1. 서 론
최근 적외선 감시 카메라, 차량용 야간 시현장치, 체 열진단기, 우주항공위성 등의 첨단 산업분야에서 적외선 광학계의 적용과 응용은 점차 확대되고 있으며, 이와 더 불어 적외선 광학계에 대한 성능 및 생산성 증대, 비용 절감이 요구되고 있다. 이러한 적외선 광학계는 적외선 광 학계, 적외선 검지기, 신호처리 및 표시부로 구성되며, 적 외선 검지기, 신호처리 등의 연구는 응용성 및 실용성 을 바탕으로 빠르게 발전하였지만, 적외선 광학계의 핵 심부품인 적외선 광학렌즈의 원천이 되는 소재에 대한 고유특성을 이해하려는 체계적인 연구는 상대적으로 저 조하다. 국내에서도 적외선 영상센서(CCD, CMOS)와 같 은 야간감시용 혹은 적외선 광학장비 개발에 대한 관심 이 급속도로 증가하고 있는데, 이러한 광학장비 개발기 술의 핵심은 렌즈설계 능력에 달려있다고 해도 과언이 아니다. 더욱이 현재 발전추세를 보면 소형 경량화 장 비의 개발을 위해 다양한 수단과 방법을 동원하고 있는 실정이다. 특히 렌즈설계에 의한 소형 경량화 목표를 달 성하기 위하여 비구면 렌즈 및 회절렌즈의 사용이 불가 피하다고 할 수 있다.1)
성형이 용이하고 내약품성, 내열성이 좋은 유리의 특 징을 희생하지 않고 유리의 단점을 보충하는 것으로 고 유리의 단점을 보충하는 것으로 기대되는 것이 결정화 유리이나 반드시 유리의 성능을 높이는데 그치지 않고 종래의 유리에선 보지 못했던 새로운 성질을 결정화유 리 중에 구비시키는 방향의 연구도 각 방면에서 연구되 고 있다.2,3) 적외투과용 칼코게나이드 유리는 현재 가장 광범위하게 사용되는 광학재료중의 하나로 특히 IR 투과 용 재료로 잘 알려져 있다. 최근에 칼코게나이드 유리는 온도 감시와 열상 이미지 그리고 CO 및 CO2 laser의 power delivery로 사용되어 큰 주목을 받고 있는데, 뛰 어난 화학적 내구성을 가진 반면, 열적·기계적 성질은 상당히 약한 것으로 보고되고 있다. 그러나 칼코게나이 드 유리가 제어된 결정화에 의한 열처리 공정을 거쳐 작 은 크기를 가진 결정화유리로 전환된다면 적은 광투과 율에 최소한의 영향을 미치면서 열적·기계적 성질을 향 상시킬 수 있게 될 것이다.4-8) 본 연구에서는 성형하고 자 하는 적외선 렌즈 소재인 칼코게나이드 유리 소재의 정량적 화학분석, 구조적 분석, 열분석 및 광학적 특성 분석을 통한 열적 특성에 대한 조사와 비정질 상전이 과 정에 대한 열역학적 특성을 평가하여, 양질의 비구면 렌 즈의 설계 및 생산에 대한 기초기반 기술 확보를 목표 로 하였다. Fig. 1에 비구면렌즈와 일반렌즈를 비교하여 나타내었다. 비구면렌즈의 장점은 색상왜곡과 구면 수차 를 보정하여 고화질의 이미지를 촬영할 수 있다는 점이 며, 비구면렌즈는 일반 구면렌즈와 다르게 렌즈가 비구 면으로 된 렌즈를 말한다.
2. 실험 방법
본 연구에서 사용한 칼코게나이드 유리 소재는 Optocrystal Co. Ltd사의 KG-1 소재를 잉곳(ingot) 형태로 구 입을 하였다. 이 소재를 다양한 형태로 자른 다음 여러 가지 분석장치를 이용하여 화학적 결합상태, 물리적 특 성 소재의 조성 및 정량비 분석을 통한 성형용 비구면 광학계를 설계제작하기 위해 분석 실험을 하였다. 본 연 구에서는 칼코게나이드 유리 소재를 이용하여 기초물성 을 분석한 다음 이를 DB화 하여 적외선 광학렌즈를 설 계하고자 하였다. 따라서 그 기초 물성분석과 시료의 미 세영역 및 결정구조, 화학적 결합상태, 조성 및 정량비 를 분석하고 광학적 특성분석, 성형용 코어소재 특성분 석을 하였다. 렌즈제작 및 설계를 위해서는 조성분석이 중요한 부분으로 작용하기 때문이다.
출발원료인 칼코게나이드계 모유리의 주성분과 미량원 소의 무기물 분석을 지금까지 무기원소를 분석하는 가 장 강력한 방법인 ICP-AES(Inductively Coupled Plasma- Atomic Emission Spectroscopy)를 이용하여 분석을 하였 고, 성분분석 장치인 EPMA 분석(Electron Probe X-ray MicroAnalysis), SEM(Scanning electron microscope) 분 석을 통하여 소재의 기초물성을 분석하였다. 또한, 열처 리 과정을 통하여 결정화된 시편의 구조적 특성을 XRD (X-ray Diffraction)를 이용하여 분석하였다. 이러한 결과 를 토대로 하여 안정적인 적외선 비구면 광학렌즈 설계 를 하여 안정적인 생산시스템 개발을 위한 기반기술을 확립하고자 하였다. Fig. 2에는 잉곳 형태로 구입한 칼 코게나이드 글래스 소재를 나타내고 있다. 그림에서 보 는 바와 같이 다양한 26Φ, 42Φ, 53Φ 크기의 봉 형태를 나타내고 있다. Fig. 3에서는 여러 가지 다양한 크기를 가진 렌즈 형태의 칼코게나이드 유리를 나타내고 있다.
Fig. 4에 본 연구에서 투과율과 굴절율 측정을 위한 실 험장치의 사진을 나타내었다.
Table 1은 본 연구에서 사용한 칼코게나이드 글라스 소 재인 KG-1의 기본적인 물성인 기계적 특성, 열적 특성, 광학적 특성을 나타내고 있다.
Table 1
Mechanical properties, Thermal properties, Optical properties of chalcogenide glass KG-1.
본 연구에서 KG-1 칼코게나이드 글라스 소재를 이용 하여 ICP-AES 분석을 하였는데, 이는 각각의 원소의 함 량을 분석하기 위하여 실시하였다. 분석 순서로는 우선 시료를 막자사발에 넣어 적당량으로 분쇄하여 ICP-AES 분석을 통하여 raw data를 확보하고 이를 100 % 보정 하여 정리한 결과를 나타내었다.
KG-1 Ge-Sb-Se 칼코게나이드 유리 소재의 고온 XRD 를 분석을 하였다. 고온 XRD는 Cu target과 Ni 필터를 사용하여 단색 Cu Kα선 (λ = 1.5405 Å)연속 주사 방법 을 사용했다. 2θ는 10°~70°의 범위에서 2°/min의 주사속 도로 주사했고, X-ray power는 40 KV, 40 mA로 사용하 였다. 고온 열처리는 280, 300, 320, 340, 360 °C 까지 5단계에 걸쳐 1 °C/sec 씩 승온하여 각각 20 °C 간격으 로 올린 다음 30분 유지를 하고 XRD 분석을 하였다.
3. 결과 및 고찰
Fig. 5와 Fig. 6에는 KG-1 칼코게나이드 유리 소재인 Ge-Sb-Se계 소재의 기본적인 투과율과 반사율을 측정한 결과를 나타낸 것이다. Fig. 5에서 보는바와 같이 Ge 단 결정 소재보다 본 연구에서 사용한 KG-1 소재의 투과 율이 적외선 영역인 8~12 μm에서 약 70 % 정도로 더 우수한 투과율을 나타내고 있다. KG-1 Ge-Sb-Se 칼코 게나이드 유리 소재의 반사도 또한 적외선 영역의 2~15.1 μm 전 파장의 영역에서 거의 비슷한 반사율을 보였다. 이 때 유리 소재의 반사율은 파장 2.0 μm에서 2.6244, 15.0 μm 파장에서는 2.5652의 반사율을 나타내었다. 수 μm~ 수십 μm 파장영역에 걸쳐 반사율은 크게 차이가 없었 으며, 소수점 자리에서 아주 작은 차이를 보여 우수한 특징을 타나내는 것으로 보인다.
Fig. 7에는 본 연구에서 KG-1 칼코게나이드 글라스 소 재를 이용하여 ICP-AES 분석을 하였는데, 이는 각각의 원소의 함량을 분석하기 위하여 실시하였다. 여기서, 100% 보정의 결과는 3가지 물질의 함량을 100 %로 고려한 값 을 이용하여 계산한 수치이다. Fig. 7에서 보는바와 같 이 KG-1 칼코게나이드 유리 소재에는 전체의 함량을 100 %로 하였을 때 각각 소재의 함량은 Ge 17.72 %로 나타났고, Sb 22.48 %, Se 59.80 % 소재가 함유되어 있 는 결과를 보였다.

Fig. 7
Ge, Sb, Se elemental ICP-AES analysis results of KG-1 chalcogenide glass, (a) Ge, (b) Sb, (c) Se elemental of KG-1 chalcogenide glass.
Fig. 7의 ICP-AES 분석 결과를 정리하여 Fig. 8에 나 타내었다. 본 연구에서 사용한 Ge-Sb-Se계 칼코게나이드 글라스 소재는 결과적으로 전체 100 %를 가정하였을 경 우 Ge이 가장 낮은 함유량을 보였으며, Se이 가장 많 은 함유량을 가진 소재임을 확인하였다. 이는 칼코게나 이드계 비구면 글라스 렌즈 설계시, 그리고 적외선 렌 즈 제작시 필요한 여러 가지 비정질 물질의 상변화 정 도와 상변화 온도 조건 등의 정보를 알 수 있는 중요 한 결과라 할 수 있다.9-10)
그러므로 이들의 함량을 이용한 칼코게나이드 유리 소 재를 이용하여 광학계의 특성을 연구, 설계하는데 있어 서 아주 중요한 기초적인 결과라 할 수 있다. 이러한 결 과는 향후 적외선 광학계, 항공우주산업용 광학계 등의 사용 용도에 따라 적절하게 설계하여 이용하는 중요한 수단이 되며 우리나라 전반에 걸친 광학계에 많은 발전 을 가져올 것이라고 사료된다.
Fig. 9는 출발원료인 KG-1 Ge-Sb-Se 칼코게나이드 유 리 소재를 이용하여 벌크 샘플을 펠렛(pellet) 형태로 sawing 하여 in-situ 상태에서 고온 XRD를 분석한 결과 를 나타낸 것이다. Fig. 9에서 보는 바와 같이 초기 280 °C, 300 °C 열처리 한 후 XRD 분석을 타나낸 그래프 이다. 그림에서처럼 아직까지는 결정화가 되지 않고 비 정질 상태를 나타내고 있음을 알 수 있다. 하지만, Fig. 9의 320 °C, 340 °C, 360 °C에서 고온으로 승온하면서 측 정한 XRD 결과에서는 넓은 피크(peak)가 점점 없어지 면서 비정질 상에서 결정질 상으로 바뀌는 경향을 나타 내었다. 따라서 본 고온 XRD 분석은 칼코게나이드계 비 구면 유리 적외선 렌즈설계와 제작을 위해 필요한 열처 리 온도의 조건을 알아보기 위해 실시하였는데, Fig. 9 에서 보는 것처럼 KG-1 시료가 실온과 열처리온도 300 °C 전 까지는 비정질상(amorphous phase)으로 존재하다 가 이 온도를 넘게 되면 결정질상(crystal phase)으로 변 하는 것을 알 수 있다. 이는 금형코어를 이용한 비구면 적외선 렌즈를 제작하는데 있어서 적당한 압력과 열처 리 온도가 필요한데 이들 XRD 분석결과 KG-1 시료에 서는 금형코어 제작시 300 °C가 아주 적절한 열처리 온 도라 할 수 있다. 위 결과를 토대로 가장 최적의 칼코 게나이드 광학계 렌즈 제작시 열처리 온도는 360 °C가 최적의 온도 조건이라는 것을 알 수 있었다.
Fig. 10에는 KG-1 시료를 상온에서부터 온도를 올리 면서 XRD 측정결과 비정질상에서 결정질 상으로 상변 화가 일어나는 온도에서 각각의 샘플을 채취하여 SEM 관찰을 한 사진을 나타낸 것이다. Fig. 10에서 보는바와 같이 낮은 열처리에서 비정질 상을 가지는 시료(a)와 320 °C에서 열처리한 시료(b)의 분석사진을 비교하였을 때 특별하게 조직변화가 변하지 않는 것을 확인할 수 있 다. 단지 저온에서 보다는 상변화가 일어나는 320 °C에 서 조금 더 치밀하게 조직이 약간 변화가 일어나는 현 상을 볼 수 있을 뿐이다. 따라서 칼코게나이드 유리 시 료의 경우 As, Se, Ge의 함유량에 따라 조직상태가 거 의 변하지 않는 것을 알 수 있으며, 단지 금형코어에서 렌즈성형시 온도가 중요한 메커니즘으로 작용할 것으로 보이며, 칼코게나이드 유리 설계 및 제작시 중요한 인 자중의 하나라고 사료된다. 또한 Fig. 10(c,d)는 고온으 로 온도를 올리면서 상변화가 일어나는 340 °C, 360 °C 에서의 조직사진을 비교한 것이다.
그림에서 보는 것처럼 340 °C, 360 °C 결정이 일어나 는 분석사진은 마찬가지로 약간의 조직변화가 있음을 알 수 있다. 결과적으로 칼코게나이드계 글래스 시료는 모 두 비정질상에서 결정질 상으로 상변확가 일어나도 조 직의 변화는 거의 없음을 알 수 있었으며, 단지 XRD 패턴상으로만 비정질상에서 결정질 상으로 상전이가 일 어나는 상변화를 관찰할 수 있었다.
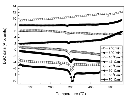
Fig. 11은 칼코게나이드 As40Se50Ge10 유리의 전형적인 DSC 그래프를 나타낸 것이다. 측정에 사용된 승온율은 2~70 °C/min이었다. 승온율 50 °C/min에서 온도가 증가함에 따라 유리전이와 결정화와 관련된 특이한 변칙(anomaly) 약 245 °C와 약 305 °C에서 측정되었다. 칼코게나이드 유 리의 활성화 에너지를 구하기 위하여 250 °C와 약 350 °C 구간에서 승온율의 변화에 따른 DSC 특성을 조사하 였다. Fig. 11은 칼코게나이드 Ge18Sb22Se60 유리의 승온 율의 변화에 따른 DSC의 그래프이다. 유리의 온도 변 화율에 대한 변칙 온도의 관계는 아래의 Ozawa 식11)을 따른다.

Fig. 11
DSC curves of Ge18Sb22Se60 glass depending on heating rates. The crystallization temperatures were change.
여기에서 B는 온도 변화율(°C/min)이고, T(°C)는 온도 이다. Fig. 12에서 나타난 Ge18Sb22Se60의 전형적인 DSC 결과에서 변칙의 최고값으로부터 T의 결과를 얻었다.
Fig. 13은 Ge18Sb22Se60의 DSC 결과로부터 얻은 온도 변화율에 대한 변칙 온도의 관계를 나타낸 것이다. 본 연구에서 유리전이 온도는 칼코게나이드를 성형하기 위 한 온도를 설정하는 척도가 되는 것으로 정확한 유리전 이 온도의 측정은 중요하다고 할 수 있다. 그래프의 기 울기(직선)는 결정화의 활성화에너지를 나타내고 있다. 본 DSC 측정 결과 칼코게나이드 유리소재 Ge18Sb22Se60의 활성화 에너지(ΔE)는 3.2 eV이었다.
4. 결 론
본 연구에서는 칼코게나이드계 비구면글래스 렌즈 제 작을 위해 기초설계과정 및 KG-1 Ge-Sb-Se 칼코게나이 드 유리 소재시료의 광학적, 구조적, 성분분석, 미세 표 면분석 특성을 논의하였고 분석결과는 다음과 같다. EDS 의 성분분석 결과에서는 Ge18Se22Se60 시료의 조성비의 값이 기준 값에 근접한 결과를 나타내었다. 또한 고온 XRD 실험에서 알 수 있듯이 비정질상에서 결정질 상으 로 변하는 열처리의 천이온도는 360 °C가 최적의 온도 조건이라는 것을 알 수 있었으며, 이 결과를 SEM 관찰 을 통해 확인하려고 하였으나 조직의 미세한 차이만 있 을 뿐 뚜렷한 변화는 없는 것으로 나타나 났으며 단지 XRD 패턴 변화로만 확인할 수 있었다. 따라서 본 연구 에서 성형하고자 하는 적외선렌즈 소재인 Ge18Se22Se60 칼코게나이드 유리 소재의 정량적 화학분석, 구조적 분 석, 광학적 특성 분석을 통한 양질의 비구면렌즈 설계, 생산에 대한 기초기반 기술을 확보할 수 있었고, 이를 바탕으로 Se를 기본으로 한 비정질 칼코게나이드 소재 중에서 광학적 특성이 안정되고 광소자로서 유용성이 있 는 Ge-Sb-Se계의 벌크소재를 이용한 렌즈제작을 수행하 였다. 그리고, 이 결과로부터 계산된 활성화 에너지(ΔE) 는 3.2 eV이었다.













