1.서 론
Cu2ZnSn(Sx,Se1-x)4(CZTSSe) 박막은 풍부한 매장량과 환경 친화적 원소들로 구성 되어있고 직접 천이형 밴드 갭과 가시광선에서 높은 흡수계수 ≥104 cm−1로 기존의 Cu(In,Ga)Se2(CIGS)와 CdTe 흡수층 기반의 태양전지를 대체할 만한 잠재력을 가진 물질로서 각광받고 있다.1,2) Shockley Queisser photon balanced calculations에 의 하면, 이론적으로 CZTS 기반 박막 태양전지(thin film solar cells)는 최대 32.2 %의 변환효율(power conversion efficiency)을 가질 수 있는 것으로 알려져 있으며, 현재 CZTSSe 기반 박막 태양전지의 최고 효율은 12.6 %로 서 IBM 그룹에서 hydrazine을 이용한 용액법으로 제조 하였다.3)
박막 증착 방법으로는 동시증발법,4) 스퍼터링법,5) electroplating,6) 나노입자를 이용한 합성7) 등의 방법들이 사용되고 있다. 이 중에서 스퍼터링 방법은 막 두께의 균일성이 좋고 대면적 증착이 용이하다는 장점을 가지 고 있기 때문에 스퍼터링법을 이용한 박막 제조에 대한 연구가 많이 이루어 지고 있다. 스퍼터링 공정방법의 기 본 과정은 금속 전구체를 스퍼터링을 이용하여 증착한 후, S 및 Se 분위기 안에서 열처리 공정을 진행하여 CZTSSe 상을 형성하는 것이다. 강진규와 공동연구자들 의 연구에 따르면 CZTSSe 상이 형성될 수 있는 영역 은 매우 좁은 것으로 알려져 있으며, 이러한 이유로 CZTSe 박막내에 ZnSe과 같은 이차상이 발견되는 문제 점을 가지고 있다.8) 또한 스퍼터링 공정방법으로 CZTSSe 박막을 제조할 경우, Mo와 CZTSSe 계면 사이에 큰 void들이 자주 발생하여 변환효율을 높이기 위해 넘어야 할 장애물로 여겨지고 있다.9)
CZTSe 박막의 특성이나 결정성 등에 가장 큰 영향을 미치는 것은 열처리 공정방법이다. 열처리 공정을 진행 하는 데에 중요한 요인으로는 열처리 온도, 시간, 공정 압력 등이 있는데, 이중에서 공정 압력이 박막의 특성 에 큰 영향을 미치고 있다는 사실이 밝혀졌다.10) Salome 과 공동연구자들의 연구에 따르면, 공정압력이 진공 상 태일 경우 열처리 시 Zn와 Sn은 증발하여 손실이 발생 하는 것을 확인하였으며, 이를 방지하기 위해서는 열처 리 시 Ar 가스 주입을 통해 CZTSSe 박막이 형성될 때 Zn와 Sn의 손실을 막아야한다고 하였다.11)
이와 같이, 760 Torr 이하의 열처리 공정 압력이 CZTSSe 박막 형성에 미치는 영향에 대한 연구는 많이 이루어져 왔으나,10-12) 대기압 이상의 압력이 박막 형성에 미치는 영향에 대한 연구는 저압에 관한 연구에 비하면 미비한 실정이다. 그리하여 본 연구는 대기압 이상의 압력이 CZTSSe 박막 형성에 미치는 영향을 알아보고자, 열처리 공정 시작 압력을 600~800 Torr로 변화시켜 공정압력이 CZTSSe 박막 형성에 미치는 영향에 대해 전기적, 구조 적 특성들을 조사하였다.
2. 실험 방법
Mo 박막이 ~1 μm 두께로 코팅된 soda lime glass 위 에 금속 박막을 Zn, Sn, Cu의 순서로 스퍼터링 공정방 법으로 증착하여 전구체를 준비하였다. 각각의 금속 박 막들은 8 m Torr의 공정압력, 30W의 DC 파워의 조건 에서 증착하였다. 준비된 전구체는 기존 연구성과를 토 대로 Ar 분위기로만 이루어진 노에 넣어 300 ºC에서 한 시간 동안 가열하는 pre-heating 과정을 거쳤다. 이 후 pre-heating 된 전구체는 high pressure rapid thermal annealing(HPRTA) 장비를 이용하여 열처리 공정을 진행 하였다. HPRTA 장비는 800 Torr 이상의 고압을 견딜 수 있도록 고안된 장비로서, 원하는 온도와 압력으로 이루 어진 main chamber 내부에 전구체가 담긴 graphite 상 자를 넣고 내부 기체의 유입 및 유출을 차단한 후 원 하는 시간만큼 열처리를 진행하는 장비이다. 이 장비를 이용하여 main chamber의 초기 압력을 600 Torr, 700 Torr, 800 Torr로 변화를 주어 CZTSSe 상을 형성하는 데 에 높은 공정 압력이 어떠한 영향을 미치는 지에 대해 연구를 진행하였고, 각각의 샘플 이름은 C1, C2, C3로 하였다. Main chamber 안에 들어갈 graphite 상자에는 pre-heating된 전구체를 S와 Se이 1:100 (wt%)으로 혼 합된 분말을 함께 넣었으며, 520 ºC로 가열된 main chamber 내부에 머무는 공정 시간은 7분 30초로 하였 다. 이 후 상온으로 유지된 load lock chamber로 꺼내어 자연 냉각하였다. 제조한 CZTSSe 박막은 KCN 용액에 2분간 담근 후 chemical bath deposition(CBD) 방법을 이용하여 CdS의 버퍼층을 증착하였다. CBD 공정은 DI water에 0.0031M CdSO4, 19M ammonia, 0.2M thiourea를 혼합한 후 샘플을 담그고, 60 ºC의 온도에서 14분 30초간 증착하였다. 이후 i-ZnO 및 Al-doped ZnO (AZO) 층을 각각 상온 및 270 ºC에서 RF sputtering을 이용하여 증착하였다. 마지막으로 상부 전극으로 쓰일 알 루미늄을 일부 표면에 증착하여 SLG/Mo/CZTSSe/i-ZnO/ AZO/Al 구조의 CZTSSe 기반 박막 태양전지를 완성하 였다.
제조된 CZTSSe 박막의 구조적 특성을 분석하기 위해 X-선 회절기(XRD, X’pert PRO, Philips, Nehterlands)를 이용하였고, 박막 내 이차상의 형성 여부를 알아보기 위 해 한국 기초과학 연구소(KBSI, Gwangju)의 레이저 라 만 분광기(Raman, 1403, Spex, USA)로 532 nm laser를 이용하여 분석하였다. 표면과 단면의 형상 확인 및 결 정의 크기를 확인하기 위하여 전계방출 주사전자현미경 (FE-SEM, S4800, Hitachi, Japan)을 통해 분석하였으며 박막의 원소 분포 확인은 SEM-EDS를 이용하였다. 완성 된 태양전지의 J-V특성을 분석하기 위하여 solar simulator (WXS-155S-L2, Wacon, Japan)를 이용하였다.
3. 결과 및 고찰
각기 다른 압력에서 형성된 CZTSSe 박막들의 결정성 을 비교하기 위하여 X-선 회절 분석을 진행하였고 초기 공정 압력이 높아질 수록 동일한 열처리 공정조건을 거 쳤을 때, 결정성이 좋아진다는 것을 확인할 수 있었다. Fig. 1에서 보여지는 바와 같이, C1, C2, C3 모든 샘플 에서 CZTSSe의 주요 회절 패턴인 (112), (204/220), (312), (008/400)의 회절 피크가 관측되었다. 특히 kesterite 구조 중 (103) plan을 나타내는 회절 피크(~28.45 deg.) 의 경우, C1에서는 보이지 않으나 C2와 C3에서 관측되 며, (211) plan을 나타내는 ~36.42 deg. 근처의 회절 피 크의 경우 C1, C2에서는 확인되지 않다가 C3에서 보여 지는 것을 확인할 수 있다. 이는 C1에서 C3로 갈수록 kesterite 결정구조가 잘 나타나는 것을 의미한다. 따라서 공정압력이 600 Torr에서 800 Torr로 증가할수록 CZTSSe 박막의 결정성이 좋아진다고 할 수 있다.

Fig. 1
XRD pattern of CZTSSe thin films with different process pressure 600 Torr (C1), 700 Torr (C2), 800 Torr (C3).
Fig. 2는 Fig. 1의 X-선 회절 피크 중 CZTSSe의 주 픽 인 (112) plan을 나타내는 픽의 Full width half maximum (FWHM)을 구하여 그래프로 나타낸 그림으로, C1에서 C3로 갈수록 FWHM 값이 줄어들면서 CZTSSe 박막의 결정성이 좋아진다는 것을 확인해 주고 있다. 이 결과 는 상기 Fig. 1에서 CZTSSe 결정의 미세 회절 피크도 관측된다는 점에서, 공정압력이 증가할수록 결정성이 좋 아진다는 것을 다시 한번 확인해 주고 있다.

Fig. 2
Full width half maximum (FWHM) of (112) peak of CZTSSe thin films with different process pressure 600 Torr (C1), 700 Torr (C2), 800 Torr (C3).
Fig. 3은 각 샘플의 CZTSSe 박막을 라만분광분석을 한 결과로, XRD 분석으로는 확인할 수 없는 이차상의 존재를 확인하기 위하여 측정을 진행하였다. 여기에서 보 여지는 바와 같이 C1, C2, C3 샘플의 CZTSSe 박막의 라만 분광 분석 결과, CZTSe 이외에 ZnSe의 이차상이 조금씩 존재한다는 것을 확인할 수 있었다. ZnSe의 라 만 피크의 위치는 ~250 cm−1로, C1, C2, C3의 샘플 모 두에서 일정량의 강도를 관측할 수 있었다. CZTSe 결 정을 의미하는 라만 피크의 위치는 ~171, 191, 231 cm−1 로, Fig. 2에서 보여지는 거의 모든 피크와 일치함을 알 수 있다. 즉, 열처리 공정 압력에 관계없이, 모든 샘플 에 소량의 ZnS(e) 이차상이 존재한다는 것을 의미한다. 또한 CZTSSe 흡수층 형성 과정에서 생길 수 있는 이 차상으로 Cu2SnS(e)3가 있다. Cu2SnS(e)3의 라만 피크 위치는 ~180, 236, 251 cm−1로 모든 샘플에서 관측되지 않았다. 따라서 모든 샘플에서 Cu2SnS(e)3 이차상이 존 재하지 않는다고 할 수 있다.

Fig. 3
Raman spectra of CZTSSe thin films with different process pressure 600 Torr (C1), 700 Torr (C2), 800 Torr (C3).
Fig. 4은 CZTSSe 박막의 표면을 FE-SEM으로 측정한 사진으로, 공정압력이 600 Torr(C1)에서 800 Torr(C3)로 증가함에 따라 미세구조가 치밀해짐을 알 수 있다. 600 Torr(C1)의 이미지를 보면 결정립이 날카로운 모양이고, 700 Torr(C2), 800 Torr(C3)로 갈수록 결정립이 약간 동 그랗게 되고 치밀 해져 가는 것을 확인할 수 있다.

Fig. 4
Surface FE-SEM image of CZTSSe thin film with different process pressure 600 Torr (C1), 700 Torr (C2), 800 Torr (C3)
Fig. 5은 CZTSSe 박막의 FE-SEM 단면 이미지와 Cu/(Zn+Sn)와 Zn/Sn의 비율이 박막의 깊이에 따라 어떻 게 변화하는지를 나타내는 그림이다. 열처리 과정 시 각 기 다른 공정압력이 CZTSSe 박막 내의 원소 분포도에 도 영향을 주었는지 확인하기 위하여 CZTSSe 박막의 단 면을 각 층마다 확대하여 EDS를 측정하였다. 각 박막 은 상층부(S1), 중층부(S2), 하층부(S3)로 나누어 조성을 조사하였는데, 그 결과 Fig. 5의 (d), (e), (f)를 비교해보 면 C1, C2, C3 박막은 모두 Cu-poor Zn-rich의 조성 비율을 갖는 것을 알 수 있다. 특히 박막의 깊이에 따 른 Cu/(Zn+Sn)의 비율을 확인해 보면 모두 상층부(S1) 에서 가장 높은 값을 갖는 것을 확인할 수 있다. Cu 원 소는 CZTSSe 박막이 형성될 때 주로 상층부로 확산되 는 경향을 보이는데,13) 이러한 경향은 공정압력에 관계 없이 나타났다. 이와는 반대로 Zn/Sn 비율의 경우, C1 에서 C3로 갈수록 그 비율이 전체적으로 증가함을 알 수 있다. 특히 C2의 경우, CZTSSe 박막의 상층부에서 하층부로 갈수록 Zn/Sn의 비율이 점차적으로 증가함을 확 인할 수 있으며, C3도 마찬가지로 박막의 하층부에 Zn/ Sn의 비율이 가장 높음을 확인할 수 있다. C1에서 C3 로 갈수록, 열처리 공정 압력이 증가한 다는 것과, 전 구체의 금속 증착 순서가 Mo/Zn/Sn/Cu 임을 상기했을 때, 이 결과는 공정 압력이 증가할수록 Zn가 CZTSSe 박막 내부, 특히 하층부에 머물러 있다는 것을 알려준 다. 즉, 초기압력을 C2, C3보다 낮은 압력인 600 Torr로 맞춘 C1의 경우, 전구체 내부의 Zn가 일정부분 증발하 면서 Zn/Sn의 비율이 C2, C3에 비해 낮은 값을 갖게 된 것을 의미한다. 또한 C3의 경우는 800 Torr라는 대 기압 이상의 공정 압력 조건에 의해 Zn의 증발현상을 막 을 수 있었고, 상대적으로 높은 Zn/Sn 비율을 나타냈다.

Fig. 5
Cross section images measured by FE-SEM on CZTSSe layers of 600 Torr (a), 700 Torr (b), 800 Torr (c), respectively. With the EDS results at the probed positions indicated in (a, b, c), we calculated Cu/(Zn+Sn), Zn/Sn ratios at the probing point respectively 600 Torr (d), 700 Torr (e), 800 Torr (f).
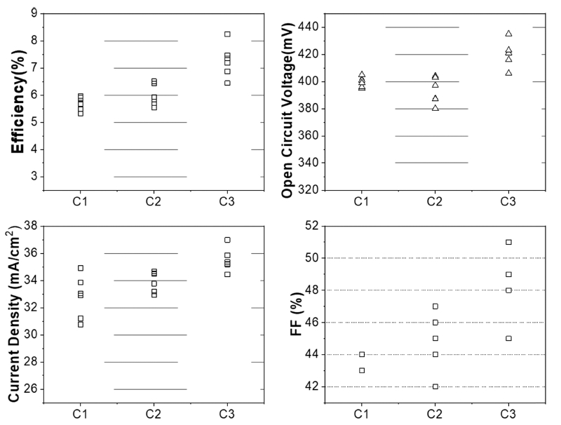
Fig. 6는 각각의 공정압력 조건 600 Torr(C1), 700 Torr (C2), 800 Torr(C3) 에서 열처리한 CZTSSe 박막을 흡수 층으로 적용하여 제조한 태양전지 소자의 J-V 특성평가 결과이다. 800 Torr 공정압력 조건에서 가장 높은 Voc 435 mV, Jsc 37 mA/cm2 값을 보였고, 8.24 %의 변환 효 율을 나타냈다. 특히 FF 값에서 가장 큰 향상을 보였는 데 이는 Mo/CZTSSe 계면에서 Zn의 손실을 막아 치밀 한 구조의 흡수층을 형성시켜 빛에 의해 생성된 전류의 손실을 방지한 것으로 볼 수 있다.11)

Fig. 6
The values of solar cell devices parameters which applied CZTSSe thin film with different process pressure 600 Torr (C1), 700 Torr (C2), 800 Torr (C3).
Fig. 7은 C1, C2, C3 샘플을 각각 0.3 cm2의 면적으 로 scribing한 셀 중에서 가장 높은 효율을 보이는 셀의 J-V 곡선이다. 공정압력이 증가할수록 Voc와 FF가 증가 하면서 효율이 증가하는 경향을 보이고, 800 Torr(C3)의 공정압력에서 8.25 %라는 가장 높은 효율을 보였다.

Fig. 7
J-V curves corresponding to the best solar cell devices using CZTSSe thin films with different process pressure 600 Torr (C1), 700 Torr (C2), 800 Torr (C3).
지금까지 열처리 공정 압력에 따라 형성된 CZTSSe 박막의 미세구조 및 조성의 변화와 이를 통해 제조된 CZTSSe 태양전지 소자의 전기적 특성을 논의하였다. 그 결과 600 Torr에서 800 Torr로 압력이 증가하면서 박막 내 Zn의 증발 현상을 막아 Zn/Sn의 비율을 증가시켰고, 이와 더불어 CZTSSe 박막의 결정성이 증가한다는 것을 알 수 있었다. 또한 공정 압력과는 상관없이 Cu 원소 가 CZTSSe 박막의 상층부에 밀집되어 있는 것을 알 수 있었다. 이는, 대기압 이상의 높은 공정 압력은 CZTSSe 박막 내 Cu의 분포도에 영향을 주지 않으나, Zn의 분 포도에 영향을 줄 수 있다는 사실이며, 증발되지 않은 Zn 덕분에 CZTSSe 박막의 결정성이 향상되었다고 할 수 있다. 또한 결정성이 좋아짐으로 인해 Voc와 FF가 증가 하는 것을 확인할 수 있었고 그로 인해 효율이 증가한 다는 사실을 알 수 있었다.
4.결 론
급속 열처리 장비를 이용하여 초기 공정압력 800 Torr 에서 열처리를 진행할 시 Cu2ZnSnS(e)4 합성과정에서 발 생할 수 있는 Zn의 손실을 방지함으로써 Mo/CZTSSe 계면에서 발생하는 void 형성을 막을 수 있었다. 이로 인 해 흡수층 박막의 미세구조가 치밀해지는 것을 FE-SEM 이미지를 통해 확인할 수 있었고, XRD 분석을 통해 Cu2ZnSnS(e)4 회절 피크의 full width half maximum (FWHM) 값을 비교한 결과 800 Torr의 초기 압력에서 결정성 또한 증가하였다. 이를 바탕으로 제작된 흡수층 을 이용하여 태양전지 소자를 제작한 결과, 초기 압력 800 Torr에서 열처리한 흡수층을 이용한 소자의 특성이 향 상되는 것을 확인하였다. 특히 FF의 증가가 두드러지게 나타났는데 이는 kesterite CZTSSe 박막의 결정성 향상 과 void가 없는 치밀한 구조의 흡수층 형성으로 인해 빛 에 의해 생성된 전류의 손실을 방지한 것으로 볼 수 있 다. 최종적으로 Voc, Jsc, FF의 향상을 통해 800 Torr 공 정압력 조건 하에서 8.24 %의 가장 높은 변환효율을 보 였다. 이러한 결과를 토대로 태양전지 제작 과정 중, 열 처리 공정에서 대기압 이상의 초기 공정 압력 조건에서 태양전지 소자 특성을 개선하는 것이 가능하다는 사실 을 확인하였다.


