1. 서 론
전자들간의 강상 관계(strong interaction)로 이루어진 물질들 중 특히 양자 상전이의 임계점 근처에 있는 헤 비 페르미온 물질은 최근 많은 관심을 받고 있다.1) 이 는 이러한 물질들이 보여주고 있는 특이한 성질들 때문 이다. 이러한 성질들 중에는 특히 자기적 행태에 있어 서 전통적인 란다우-페르미 이론을 따르지 않는 것이 가 장 큰 이유라 할 것이다.2) 흥미로운 점은 이러한 물질 들은 압력이나 자기장 또는 도핑에 의하여 양자 상전이 임계점에서 바닥상태가 나타날 수 있다는 것이다. 이러 한 예들이 현재까지 많이 알려져 왔는데 특히 CeCu(6-x), CePd2, Celn3 등은 도핑이나 압력으로 자기 양자 상전 이 모습을 보여주고 있다.3)
헤비 페르미온의 물질들은 특히 준입자(quasiparticle)의 질량이 상대적으로 커서 열적 성질에 있어서 특이하게도 비열 값이 크게 나타난다.4) 헤비 페르미온 물질 중 특히 CeNi2Ge2는 반자성 물질로서 란다우-페르미 이론을 따르 지 않는다는 것을 보여주고 있기에 연구해볼 가치가 충 분히 있을 것으로 판단된다.5) 실험에 의하면 CeNi2Ge2물 질의 구성 부분 중 Ni를 조그마한 다른 물질로 대체한 경우인 Ce(Cu1-xNix)2Ge2인 경우나 Ce(Ni1-xPdx)2Ge2의 경 우에는 격자 부피를 증가시킴으로써 반자성을 나타낸다 는 것이 보고되었다.6)
이는 CeNi2Ge2가 반자성 양자 상전이 근처에 있다는 것을 보여주는 증거라 할 수 있다. 또한 CeNi2Ge2는 비 록 아주 낮은 온도이기는 하나 Tc~0.2 K에서 초전도성 을 나타낸다는 것이 실험적으로 보고되었고 이는 반자 성 초전도 물질을 연구하는데 있어 귀중한 예가 될 수 있을 것으로 판단되기에 이 물질의 중요성이 부각되는 것으로 이해할 수 있을 것이다. 또한 이 물질의 열적 성질에 대하여 중성자 산란 실험을 통하여 비열 값이 보고되었고, 또한 이 물질은 약 TK ≅ 30 K에서 콘도 효 과(Kondo effects)의 모습을 보이고 있고 30 K 근처에 서는 준자기적(metamagnetic) 행태를 나타남으로써 연구 할 충분한 가치가 있을 것으로 생각된다.7)
이러한 이유로 인해 우선 CeNi2Ge2의 독특한 전자기 및 열적 성질을 이론적으로 연구해 볼 필요가 있다. CeNi2Ge2에 대한 전자 구조에 대하여는 angle-resolved photoemission 실험을 통한 결과와 이를 범밀도함수 (Density Functional Theroy, DFT)를 이용한 표준적인 국지밀도근사(Local Density Approximation, LDA)방법을 이용한 이론 계산과 비교하는 연구가 보고되어 있다.8)
본 연구는 표준적인 전자 구조의 결과보다는 f-d 오비 탈의 혼성과 이로 인해 나타나는 전자기 및 열적 성질 에 집중하고자 한다. 물론 현재까지 알려진 이론상 가 장 유용한 도구인 제1원리 즉 범밀도함수를 이용하여 LDA 방법뿐만 아니라 전자들 간의 강상 관계의 이해를 위해서 fully relativistic의 방법도 사용하여 이 물질의 바 닥상태에서의 전자기적 및 열적 성질을 계산하였고 이 를 실험과 상호 비교하며 검토하였다.
2. 결정 구조 및 계산방법
Fig. 1에 CeNi2Ge2의 결정구조를 나타냈다. 세 개의 원 자로 이루어진 CeNi2Ge2는 ThCr2Si2 형태의 결정구조인 데 이는 세 개의 원자로 구성된 물질의 가장 대표적인 형태이다. 이것은 체심입방구조의 정방정계(tetragonal)의 단 위 세포(unit cell)로 이루어져 있다(I4/mmm, space group no.139). 정방정계란 전후 좌우에 직교하는 2개의 길이 가 같은 수평축과 이것과 직교하는 다른 수직축을 가진 결정계로서 a = b ≠ c의 형태를 가지고 있는 결정구 조를 말한다. 여기서 Ce 원자는 각 코너와 중심에 위치 하며, Ni 원자는 4d 와이코프 포지션(Wyckoff site) 즉 4d(1/2, 0, 1/4)에 위치하면서 정사각형의 2차원 평면을 구성하고, Ge 원자는 4e 와이코프 포지션 4e(0, 0, z)에 위치한다. 정사각형의 2차원 평면에서는 Ge와 Ge가 결 합하며, 2차원 평면 위 아래로 GeNi4가 사각형의 피라 미드 형태를 만든다. 계산을 위하여 실험값인 a = 4.153 ×10-10 m와 c = 9.853×10-10 m를 사용하였다.

Fig. 1
The ternary CeNi2Ge2 crystallize in the ThCr2Si2-type structure. It is of a body-centered tetragonal unit cell. The rare earth atoms Ce(Th) occupy the corner and center positions. The Ni(Cr) atoms occupy the Wyckoff site 4d (1/2, 0, 1/4) and form twodimensional square planes. The Ge (Si) atoms occupy the Wyckoff site 4e (0, 0, z).
이 계산에서 full-potential nonorthogonal local-orbital minimum-basis(FPLO) 방법으로 local density approximation( LDA)를 계산하였다.9) Exchange and correlation potential은 Perdew and Wang을 따랐다. 계산 과정에서 Ce 4s, 4p, 4d, 4f, Ni 4s, 4p, Ge 3s, 3p들은 밸런스 상태(valence state)에 포함시켜 계산하였다. 이보다 낮은 상태는 코어(core) 상태로 취급하였다. 또한 Ce 4s, 4p, 4d, 4f 상태는 상대적으로 확장된 세미코어(relatively extended semicore) 상태로 다루었다.9,10)
3. 결과 및 토의
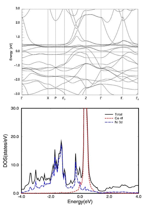
우선 CeNi2Ge2의 LDA방법의 근사에 의한 계산 결과 의 밴드 구조를 살펴보면 Ge의 3s는 -11.0 eV와 -8.0 eV 사이에 있으며 그 위로 Ni 3d와 Ge 4p가 -7.0 eV와 페 르미 에너지 사이에 혼재되어 있다. 페르미 레벨 근처 에는 거의 편평한 Ce 4f가 있다. 페르미 에너지 위에 는 Ce 6s, 5d, Ni 4s, Ge 4s, 4p가 있다. 그림에서 에 너지 스케일의 0.0 eV는 페르미 준위를 뜻하는데 이 근 체에 아주 편평한 직선에 가까운 밴드가 존재하는데 이 것인 바로 Ce의 4f 밴드이다.
밴드의 전자 구조의 이해를 보다 명확히 살펴보기 위 하여 상태밀도를 각 그림의 아래부분에 나타내었다. Fig. 2에서 빨간색의 상태밀도가 Ce의 4f 밴드이며 파란색은 Ni의 3d 밴드인데 이 두개의 상태가 혼성되어 페르미 에 너지 근처에 위치하고 있는 것을 알 수 있다. 페르미 준 위근처에서의 이 두 밴드의 혼성이 바로 이 물질의 전 자기 및 열적 성질을 결정하는데 가장 중요한 역할을 하 고 있다는 것을 알 수 있게 해준다.

Fig. 2
(color online) Top panel: The LDA band structure of CeNi2Ge2 along symmetry lines. The very flat bands near the Fermi level are the Ce 4f bands. Bottom panel: The DOS of CeNi2Ge2 from LDA calculation. The high peak near the Fermi level are the Ce 4f states, which hybridized with the Ni 3d states.
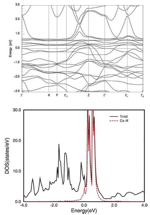
강상 관계에 관한 영향을 보다 정확하게 알아보기 위 하여 LDA가 아닌 fully relativistic band 계산 방법으로 확인해 본 바 가장 중요한 것은 Ce의 4f 밴드가 크게 두 부분으로 나누어 진다는 것이다. Fig. 2의 윗부분은 전자구조를 나타나고 있고 아래 부분은 상태밀도를 나 타낸 것으로 4f 상태가 두 부분으로 나누어 진다는 것 을 명확히 알 수 있다. 이것은 스핀-오비탈 결합(spinorbit coupling)이 Ce의 4f 상태를 페르미 에너지 근처인 0.2 eV와 0.7 eV에서 4f7/2와 4f5/2의 두 부분으로 나누어 지기 때문이다. Fig. 3

Fig. 3
(color online) Top panel: The fully relativistic band structure of CeNi2Ge2 showing that spin-orbit coupling splits the 4f states into two manifolds. Bottom panel: The fully relativistic DOS of CeNi2Ge2 showing that the Ce 4f states are located near the Fermi level.
일반적으로 물질의 전기 및 자기적 성질은 페르미 에 너지 근처에 존재하는 밴드에 의하여 결정된다. 이 그 림의 상태 밀도를 보면 알 수 있듯이 페르미 에너지 근 처에서의 아주 커다란 피크는 바로 Ce의 4f 오비탈과 Ni 3d 오비탈이 혼성되어 있다. 이러한 점이 CeNi2Ge2의 성 질을 이해하는데 있어서 가장 중요하다는 것을 계산 결 과가 증명한다고 할 수 있다.
범밀도함수원리를 이용해 자기적 성질의 대표적인 CeNi2Ge2의 자기모멘트를 LDA 방법으로 계산해 보면 0.17 μB/f.u(여기서 f.u.는 formular unit을 뜻한다) 얻었 다. 실험에 의하면 자기모멘트는 0.43 μB/f.u으로 보고되 었다.11) 전자들이 최소에너지를 갖는 안정한 상태가 되 기 위해 원자 내에서 어떻게 서로 결합하는지는 여러 가 지 상호작용에너지의 상대적 크기에 의해 결정된다. 대 표적인 것이 전자의 궤도(오비탈) 각운동량과 스핀 각운 동량 사이의 스핀-궤도 상호작용인데, 이 경우 전자의 궤 도 각운동량은 다른 스핀들 보다 자기 자신의 스핀과 더 강하게 작용한다. 이는 일반적으로 높은 원자 번호를 가 지고 있는 무거운 원소일수록 크다. 실험과 이론 계산 결과가 차이가 나는 이유는 이와 같이 Ce f 오비탈에 있는 전자들 간의 강상관계로 인한 것으로 생각된다. Fully relativistic의 방법의 계산에서는 0.15 μB을 얻었는 데 이는 Ce 4f 오비탈 분리되면서 약간의 차이가 나는 것으로 생각된다.
일반적으로 헤비 페로 미온에서 열적 성질을 살펴보는 것은 굉장히 중요한데 헤비 페르미온은 대체적으로 큰 비열계수를 갖는 것이 특징이다. CeNi2Ge2의 비열계수의 실험값은 Y = 350 mJ/K2mol로 알려져 있다. 이러한 상 대적으로 큰 값은 범밀도함수이론의 계산으로는 나타나 지 않는다. 계산에 의하면 페르미 레벨에서 상태 밀도 는 7.83 states/eV이며 이는 18.32 mJ/K2 mol에 해당하 는 값이다. 실험값과 이론 값은 약 19.1배 정도의 차이 가 난다.
이러한 차이의 원인은 준입자 때문인 것으로 생각된 다. 일반적으로 비열 C는 준입자의 상태밀도의 함수로 아래와 같이 주어진다.
여기서 D↑(ε+) + D↓(ε_)는 준입자의 업스핀과 다운스핀의 상태밀도의 합을 뜻하며 T는 온도이다. 또한 라는 것이 알려져 있다. 이것은 비열이 준 입자의 상태밀도에 비례하며, 상태밀도의 수가 증가할수 록 비열은 커지게 된다.12)
CeNi2Ge2의 f 오비탈과 d 오비탈 사이에는 교환 상호 작용(exchange interaction) J가 존재한다. Ce의 기저 상 태는 콘도 상호 작용(Kondo interaction)과 루더만-키텔 -카수야-요시다 상호 작용(Ruderman-Kittel-Kasuya-Yosida interaction, RKKY 상호작용)과의 경쟁에 의해 결정되는 데, 여기서 RKKY 상호작용이란 금속에서 핵자기모멘트 또는 국소적 d, f 껍질 전자의 스핀이 전도 전자의 스 핀과 상호작용하는 것을 말한다.
교환 상호 작용인 J가 커질수록 콘도 상호 작용(Kondo interaction)의 효과가 커지게 되고, 이는 이 물질을 자성 -비자성 전이의 경계로 만들며, f 오비탈 전자들과 d 오 비탈 전자들 사이의 교환 상호작용은 준입자를 생성하 게 한다. 준입자의 질량은 단순한 전자들의 질량에 비 교하면 휠씬 무겁다. 교환 상호작용이 작아지게 되는 경 우에는, 4f 오비탈 중 전자가 차지하고 있는 4f 오비탈 은 페르미 레벨 근처로, 전자가 차지하지 않은 4f 오비 탈은 전도(conduction) 밴드에 위치하게 되고 이는 준입 자의 질량을 감소시키게 된다. 교환 상호작용이 커지면 서 질량들은 더 증가하게 된다. CeNi2Ge2에 있어서 f오 비탈과 전도전자간의 혼성은 교환 상호작용을 크게 하 며 이로 인하여 f 오비탈의 전자들은 떠도는(itinerant) 전 자같이 행동하여 페르미 레벨 근처에서 편평하며 좁은 밴드구조를 만든다. 이로 인해 페르미 레벨에서의 상태 밀도 수가 증가하면서 준입자의 질량은 증가하게 되고, 따 라서 비열 값이 계산한 것보다 증가하게 되는 것으로 이 해할 수 있을 것이다.
4. 결 론
본 연구에서는 CeNi2Ge2의 전자기적 및 열적 성질을 알아보기 위하여 범밀도함수 이론을 바탕으로 LDA와 fully relativistic의 두 가지 방법을 이용하였다. 계산에 의 하면 Ce 4f 스핀-오비탈(spin-orbit)상호작용이 이 물질의 성질을 이해하는데 가장 중요한 역할을 한다는 것을 알 게 되었다. Ce의 f 오비탈의 전자와 전도 전자의 혼성 은 이 물질의 전기 및 자기적 성질에 있어 중요한 역 할을 한다는 것을 계산 결과 알게 되었다. Ce의 f 오비 탈에 있는 전자들은 전도전자들간에 혼성이 이루어지지 않는다면 이러한 전자들이 국지화(localized) 되나, 만약 f 전자와 d 전자들이 혼성이 되면, 전자 수가 f 전자들 끼리의 강상관계에도 불구하고 이 물질이 금속의 상태 에 있을 수 있게 만든다. 따라서 f 전자들과 d 전자들 의 페르미 준위에서의 혼성은 CeNi2Ge2의 성질을 이해 하는데 있어서 가장 중요하다.


