1.서 론
광밴드갭 화합물 반도체인 산화아연(ZnO)은 소재의 친 환경성과 원소재 조달의 용이성으로 청색 및 자외선 대 역 발광소자와 투명전극에 각각 질화갈륨(GaN)과 산화 인듐(In2O3)을 대체할 수 있는 소재로 주목받고 있다. 산 화아연은 박막 형태로의 증착은 물론 다양한 형태의 나 노구조로의 합성도 가능하여 나노광전자소자의 기본 구 성요소로 응용하기 위한 연구도 활발히 수행되었다.1-3) 특 히 1차원 나노구조인 나노와이어는 c–축 배향성을 갖는 단결정인 동시에 높은 종횡비에 의한 기계적 유연성을 지녀 여러 소자 분야에 적용하고자 하는 연구가 지속되 고 있으며 다양한 형태의 소자개념이 제시되고 있다.4,5) 3.4 eV의 넓은 밴드갭에 기인하는 투명성과 청색에서 자 외선 대역에 이르는 전자기파에 대한 감응성 이외에 산 화아연은 육방정인 단위정의 c–축 방향으로 아연 양이 온과 산소 음이온이 분극되어 있어 압전특성도 보이므 로6) 환경친화적인 압전소자로의 응용에 대한 연구도 활 발히 진행되고 있다.7-9) 이전의 실험적 연구에서는 산화 아연 나노와이어의 수열합성 과정에서 금속원소를 도핑 함으로써 나노와이어의 길이와 두께방향 성장속도를 제 어하여 다양한 종횡비를 갖는 나노와이어를 합성하고 이 들의 압전거동을 관찰하였고10) 이들 실험적 연구에서 관 찰된 나노와이어의 압전거동의 형상 의존성은 유한요소 해석에 의한 후속연구에서 보다 상세히 분석되었다.11)
나노와이어의 압전특성에 관한 연구의 실용적 측면에 서의 목적은 나노와이어를 에너지 회수 소자나 변형감 지 소자로 응용하기 위함이다. 지금까지의 연구는 주로 나노와이어의 정적 거동 특성, 즉 하중–변형 관계가 시 간에 의존하지 않거나 시간이 고려되더라도 하중 변화의 주기가 상대적으로 긴 상황을 중심으로 수행되었다.12-16) 그러나 대부분의 경우 기계적 구조물의 거동은 비교적 짧은 시간에 하중 또는 변형이 변화하는 동적 거동에 해 당하며 특히 동적 거동은 구조진동을 수반하므로17) 나노 와이어를 활용하는 압전소자의 거동도 동적 하중이 작 용하는 경우를 기준으로 이해할 필요가 있다. 에너지 회 수 이외에 구조물의 안전 관점에서는 스마트 구조의 대 두와 더불어 구조물에 발생하는 변형률을 실시간으로 모 니터링하여 이상 변형에 대한 즉시 대응을 가능하게 할 변형률 센서의 필요성도 제기되고 있다. 적지 않은 경 우 구조물의 변형은 구조진동 형태의 동적 변형이므로 변형률을 감지하기 위한 센서응용에 있어서도 나노와이 어의 동적 거동특성에 대한 이해가 필요하다. 이에 더 하여 압전체는 변형을 전기 에너지 변환하기도 하지만 외부에서 인가된 전압에 의하여 변형될 수 있으므로 일 종의 구동기(actuator)의 역할도 할 수 있다. 짧은 시간 주기에 대하여 변위가 지속적으로 변하는 동적 시스템 에 적용될 구동기 소자라면 동적 거동특성에 대한 이해 가 필수적이다.
산화아연 나노와이어의 동적 거동특성과 압전특성을 이 해하기 위해서는 실험적 연구가 고려될 수 있으나 전자 현미경에서 관찰이 가능한 미시적 구조체의 진동을 수 반한 동적 거동을 실험적으로 측정하는 것은 난이도가 상당히 높으며 매우 정밀한 측정도구는 물론 새로운 측 정표준의 정립등이 선행되어야 한다. 반면 전산역학적 방 법에 의한 시뮬레이션은 실험으로 구현이 어려운 상황 을 상대적으로 적은 비용으로 비교적 단시간에 모사할 수 있으므로 나노와이어와 같은 미소 구조물의 거동 분 석에 적합할 것으로 판단된다. 이에 따라 유한요소법을 이용하여 나노와이어의 종횡비와 변형 양상이 압전거동 에 미치는 영향을 분석하고 압전소자 설계안을 제시한 이전 연구의11) 연장선에서 본 연구에서는 산화아연 나노 와이어의 동적 거동특성을 분석하고 이를 바탕으로 나 노와이어의 동적 압전소자 응용을 위한 설계 방법론과 동적 소자 응용 가능성에 대한 평가를 수행하였다. 먼 저 동특성을 이해하기 위한 기초로서 모드 해석(modal analysis)을 실시하여 진동모드 형상과 기저 고유진동수 를 예측하였다. 이어서 과도응답 해석(transient response analysis)을 실시하여 수 십 MHz 이하 주파수 대역의 동 적 하중 하에서 나노와이어의 동적 거동은 준정적(quasistatic) 거동의 범주에 포함되므로 압전소자 설계에 있어 서 정하중 해석으로도 충분히 유의미한 결과를 얻을 수 있음을 보였다. 마지막으로 동적 압전전위가 인가되는 경 우의 변형거동을 분석하여 구동기와 공진기(resonator)로 의 응용 가능성을 평가하였다.
2. 유한요소 해석
2.1 해석모델
산화아연은 결정성장 속도의 이방성으로 인하여 a–축 방향과 c–축 방향의 성장속도가 다른데 금속 원소를 도 핑함으로써 각 방향으로의 성장속도의 비율을 조절할 수 있다.10) 산화아연 나노와이어를 수열합성하는 이전의 실 험연구에서 도핑원소로 Al과 Cd를 첨가한 경우 여타 합 성조건을 동일하게 유지한 결과 길이가 각각 1.70 μm 및 400 nm, 정육각형 단면의 한 변의 길이는 각각 15.0 nm 및 100 nm로도 종횡비가 크게 다른 나노와이어를 합성한 바 있다. 한편 도핑을 하지 않은 경우는 길이 1.40 μm, 단면 한 변의 길이가 22.5 nm였다.10) 이번 연 구에서는 이전의 실험연구에서 실제로 관찰한 형상을 바 탕으로 유한요소 해석 모델을 설정하였으며 이들 모델 나노와이어의 유한요소 분할 형상을 Fig. 1(a)-(c)에 보 였다. Fig. 1에서 모델 A [Fig. 1(a)]는 길이 1.70 μm, 육 각형 단면 한 변의 길이 15.0 nm로 종횡비가 1:57(이전 실험연구에서 합성한 Al을 도핑한 나노와이어에 해당), 모델 B [Fig. 1(b)]는 길이 1.40 μm, 육각형 단면 한 변 의 길이 22.5 nm로 종횡비가 1:31(이전 실험연구에서 합 성한 도핑하지 않은 나노와이어에 해당), 모델 C [Fig. 1(c)]는 길이 400 nm, 육각형 단면 한 변의 길이 100 nm 로 종횡비가 1:2(이전 실험연구에서 합성한 Cd을 도핑 한 나노와이어에 해당)이다. 단결정으로서 정육각형 단면 을 갖는 산화아연 나노와이어의 형상을 감안하여 육각 기둥 해석모델을 20절점 육면체 2차요소(quadratic brick element)를 이용하여 균등 분할 격자망(mapped mesh)으 로 요소분할하였다. 정육각형 단면의 모서리를 2등분한 길이가 요소의 기본 밑변 길이에 해당하여 요소의 밑변 과 높이의 길이 비율이 유사하게 유지되도록 요소의 형 상을 결정하였다. 따라서 해석모델 A, B, C를 구성하는 요소는 밑변 대 높이의 비율이 각각 7.50:9.44, 11.25:14.0, 50:50이 된다(길이 단위는 nm임).

Fig. 1
Finite element models for (a) Model A (W/L = 1:57), (b) Model B (W/L = 1:31), and (c) Model C (W/L = 1:2) and (d) schematic time–load histories for the transient response analyses. Note that the FE models are identical to those used in the previous study.11)
2.2 유한요소 해석 절차 및 방법
산화아연 나노와이어의 동적특성 파악을 위하여 먼저 모드해석(modal analysis)을 실시하였다. 이 해석을 통하 여 나노와이어의 진동모드 형상과 각 모드별 기저 고유 진동수(공진주파수)를 계산하였다. 모드해석의 경계조건으 로는 나노와이어가 기판 위에 합성된 상황을 반영하여 해석모델의 밑면의 모든 좌표축 방향 자유도를 구속하 는 조건을 적용하였다. 이러한 경계조건은 구조물의 형 태 기준으로는 외팔보(cantilever beam)에 해당한다.
시간에 따라 하중의 크기가 변화하는 동적 하중이 나 노와이어에 작용하는 경우의 거동을 분석하고자 과도응 답 해석(transient response analysis)을 실시하였다. 해석 을 위한 하중의 형태는 Fig. 1(d)에 보인 바와 같이 삼 각형 파형과 사각형 파형을 갖는 두 경우를 고려하였 다. 삼각형 파형은 사인파를 단순화 한 것이며 사각형 파형은 일반적인 펄스 파형을 모사한 것이다. 하중의 주 파수는 진동 모드형상과 고유진동수를 바탕으로 1 kHz 와 1 MHz의 두 경우를 적용하였다. 경계조건은 모드해 석과 동일하게 적용하였으며 하중은 나노와이어의 상부 끝면의 중심 절점에 집중하중의 형태로 적용하였다.
과도응답특성 분석에 이어 산화아연 나노구조체가 미 소 기전 시스템(MEMS, micro-electromechanical system) 등에서 공진기(resonator), 작동기(actuator) 등 시스템 구 동계로 적용될 잠재성이 있는지를 판단하고자 나노구조 에 펄스 형태로 전압을 인가하는 경우의 거동특성을 분 석하였다. 전압 신호는 사각형 파형의 펄스신호로서 1 MHz의 주파수로 나노와이어 양 끝단 사이의 전위차가 2.0 V가 되도록 인가하였다. 유한요소 해석에서 펄스신호 가 함수의 형태로 인가되는 점을 고려하여 전압이 0에 서 최대치에 이르는 상승시간과 최대치에서 0으로 되돌 아오는 복귀시간을 동일하게 0.1 μs로 적용하였다.
2.3 소재 물성
압전거동 해석에 필요한 물성은 탄성계수, 압전변형률 계수, 유전률인데 산화아연 나노와이어가 c–축 배향성을 갖는 육방정의 단결정으로 P63mc 공간군의 대칭을 지니 므로 각 물성은 텐서의 형태로 주어진다. 먼저 응력텐 서 [T]와 변형률텐서 [ε]의 관계 [T] = [C][ε]에 있어서 강성행렬 [C]는 로 주어지고, 응력텐서 [T]와 장전기변위장텐서 [D] 사이 의 관계 [D] = [d][T]에서의 압전변형률 계수 텐서 [d]는 이며, 마지막으로 장전기변위장텐서 [D]에 의해 유발되 는 전기장의 관계 [E] = [ϵ]−1[D]에서 유전율 텐서 [ϵ]는 로 주어진다.
앞선 실험연구10)에서 나노와이어의 형상 제어를 위해 금속원소를 도핑하였으므로 도핑이 물성에 영향을 미칠 것으로 예상될 수 있으나18) 최근의 제1원리 기반 이론 연구에서는 도핑원소들이 압전전하에 대한 차폐를 감소 시켜 압전효과를 높이거나 치환형 도핑에 의한 대칭구 조의 변화로 압전상수가 변화하거나 할 가능성은 없는 것으로 예측되었으므로19) 본 연구에서는 나노와이어의 형 상과 무관하게 모든 모델들에 대해 동일한 물성을 적용 하였다. 이번 연구의 모든 유한요소해석 범용 해석 패 키지인 ABAQUS20)를 이용하여 수행되었다.
2.4 단위계
과학기술 계산에서 일반적으로 SI 단위계를 사용함을 원칙으로 하나 이를 나노구조체와 같이 SI 표준단위 기 준으로 매우 작은 물리량을 갖는 시스템에 적용하여 유 한요소해석을 실시하면 해석패키지의 코딩에 반영된 유 효숫자의 범위와의 불일치로 해석상에 오류가 발생할 우 려가 있다. 이를 해소하고자 본 연구에서 실시한 유한 요소 해석에는 예비계산 단계에서 시행착오를 거쳐 길 이의 기준단위는 μm, 질량의 기준단위는 kg, 시간의 기 준단위는 s, 전하량의 기준단위는 C을 사용하였다. 이러 한 기준단위의 적용으로 해석에서 사용한 단위는 SI 단 위계와 비교하여 다음과 같은 관계로 환산된다. 여기서 unit는 해석모델 내에서의 단위를 의미한다. 이와 같은 단 위계의 사용에 따라 해석결과도 같은 단위로 출력되므 로 결과의 판독에도 아래의 환산관계가 적용된다.
1)응력 및 탄성계수 단위: 1 Pa = 1 N/m−2 = 1 kg·m·s−2/ m2= 1 × 10−6 unit. 즉, 해석모델의 1단위가 SI 단위 계의 1 MPa에 해당.
2)전위차: 1 V = 1 kg·m2/As3= 1 × 1012 unit. 즉, 해석 모델의 1 × 1012 단위가 SI 단위계의 1 V에 해당.
3)압전변형률계수 단위: 1 m/V = 1 m/kg·m2·A−1·s−3= 1 C·s2/kg·m = 1 × 10−6 unit. 즉, 해석모델의 1 × 10−6 단 위가 SI 단위계의 1 m/V에 해당.
4)유전율 단위: 1 F/m = 1 N/V2= 1 A2·s4/kg·m3= 1C2·s2 /kg·m3= 1 × 10−18 unit. 즉, 해석모델의 1 × 10−18 단 위가 SI 단위계의 1 F/m에 해당.
3. 결과 및 고찰
3.1 진동모드와 공진주파수(Modal Analysis)
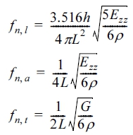
고유진동모드와 공진주파수는 구조물의 동적 거동을 이 해하기 위한 기본 정보를 제공한다. 이번 연구에서 고 려한 나노와이어에 대한 진동 모드해석 결과 중 종횡비 가 가장 큰 모델 A의 기본 진동 모드들을 Fig. 2에 보 였다. 각 모드 형상들은 변형되지 않은 원래의 요소분 할 형상과 함께 제시하여 진동시의 변형 형상을 용이하 게 파악하도록 하였다. 해당 나노와이어는 기판 위에 합 성하여 바닥이 고정된 것 외에는 별다른 구속조건이 없 는 상태이며 이 경우 기본적인 자연진동은 폭 방향(단 결정의 a1축 및 결정학적으로 동등한 축 방향)으로의 굽 힘(Fig. 2(a)), 길이 방향(단결정의 c축 방향)으로의 인장 과 수축(Fig. 2(b)), 그리고 c축을 중심으로 한 비틀림의 형태(Fig. 2(c))로 나타날 것으로 예측되었다. 한편 각 모 드 별 기저 고유진동수는 7.233 MHz, 892.0 MHz, 및 798.4 MHz로 예측되었다. 구조물의 진동이론에 따르면 외팔보 형태의 정육각형 단면 보 구조물에 있어서 각 진 동모드 별 기저 고유진동수는 굽힘, 인장/압축, 비틀림의 순으로 다음 수식과 같이 주어진다.21) 이 식에서 h는 정 육각형 단면의 한 변의 길이, L은 나노와이어의 길이, Ezz는 z 방향으로의 탄성계수, ρ는 밀도, Gxy는 x-y 단면 의 전단계수이다.

Fig. 2
Three basic modes of vibration of the Model A ZnO nanowires: (a) lateral bending, (b) axial extension/contraction, and (c) torsion.
이 수식으로 구한 고유진동수는 각각 7.232 MHz, 802.2 MHz, 804.7 MHz로서 유한요소해석 결과와 비교적 잘 일치하여 본 연구의 유한요소해석 모델이 타당함을 보인다.
Fig. 2에는 모드형상과 더불어 각 모드로 진동할 경우 압전전위가 어떤 형태로 분포할 것인지를 함께 보였다 (등고선 범례의 EPOT 출력값). 굽힘모드의 경우는 고정 된 바닥 인근에 와이어의 중립축(neutral axis)을 기준으 로 대칭형으로 양의 최대값에서 음의 최대값으로 전위 차가 발생하며 이는 일반적인 외팔보 굽힘에서 발생하 는 응력분포를 그대로 따르는 형상이다. 한편 비틀림 진 동의 경우 기전력이 나노와이어 중앙부의 둘레 방향을 따라 양에서 음으로 변화하는 형태로 중앙 표면부에 집 중해서 발생하는 것으로 예측되었다. 비틀림 모드로 진 동하는 경우는 비틀림 변형이 중앙부에 집중되며 변형 률이 표면에서 최대가 되는 일반적인 변형거동과 일치 하는 기전력 발생 양상임을 알 수 있다. 길이방향으로 인장/압축되는 형태의 진동모드의 경우는 길이 방향으로 압전전위가 일정한 구배를 가지고 와이어 전 영역게 걸 쳐 균등하게 분포하는 것으로 예측되는데 이는 길이방 향으로 변형률이 일정하게 나타나는 변형양상이 반영된 결과이다.
Fig. 2에 보인 모델 A 이외에 모델 B와 모델 C에 대 해서도 유한요소해석을 실시한 결과 기본적인 진동모드 형상은 모델 A와 동일하여 나노와이어의 종횡비가 기본 진동모드에 영향을 주지 않음을 확인하였다(결과는 별도 로 보이지 않음). 이들 나노와이어 모델에 대하여 유한 요소 해석으로 예측한 고유진동수는 Table 1에 요약하였 다. Table 1의 결과를 보면 Fig. 2에 보인 모델 A의 경 우가 각 모드별 기저 고유진동수가 가장 낮음을 확인할 수 있다. 이는 모델 A가 길이가 가장 길고 직경이 가 장 작아 굽힘, 인장, 비틀림 강성이 모두 최저인 것에 기인한다. 한편 모델 A의 경우도 횡방향 굽힘 모드의 경 우가 10 MHz보다 약간 낮은 것을 제외하면 고유진동수 가 거의 약 800에서 900 MHz의 범위에 있어 구조물로 서는 매우 높은 값을 보인다. 나노와이어의 고유진동수 가 이처럼 매우 높게 나타나는 이유는 구조물의 고유진 동수가 앞의 식 (4)와 같이 물질의 성질과 형상으로 결 정되기 때문이다. 식 (4)에서 구조물을 구성하는 물질의 탄성계수(비틀림의 경우는 전단계수)와 밀도는 물질 고 유의 성질이므로 구조물의 크기와 무관하다. 반면 형상 과 관계된 변수는 굽힘모드의 경우 h/L2인데 나노와이어 와 같은 형태의 보 구조물이 정육각형 단면의 한 변의 길이 h와 축방향 길이 L을 동일한 비율로 유지하면서 크 기를 줄이는 상황을 가정한다면 고유진동수가 길이에 반 비례하여 증가함을 예상할 수 있다. 그 외 축방향 인장 /압축과 축을 중심으로 한 비틀림모드의 경우는 형상변 수가 길이 L만 남아 역시 고유진동수가 길이에 반비례 하여 증가하게 된다. 따라서 길이가 통상 m 단위인 거 시적 구조물에 비하여 μm 단위인 나노와이어는 고유진 동수가 거시적 구조물의 106배 수준에 달하는 것을 알 수 있다.
3.2 과도응답 특성(Transient Response Analysis)
위에서 검토한 바와 같이 이번 연구에서 고려한 나노 와이어는 통상적인 범위 내에서는 동하중이 작용하더라 도 하중의 시간의존성에서 벗어나는 이상진동이 발생하 지 않으므로 실질적으로는 하중의 크기가 같으면 변위 의 방향과 크기도 정적 거동의 경우와 동일하게 나타날 것으로 예상된다. 이를 확인하고자 과도응답 해석을 실 시하였다. 모드해석의 결과를 바탕으로 과도응답해석은 고 유진동수가 가장 낮게 예측되는 모델 A에 대해서만 실 시하였다. 과도응답해석에 앞서 비교군으로서 정적 해석 을 먼저 실시하였다. 모델 A에 대하여 외팔보 경계조건 을 적용하고 구속되지 않은 선단부의 중심절점에 -x 방 향으로 20 nm의 변위를 유발하는 집중하중(60.0 pN)을 적 용하여 굽힘 변형을 모사하였으며 길이 방향 변형을 모 사하기 위해서는 같은 절점에서 -z 방향으로 약 10 nm 의 변위를 유발하는 압축하중(14.3 nN)을 적용하였다. 이 러한 변위는 나노와이어에 1 % 이하의 변형률을 유발하 는 크기로 나노와이어의 파손을 유발하지 않을 탄성변 형 범위에 해당한다. 정하중 해석의 결과는 Fig. 3에 보 인 바와 같다.

Fig. 3
Deformation of nanowires under static loads: (a) cantilever bending and (b) uniaxial compression.
한편 동하중은 앞서 Fig. 1(d)에 보인 두 가지 파형을 각각 적용하였으며 하중의 최대값은 비교를 위한 정하 중 해석에서 사용한 하중과 동일하게 유지하였다. 동하 중 해석의 결과는 Fig. 4에 하중이 가해지는 절점 기준 으로 변위-시간의 관계로 보인 바와 같다. Fig. 4(a)는 시 간 0.5 ms에서 최대 하중이 가해지는 삼각형 파형의 동 하중(주파수 1 kHz)에 대한 응답특성으로 시간 경과에 따 른 변위 거동이 하중의 파형을 그대로 따라감을 볼 수 있다. 또한 Fig. 4(b)는 동하중의 주파수를 1 MHz로 적 용한 경우로 나노와이어의 응답이 역시 하중의 파형과 거시적으로는 일치함을 볼 수 있다. Fig. 4(b)에서 구조 물의 변위‒시간 거동에 미세한 진동이 포함되어있고 이 진동이 하중 제거 후에도 지속되고 있으나 그 진폭이 매 우 작아 구조물의 거시적 거동특성에는 영향을 주지 않 을 것으로 예상된다. 경험법칙으로 구조물에 작용하는 하 중의 주파수가 고유진동수의 1/5 수준 이하이면 준정적 거동을 하는 것으로 여겨지는데22) 여기서 고려한 나노와 이어의 경우 대체로 이러한 경험법칙의 범주에 포함되 는 것을 알 수 있다.

Fig. 4
Time-displacement relations showing the transient responses of Model A ZnO nanowires under (a) – (d) bending and (e) – (h) uniaxial compression. The transient responses in (a), (c), (e), and (g) corresponds to the loading duration Δt = 1 ms and follow the time– load histories. The transient responses in (b), (d), (f), and (h) corresponds to the loading duration Δt = 1 μs and overall follow the time– load histories except for (d). Refer to the main text for details.
하중펄스가 사각형 펄스 파형인 경우는 하중이 1 ms 동안 지속되는 경우는 Fig. 4(c)에 보인 바와 같이 거동 이 하중의 파형을 그대로 따르고 있으나 하중 지속시간 이 1 μs로 짧아지면 Fig. 4(d) 처럼 하중의 파형과 변위 의 파형이 상당히 달라짐을 볼 수 있다. 이 경우는 하 중이 0에서 최대치까지 거의 0초에 가까운 시간 동안 급 상승(해석 모델에서는 0.1 μs 동안 상승하여 주파수 10 MHz에 해당)하여 사실상 하중이 충격(impact)의 형태로 작용하는 경우로 볼 수 있다. 따라서 하중작용과 동시에 최대 43.6 nm에 달하는 정하중 작용 대비 2배 수준의 변 위가 발생하며 이후 구조물에 진동이 발생할 것으로 예 측되었다. 하중의 제거과정 또한 초기 충격의 역순으로 하중 제거 후 구조물이 조화진동자(harmonic oscillator) 양상의 진동거동을 보이나 이 진동에는 감쇄가 동반하 여 시간 경과와 더불어 점차 진폭이 0으로 수렴하는 것 을 볼 수 있다. Fig. 4(d)에 보인 거동은 폭 방향 굽힘 모드의 고유진동수가 7.233 MHz이며 하중의 상승/복귀시 간을 기준으로 한 주파수가 10 MHz라는 상황을 고려할 때 공진에 가까운 진동으로 해석될 수 있다. 이러한 결 과는 나노구조에 펄스 형태로 하중이 가해질 때 펄스의 지속시간보다는 하중값이 0에서 최대치로 상승하는 상승 시간(rising time)과 최대치에서 0으로 되돌아오는 복귀 시간(return time)이 구조물의 동적 거동에 더 중대한 영 향을 미침을 의미한다. 따라서 나노구조물의 설계에 있 어서 펄스하중 또는 초단시간의 충격하중이 예상되는 경 우는 하중의 주파수와 고유진동수 및 진동모드에 따라 동적 응답 해석이 필요할 수 있을 것으로 판단된다.
하중이 일축방향 압축으로 가해지는 경우는 나노와이 어 모델 A의 기저 고유진동수가 892.0 MHz로 매우 높 은 상황이므로 고려 대상인 하중조건 중 주파수가 가장 높은 경우, 즉 충격하중이 0.1 μs의 짧은 시간 동안 상 승하는 경우여도 이 주파수가 고유진동수의 1/90 수준으 로 크게 낮아 모든 경우에 있어서 정적 거동과 동일한 변형 거동을 보일 것으로 예상된다. 실제로 Fig. 4(e)-(h) 에서 보는 바와 같이 유한요소 해석의 결과로 제시되는 변형‒시간 거동은 하중의 시간에 따른 변화를 그대로 따 라가고 있음을 볼 수 있다. 다만 사각형 펄스 하중이 1 MHz의 주파수로 가해지는 경우[Fig. 4(h)] 하중이 가해 지는 초기 시간에 약간의 구조진동이 예측되나 그 진폭 이 전체 변위 거동에 비하면 매우 작은 수준이고 즉시 감쇄하므로 전반적인 구조물의 거동에 이상진동에 의한 영향을 주지 않을 것으로 예상된다.
Fig. 4에 보인 변위–시간 관계는 나노와이어 끝단의 중 심절점의 변위만을 기록한 것으로 동하중 작용 하에서 나노와이어 모델들의 거동이 준정적임을 입증하기 위해 서는 나노와이어 전체의 변형거동 형상이 정적 해석 결 과와 일치하는지 확인할 필요가 있다. Fig. 5의 (a)에서 (h)는 하중값이 최대치에 도달한 시점에서 나노와이어 전 체의 변형형상으로서 각각이 Fig. 4의 (a)에서 (h)의 변 위–시간 관계에 대응한다. Fig. 5의 변형형상을 보면 하 중 주파수와 무관하게 나노와이어의 변형형상이 동일하 며 변형량의 등고선도와 함께 비교 시 나노와이어 각 부 위에서의 변위값 또한 거의 같음을 알 수 있다. Fig. 5 를 Fig. 3과 비교하면 이번 연구에서 고려한 동적하중 의 주파수 범위 내에서는 나노와이어의 동적 변형과 정 적 변형이 거의 일치함을 알 수 있다.

Fig. 5
Deformation of nanowires under static loads corresponding to the time-displacement relations shown in Figs. 4(a) through (h).
3.3 전기신호에 의한 가진(Excitation) 특성
산화아연 나노와이어의 공진기 또는 구동기 적용 가능 성을 파학하기 위하여 나노와이어 양 끝단에 전압을 펄 스신호 형태로 인가하는 경우의 거동 특성을 분석하였 다. 전기신호는 전압을 0.1 μs 동안 0에서 최대치(2.0 V) 로 상승시키고, 1 μs 동안 유지한 뒤 다시 0.1 μs 동안 0으로 복귀하는 순서로 모델에 적용하였다. 이러한 전기 신호 파형은 주파수 상승/복귀시간 기준으로 10 MHz의 동적 하중에 해당한다. 먼저 나노와이어 양단간 전위차 2.0 V를 유지하는 동안은 나노와이어에는 길이 방향으로 3.22 × 10−5의 변형률이 발생하며[Fig. 6(a)] 이 변형은 전 압이 유지되는 동안 변화가 없었다. 이러한 결과는 나 노와이어에 접압을 인가하고 이를 유지함으로써 나노와 이어에 특정한 크기의 변형을 정적 상태로 유발할 수 있 음을 의미하여 산화아연 나노와이어가 구동기로 응용될 가능성이 있음을 의미한다.

Fig. 6
Deformation of the Model A ZnO nanowire after applying the electric potential: (a) under the application of electric potential, (b) deformation after the lapse of 0.01 μs following the release of the electric load, (c) deformation after the lapse of 0.05 μs from (b), and (d) deformation after the lapse of 0.05 μs from (c).
한편 인가된 전압이 0으로 복귀된 이후 나노와이어에 는 특이한 진동변형이 발생하는 것으로 예측되었다. Fig. 6(b)는 전압 복귀 직후의 상황으로 나노와이어 중심부가 가늘어지고 양 끝단이 폭 방향으로 팽창하는 형태의 변 형이 예측되었다. 이후 0.05 μs의 시간이 경과하면 나노 와이어의 중심부가 폭 방향으로 팽창하고 양 끝단 쪽이 폭 방향으로 수축하는 형태로 변형이 반전될 것으로 예 측되며[Fig. 6(c)] 추가로 시간이 0.05 μs 경과하면 전압 복귀 직후의 변형 형상이 재현되는 것으로 예측되었다 [Fig. 6(d)]. 이후 시간의 경과에 따라 동일한 진동양상 이 해석에서 고려한 시간 범위 100 μs 내에서 지속되는 것으로 예측되었다(결과는 별도로 보이지 않음). 이러한 변형의 시간변화 양상은 진동주파수 10 MHz에 해당한 다. 다른 조건을 고정하고 복귀시간을 2배로 증가한 경 우는 Fig. 7(a)에서 7(c)에서 보는 것처럼 한 주기의 진 동이 0.2 μs의 시간 범위에서 반복되는 것으로 예측되는 데 이는 진동주파수 5 MHz에 해당하는 것이다. 전압 제 거 후 나노와이어의 진동이 복귀시간에 따라 그 주파수 가 바뀌는 것은 나노와이어의 진동을 전압신호에 동기 화 시킬 수 있음을 의미한다.
3.4 소자설계 방안
모드해석의 결과를 바탕으로 다음과 같은 동적 압전소 자를 설계하는 방안이 제안된다. 외팔보는 굽힘 상태에 서 고정된 바닥면 인근을 제외한 대부분의 부위에서 응 력값이 그리 크지 않거나 0에 근접하므로 압전 기전력 발생 효율이 높지 않고 단면의 대각선 방향으로 최대 전 위와 최소 전위가 함께 존재하므로 나노 패터닝으로 나 노와이어를 합성할 위치에 양극과 음극을 분리하여 부 착할 수 있다면 기전력 추출이 가능할 것이다. 한편 비 틀림 진동의 경우 기전력 발생부위가 중앙 표면부위에 집중하므로 실용적 관점에서 이러한 형태의 기전력은 추 출하기가 곤란할 것으로 예상된다. 길이방향으로 인장/압 축되는 형태의 진동모드의 경우는 길이 방향으로 압전 전위가 일정한 구배를 가지고 와이어 전 영역게 걸쳐 균 등하게 분포하는 것으로 예측되므로 나노와이어 양 끝 단에 전극이 설치된다면 기전력을 용이하게 활용할 수 있을 것이다. 그러므로 실용적인 MEMS 소자나 센서 등 에서 가급적 진동모드가 길이 방향 인장/압축으로 나타 나는 형태로 나노와이어를 배치하거나 차선책으로 굽힘 모드를 활용할 수 있도록 하여야 전력을 얻거나 동적 센 서로 활용이 가능할 것으로 예상된다.
나노와이어 특유의 높은 고유진동수는 구조물의 진동 안정성 측면에서는 나노와이어 구조물이 미소 기전 시 스템의 부품으로 사용되어도 운용 중 공진을 일으킬 가 능성이 높지 않음을 의미한다. 예를 들어 표면분석에 사 용하는 원자력현미경(AFM, atomic force microscope)의 외팔보(cantilever)는 통상 수백 kHz 정도의 고유진동수 를 가지고 있으며 비접촉 모드에서 가진 주파수가 수십 kHz대에 불과하므로23) 나노와이어가 AFM의 탐침으로 사 용되어도 측정 결과에 영향을 미치는 공진을 일으키지 않을 수 있다. 다른 한편으로는 나노와이어의 압전성질 을 이용하여 전기신호를 인가하여 나노와이어를 작동기 (actuator)로 사용하더라도 전기신호의 주파수가 크게 높 지 않다면 공진 없이 나노와이어의 기계적 변형이 전기 신호에 동기화 될 수 있음을 의미한다. 이와 같은 추론 은 통상적인 동적 거동 범위 내에서 나노와이어는 실질 적으로 공진 없이 준정적(quasi-static) 거동을 보임을 의 미하여 산화아연의 나노와이어를 부재로 사용하는 나노 또는 미소 기전 시스템 설계에 있어서 정적 해석만으로 도 충분히 정확한 계산이 가능함을 의미한다. 실제로 과 도응답해석 결과 고유진동수가 상대적으로 매우 높은 길 이 방향으로의 인장/압축 형태의 진동모드를 기준으로 한 미소기전시스템의 설계에 있어서는 적어도 하중의 주파 수가 200 MHz 이하라면 구조물의 동적 거동에서 구조 진동의 영향이 배제되어 가해진 하중에 의한 변형이 형 상과 세기가 모두 동일한 크기의 정하중을 가한 경우와 일치할 것이므로 정하중에 의한 구조거동만 고려하여도 충분할 것으로 판단된다. 한편 나노와이어에 전압을 인 가한 후 복귀하는 형태의 신호가 입력을 작용할 때 전 압이 0이 된 이후에도 나노와이어는 특정한 형상의 진 동을 하며 그 주파수는 복귀시간과 연동될 것으로 예측 되었으며 이러한 진동거동은 산화아연 나노와이어가 공 진기 또는 전기 진동자로도 응용될 수 있음을 의미한다. 다만 나노와이어의 형상 특성상 길이 방향으로 양 끝단 에만 전압 인가가 되는 이외의 다른 배치설계는 곤란하 므로 활용할 수 있는 진동모드는 제한적일 것으로 예상 된다.
4. 결 론
실험적으로 합성이 가능한 산화아연 나노와이어 모델 들에 대한 모드해석 결과 이들 1차원 나노구조가 폭 방 향으로 굽힘, 길이 방향으로 인장/압축, 중심축을 기준으 로 한 비틀림의 형태로 진동할 수 있으며 각 진동모드 별 기저 고유진동수가 거시적인 구조물 대비 매우 높은 수 MHz – 수 GHz 대역에 이르는 것으로 예측되었다. 나노와이어에 대한 과도응답해석 결과 나노와이어에 공 진주파수보다 크게 낮은 가진 주파수로 동적 하중이 작 용하는 경우 나노와이어의 시간–변형 거동은 준정적임이 확인되었다. 따라서 산화아연 나노와이어의 압전특성을 이 용하여 구조물의 진동으로부터 전력을 추출하거나 구조 물의 변형을 감지하는 소자는 그 거동이 구조물의 거동 을 준정적으로 따르게 되므로 공진 등 이상 구조거동에 대한 우려 없이 구조물의 일부로 다양하게 활용될 수 있 고 소자 설계에서도 전산자원을 많이 소모하는 동적 해 석까지는 필요가 없을 것으로 예상된다. 나노와이어에 동 적 전기신호를 인가하는 경우 나노와이어에 전압이 인 가되는 동안 그 변형이 진동 없이 안정적으로 유지되는 것으로 예측되어 나노와이어의 구동기 응용 가능성을 확 인하였다. 다만 별도의 감쇄기구가 없다면 인가전압이 0 으로 복귀하는 경우 나노와이어가 일정한 주파수로 특 정 모드로 진동할 것으로 예상되었는데 이 특성을 활용 한다면 압전체 나노와이어가 공진기가 진동자로도 응용 될 가능성이 있을 것으로 제안된다.








