인해, 유전율이 증가하는 것으로 볼 수 있다.30) Na 이온을 첨가하지 않은 PLZT의 경우 유전율 이 약 1,300으로 측정된 반면, 저온 소결을 위하여 Na 이온을 첨가한 경우 430 정도로 매우 낮은 유전율을 얻었다. Na는 일반적으로 perovskite 구조에서 acceptor dopant로 많이 사용되며, 이때 유전 특성을 감소시키는 역할을 하는 것으로 알려져 있다.31) Na는 perovskite ABO3 구조에서 일반적으로 Pb2+가 위치하는 A-site에 치환되며, Na+는 Pb2+보다 낮은 원자가를 가지므로 전하 불균형을 유발하는 전형적인 acceptor dopant로 작용한다. 이 과정에서 산소공공이 함께 형성되고, Na+와 산소공공은 defect dipole을 이루어 결정 내부의 전기적 불 균일성을 만든다. 이러한 결함쌍은 전기장에 따라 자유롭게 이동하려는 domain wall의 움직임을 방해하며, 결과적으로 분극 변화를 크게 줄인다. 즉, domain wall 운동에 의한 extrinsic 분극 기여가 감소하여 비 도핑 시 약 1,300이던 유전율이 Na 도핑 시 약 430으로 낮아진 것으로 판단된다.32,33,34,35) 따라서 본 실험의 결과도 저온 소결 첨가제로 사용된 일부 Na이 perovskite의 결정 구조 격자에 치환되어 acceptor dopant로 작용한 것으로 볼 수 있다.
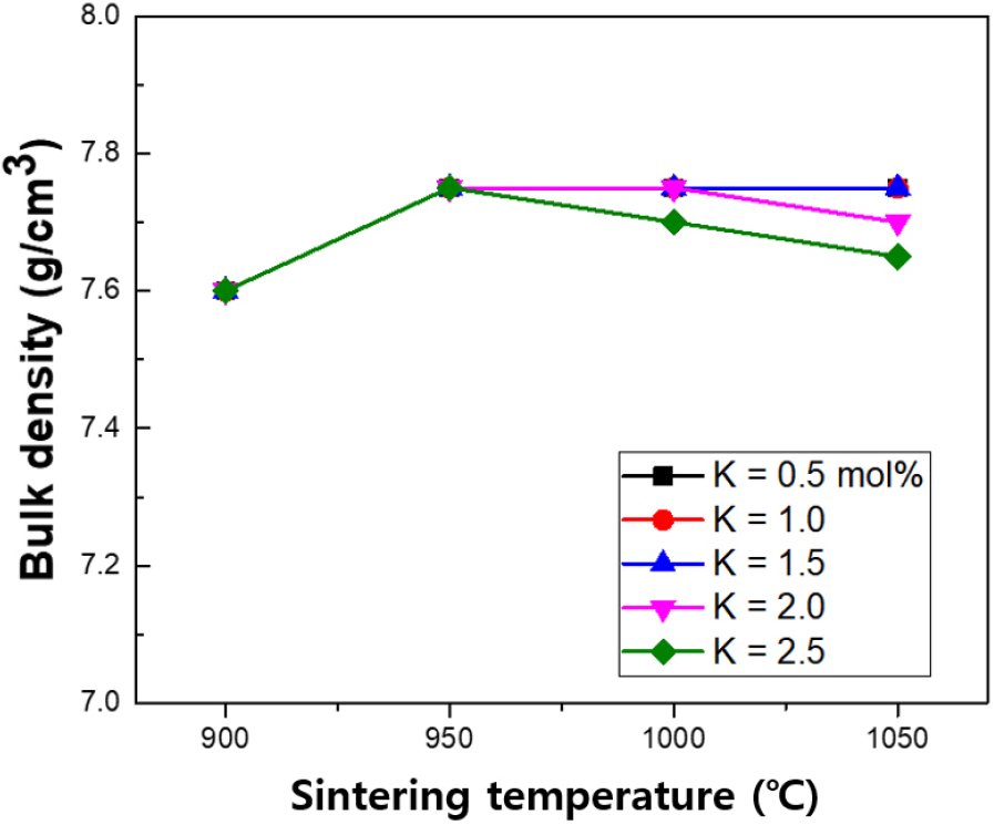
결과적으로 Fig. 1과 Fig. 3에서 PLZT+Na0.05는 950 °C에서 충분히 높은 소결 밀도를 갖지만 낮은 유전율을 갖는 것이 확인되었으므로, 유전율 향상에 효과가 있는 것으로 알려진 K이온을 위에서 제시한 최적의 첨가제 조건인 Na 이온 5 mol% 조건에 추가 첨가한 시편의 소결 온도 변화에 따른 소결 밀도를 Fig. 4에 제시하였다. 그림에서 950 °C에서 K의 함량이 2와 2.5 mol% 추가 첨가된 조건에 소결 밀도는 7.75 g/cm3 이상으로 가장 높은 값을 나타내었다. 이것은 Fig. 1의 결과에 비해 더 밀도가 높아진 것이다. 특히, 2.5 mol% 첨가의 경우 1,000 °C 이상부터, 소결 밀도가 점차 감소하는 것을 확인하였다. 이것은 소결 치밀화가 충분히 진행되어 치밀화 단계에서 grain growth 단계로 진행될 때 나타나는 현상이다. 또한, 액상 생성 첨가제가 추가된 경우에, Li 등18)은, 첨가제를 적정 함량 이상 과량 첨가하면 이차상 등의 영향에 의해서, 소결 밀도에 악영향을 미칠 수 있다고 보고하였다. 그러나 이러한 액상의 경우 소결 후 시편에서는 액상으로 나타나지 않는 transient liquid phase로 나타나는 것으로 볼 수 있어서 액상 개입에 대한 정확한 증거는 확보하기 어려웠다. 그리고 X선 회절분석 결과에서는 이차상이 나타나지는 않았다. 또한, 이러한 현상은 2.0 mol% 첨가 조건에서는 소결 온도 1,050 °C에서 동일하게 나타난다. 이러한 결과로 볼 때 치밀화가 충분히 진행되고 grain growth 단계로 넘어가면서 pore의 크기 증가에 따른 밀도의 미세한 감소 현상으로 볼 수 있다.
Fig. 5는 PLZT +Na0.05 조성을 기반으로 K 이온의 함량을 변화하면서 950 °C에서 소결한 시편의 미세구조를 보여준다. Fig. 4에서 950 °C에서 소결한 소결체의 경우, K 이온의 첨가량에 관계없이 모든 시편은 동일하게 높은 소결 밀도를 유지하는 것으로 나타났다. 이를 뒷받침하기 위하여, 미세구조를 분석한 결과, 모든 조성에서 기공이 거의 없이 치밀화 된 것을 확인하였으며, K 이온이 증가함에 따라 grain이 약간 성장한 것이 일부 관찰되지만 전반적으로 유사한 미세구조를 확인할 수 있었다. 이를 상용 이미지 어널라이저 소프트웨어를 이용하여 grain의 평균 크기를 측정하였을 때, (a), (b), (c) 그리고 (d)에서 각각 0.894, 1.021, 1.158 그리고 1.161 µm의 크기를 가지는 것을 확인하였다. 이는 950 °C에서 소결한 샘플의 경우 K 이온의 첨가가 소결 밀도에 큰 영향을 미치지 않으면서, 유전 특성 향상을 위한 조성 설계에 기여할 수 있음을 시사한다.
Fig. 6은 950 °C의 소결 온도에서 Na 5 mol% 첨가 조건에서 K 이온 추가 첨가량에 따른 유전율의 변화를 나타낸 그래프이다. K 이온의 함량이 점차 증가함에 따라 유전율이 증가하였다. 이들 중, 특히, K 이온 2 mol% 함량에서 가장 높은 680의 유전율을 얻었다. Rukmini 등36)은 K의 소량 첨가는 PLZT의 무질서도 증가를 가져오고 이에 따라 유전율이 증가하지만, 적정 함량 이상 첨가 시에는 acceptor 작용에 의해서 유전율이 감소하는 것으로 보고된 바 있다. 이러한 관점에서 보면 K 이온이 첨가되지 않았을 때와 비교하여 2.0 mol% 첨가조건에서 약 1.5배 유전율이 증가하고 2.5 mol% 첨가 시 미세하게 감소하는 것이 확인되었다.
Perovskite 구조의 유전체 재료에서는 B-site의 조성 변화에 따라 상의 구조가 달라지며, 상의 경계 부분인 모르포트로픽 상경계(morphotropic phase boundary, MPB) 영역에서 높은 유전율을 가지는 것으로 보고되어 있다.37,38) 이러한 측면에서 위에서 제시한 저온 소결 조성에서 MPB 조성에 대한 정확한 평가가 필요하다고 할 수 있다. Fig. 7은 PLZT+Na+K 조성에서 Zr 이온의 함량 변화에 대한 유전율 변화를 나타낸 그래프이다. 일반적으로 PLZT에서 Zr 함량이 감소하면 유전특성이 반강유전체에서 강유전체로 변한다고 알려져 있다.39) 그러므로 기존의 고온 소결에서 MPB 조성인 Zr 이온이 0.83보다 높은 함량에서 유전 특성 변화를 살펴보고자 하였다. 유전율은 Zr 함량이 0.86까지 증가함에 따라 점차 증가하다가 이후 급격하게 감소하는 것을 확인하였다. 그 결과, Zr함량이 0.86일 때 가장 높은 약 900 이상의 유전율을 얻었다. 이러한 유전율의 변화로 고려할 때 MPB영역은 Zr 이온 함량이 0.84~0.88 범위에 존재한다고 추정할 수 있다. 이것은 저온 소결 첨가제 첨가 전 MPB 조성이 Zr 0.83에서 대량의 첨가제가 첨가됨에 따라 Zr 0.86조성 영역으로 이동했음을 의미한다.
Fig. 8은 Fig. 7의 결과를 바탕으로 Zr함량의 변화에 따른 결정구조 변화를 관찰한 것이다. 전체적으로 Zr 이온 함량 변화와 관계없이 전체적으로 이차상이 없는 perovskite 결정 구조를 나타내는 것을 확인하였다. 특히, 44~45° 영역에 대한 저속 스캔 결과에서 전체적으로 pseudocubic 구조를 확인하였다. 또한, Zr함량이 점차 증가함에 따라 점차 tetragonal 구조인 저 각으로 peak의 이동이 확인되었다. Ti에 비해서 원자 반경이 큰 Zr의 함량이 증가할수록 격자 왜곡이 발생하여 tetragonal구조로 구조 전이가 일어나는 것으로 사료된다.40) 이때 상의 전이가 일어나는 중간 영역의 조성인 MPB가 Fig. 7의 결과로 볼 때 Zr 0.86 조성인 것이다.
Fig. 9는 Zr 함량 변화에 따른 polarization과 electric field의 관계를 측정한 결과이다. 그림은 가해진 전계의 변화에 따라 P-E curve에서 hysteresis 특성이 나타남을 보여주고 있다. 저전계에서 낮은 polarization을 보이고 있으나 전계가 증가하면 급격한 polarization의 증가를 나타내는 전형적인 anti-ferro electric 특성을 나타내었다. 위와 같은 현상은 electric field 증가가 domain wall의 이동을 더 원활하게 하며, 이는 쌍극자의 정렬을 더 쉽게 만들어 주기 때문에, polarization이 선형적으로 증가하는 것으로 알려져 있다.41) 이때 Fig. 9(a)의 P-E curve에서 확인되듯이, Zr 조성이 0.84에서 0.86으로 증가함에 따라 분극 값이 점차 증가하였다. 그러나 Zr 조성이 0.86을 초과하여 0.88 및 0.90으로 증가할 경우, 분극 값은 다시 감소하는 경향을 나타내었다. 이러한 거동은 Fig. 7 및 Fig. 8에서 관찰된 바와 같이 상전이가 일어나는 중간 조성 영역, 즉 MPB 가 Zr = 0.86 부근에 존재하기 때문으로 판단된다. 이렇게 측정된 curve에서 에너지 밀도와 효율을 계산한 결과를 Fig. 9(b)에 제시하였다. 에너지 밀도 및 효율 그래프는 Fig. 7의 유전율 변화 그래프와 매우 유사한 경향을 얻었다. 그리고 Zr 0.86일 때, 에너지 밀도 약 2 J/cm3, 효율 약 78 %의 가장 높은 값을 얻었다.
4. 결 론
선행실험 결과 중에서 소결 온도 1,300 °C 이상에서 유전율 1,300 이상을 나타낸 Pb0.94La0.06(Zr0.83Ti0.17)O3 조성을 이용하여 저온 소결 조성을 최적화하고자 하였다. Na 이온의 첨가량이 증가함에 따라 저온 소결에 효과적이었지만 이와 동시에 유전율도 감소하였다. 이는 Na 이온의 첨가가 acceptor로 작용하였기 때문으로 판단된다. 또한 PLZT+Na0.05 조성에 K이온이 추가 첨가됨에 따라 저온 소결 특성은 유지 또는 향상되며, 유전율은 Na 단독 첨가 시에 비하여 증가하는 것을 확인하였다. 복합 첨가 결과 Pb0.94La0.06(Zr0.83Ti0.17)O3+Na0.05+K0.02 조성에서, 950 °C 소결 온도에서 유전율 약 680을 얻었다. 또한, 대량의 첨가제 첨가에 따른 MPB영역의 정확한 재 조정을 위해서, Zr 이온의 함량을 0.84~0.92까지 변화하였다. 이 구간에서 Zr 이온의 함량이 증가함에 따라 pseudocubic에서 tetragonal상으로 상전이가 일어나는 MPB 조성이 미세하게 이동한 것을 확인하였다. 결과적으로 950 °C에 소결한 PLZT 조성 중 최적의 조성은 Zr 0.86 이며, 약 900 이상의 유전율과 약 2 J/cm3 에너지 저장 밀도를 나타내었다.











