1. 서 론
반도체박막이 점점 얇아짐에 따라서 누설전류의 문제 가 심각해지고 있다. 낮은 영역에서 흐르는 누설전류와 신호전류사이의 구분이 모호해지면서 전자와 양자의 효 율을 개선시키기 위해서 전류에 대한 전도메카니즘과 관 련하여 많은 연구가 이루어지고 있다.1-4) 반도체소자의 전도메카니즘의 기본은 오믹접합과 쇼키접합이 있다. 반 도체의 전도는 불순물에 의한 전하들의 농도에 비례하 여 전도도가 증가하는 경향이 있으며, n형의 불순물을 이용하는 것이 반도체소자에 유리한 이유도 (–) 전하인 전자를 이용하는 것이 전도성 향상에 유리하기 때문이 다.5-7) 전통적으로 이동도향상을 보여주는 제너다이오드 혹은 에사키 다이오드도 마찬가지로 고농도 불순물도핑 효과에 의해서 고속스위칭특성을 이용하는 반도체소자이 다. 고농도도핑을 하면 공핍층은 줄어들고 전자의 터널 링 현상이 나타나지만 계면접합이 존재하나 전기적으로 는 오믹특성을 갖게 된다. 반도체 PN 접합은 비선형의 쇼키접합을 나타내는 것이 일반적이다. 그러나 부성저항 의 터널링현상은 오믹저항을 나타내며 고농도 도핑 물 질에 의한 다수케리어에 의하여 단방향성 전도메카니즘 을 형성하게 된다.8-12) 오믹저항의 특성상 고농도로 도핑 하게 되면 고속 스위칭이 가능하나 온도가 올라가면 소 자가 파괴되는 단점이 있다. ~nm 수준의 얇은 박막에 서는 고농도 도핑이 거의 불가능하다. 그래서 터널링 현 상을 구현하기는 쉽지 않다.
본 연구에서는 ZTO 박막의 열처리온도에 따라서 공 핍층이 다양하게 나타나며, 터널링현상이 나타나는 ZTO 박막의 특징에 대하여 살펴보았다.Table 1
2. 실험방법
케리어의 농도와 반도체계면 효과에 관하여 관찰하기 위해서 n형실리콘 기판 위에 플라즈마 파워 7 0W를 인 가하여 마그네트론 스퍼터링 방법으로 ZTO 박막을 증 착 하였다. 증착 후 열처리조건으로 박막의 물리적인 안 정성을 높이기 위해서 진공 중에서 50 ºC, 100 ºC, 150 ºC, 200 ºC로 열처리를 하였다. 박막의 두께는 50 nm~ 150 nm 이다. 직경이 250 μm인 전극을 만들기위해서 알 루미늄(Al)을 증착을 하고 전기적인 특성을 분석하였다. 홀측정기를 이용하여 저항과 케이어농도를 측정하여 전 기적인 특성에 미치는 상관성을 조사하였다. 반도체 계 면의 전기적인 특성으로부터 터널링현상이 발생하는 원 인에 대하여 조사하였다.
3. 결과 및 토론
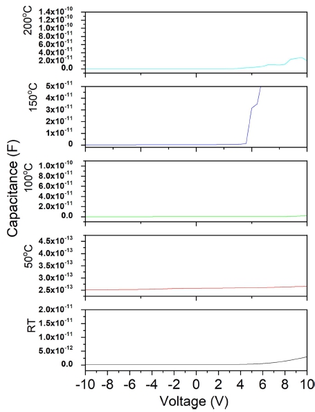
Fig. 1은 Ar 유량을 이용하여 증착한 뒤 열처리를 한 ZTO 박막의 커패시턴스값을 보여준다. 커패시턴스 값은 150 ºC에서 열처리한 박막에서 가장 증가하였으며, 다른 온도에서는 커패시턴스가 감소하였다.
Fig. 2는 열처리온도에 따라서 ZTO 박막에 대한 각각 의 커패시턴스를 보여준다. 열처리를 하면서 온도에 따 른 ZTO박막의 분극의 차이가 나타나며, 온도가 증가할 수록 분극은 크게 증가하였다. 100 ºC에서 열처리한 ZTO 박막에서 분극이 크다는 것을 알 수 있다.
Fig. 3은 커패시턴스가 가장 큰 150 ºC 열처리한 ZTO 박막의 커패시턴스를 보여준다. 0 V~5 V 사이에서 에서 커패시턴스는 급격히 증가하였다가 감소하였다. ZTO/n- Si계면에서 공핍층이 있으나 터널링이 일어나면서 전류 가 급격히 증가하였다.
순방향과 역방향전압에 따라서 커패기턴스의 값도 크 게 차이가 있으며, 분극이 크다는 것을 알 수 있다. 상 대적으로 200 ºC에서 열처리한 박막은 커패시턴스가 감 소하면서 150 ºC의 ZTO박막에서 전하량이 가장 크다는 것을 알 수 있다. 150 ºC의 ZTO박막에서 커패시스의 변 화가 매우 크게 나타나는 이유에 대하여 조사하기 위해 서 홀측정에 의해서 저항을 비교하였다.
Fig. 4는 홀측정에 의한 비저항을 나타낸다. 열처리한 ZTO 박막중에서 100 ºC 열처리한 ZTO 박막에서 비저항 이 가장 높았으며, 다음으로 150 ºC 박막이 비저항이 높 았다. 100 ºC와 150 ºC 박막만 비교하면 150 ºC ZTO박막 에서 비저항은 매우 작은 것을 알 수 있다. ZTO/Si의 계 면에서 발생하는 공핍층의 효과에 의해서 발생한 차이이다.

Fig. 4
Resistances of ZTO with various annealing temperatures by hall measurement, (a) 100 ºC, (b) room temperature, (c) 100 ºC and 50 ºC.
Fig. 5는 열처리온도에 따른 ZTO박막에 대한 전하농 도인데 100 ºC와 150 ºC 박막에서 낮은 값을 나타낸다. 100 ºC ZTO박막에서 가장 낮은 전하농도를 갖는다. Fig. 4와 같이 전하의 농도가 낮으면 저항이 증가한다는 것 을 알 수 있다.

Fig. 5
Carrier concentration of ZTO with various annealing temperatures, (a) 200 ºC, (b) 150 ºC and 50 ºC, (c) room temperature and 100 ºC.
Fig. 6은 열처리온도에 따른 ZTO 박막의 전압-전류특 성이다. 150 ºC의 ZTO박막에서 전류는 가장 많이 증가 하였고, 다른 박막들은 비선형적인 쇼키접합특성을 보여 주었다.
Fig. 7은 150 ºC 열처리온도의 박막에서 커패시턴스를 나타내고 있는데 0 V~5V 사이에서 에서 커패시턴스는 급격히 증가하였다가 감소하는 부성저항특성이 나타났 다. Fig. 7에서와 같이 비선형적인 부성저항특성이면서도 공핍층을 구성하고 있는 이중의 접합이 전기적으로 균 형을 이루는 것이 아니기 때문에 전기적으로 오믹특성 이 나타나고 있으며, Fig. 6에서도 150 ºC 열처리온도의 박막은 오믹특성을 나타낸다. 전하농도가 낮으면서 저항 이 낮고 커패시턴스의 값이 매우 큰 경우에 부성저항특 성이 나타나며 터널링 현상이 나타난다는 것을 알 수 있 다. 150 ºC 열처리온도는 ZTO박막에 케리어를 충분히 많 이 만들고 공핍층을 형성하였으며, 계면에서 공핍층을 형 성하는 이중 PN 접합이 잘 형성되면서 터널링현상도 유 도한다는 것을 알 수 있다. 전류전압특성에서는 오믹특 성이 나타났다. 마치 고농도 도핑효과에 의한 터널링 현 상과 유사한 특징임을 알 수 있다. 전하농도가 아주 낮 아서 비저항이 매우 큰 경우인 100 ºC 열처리온도한 ZTO 박막의 경우에는 부성저항특성이 나타나지 않았다. 또한 전류전압 특성에서도 쇼키접합특성이 나타났다.
4. 결 론
ZTO 박막의 열처리효과에 의한 부성저항터널링 현상 에 대하여 관찰하였다. ZTO/n-Si 박막의 계면에서 공핍 층의 형성은 열처리온도에 따라 분극이 달라지면서 다 양하게 만들어졌다. 공핍층의 형성은 전하들을 감소시켰 으며, 공핍층은 전류의 특성이 비선형성을 갖도록 하면 서 일반적으로 쇼키접합을 만들어낸다. 하지만 pn접합에 의한 공핍층을 가지고 있으면서도 오믹특성을 갖게 되 는 원인은 부성저항특성에 의해서 상대적으로 전하가 많 은 박막에서 공핍층이 형성되어도 계면에서의 터널링현 상이 일어나면서 많은 전류가 흐르기 때문이다. 터널링 현상이 나타나지 않는 박막에서는 전류-전압특성이 비선 형적인 쇼키접합특성을 보여주었다. 반도체계면에서는 공 핍층에서의 터널링현상으로 인하여 오믹저항특성이 나타 나도록 하는 효과를 보여주었다.








