1. 서 론
유리섬유는 높은 기계적 강도, 내열성 및 내화학성을 가지고 있어 항공우주, 자동차, 건축, 전자제품 등 다양한 산업 분야에서 널리 사용되고 있다. 전통적으로 유리섬유는 고온에서 규사, 석회석, 소다 등 원료를 기반으로 제조되며, 에너지를 많이 소비하고 원료분말의 채굴로 환경적 부담을 초래할 수 있다.1) 이러한 에너지, 환경 문제를 해결하기 위해 지속 가능한 자원 순환 및 대체 원료 활용이 요구되고 있으며, 고로슬래그(blast furnace slag)는 이러한 대체 자원으로 주목받고 있다. 고로슬래그는 제강 공정에서 발생하는 부산물로, 주요 성분으로 CaO, SiO2, Al2O3, Fe2O3 등을 포함하며, 이러한 성분은 유리섬유 제조에 필요한 일부 원료 성분들과 유사하다.2)
고로슬래그를 유리섬유 제조에 활용하는 연구는 폐기물을 자원화하여 경제적 이익을 창출할 수 있는 잠재력을 가지고 있다. 고로슬래그의 높은 칼슘 산화물(CaO) 및 실리카(SiO2) 함량은 유리섬유의 기계적 성질을 향상시키는 데 기여할 수 있으며, 특히 유리섬유의 높은 내구성, 강도, 및 열적 특성을 최적화하는 데 중요한 역할을 한다. 또한, 유리 제조 과정에서 융점을 낮추는 효과가 있어, 에너지 소비를 절감할 수 있는 장점이 있다.3,4,5)
하지만 고로슬래그의 유리섬유용 유리 제조에서의 활용에는 다양한 문제점이 존재한다. 고로슬래그의 화학적 불균일성 및 금속성 잔여물이 유리섬유의 품질에 영향을 미칠 수 있으며, 이를 극복하기 위한 최적화된 처리 방법이 필요하다.6)
가장 일반적으로 사용되는 유리섬유 종류는 E-글라스(E-glass, alumino-borosilicate glass)이며, 우수한 기계적 강도, 전기 절연성, 화학적 안정성 및 내열특성을 바탕으로 유리강화플라스틱(glass-reinforced plastics, GRP)의 보강재로서 항공우주, 자동차, 전자 등 다양한 분야에서 핵심소재로 사용된다.7,8) E-glass의 조성적 특성과 안정된 유리 구조는 슬래그 기반 원료에 첨가될 경우 마블유리 제조를 위한 유리화 과정에서 유리 형성능력을 향상시킬 수 있다.
따라서 본 연구는 고로슬래그에 E-glass를 첨가하여 유리섬유용 마블유리 제조에 대한 가능성을 평가하고, 고로슬래그를 원료로 사용할 때의 물리적, 화학적 특성 변화를 분석하며, 이를 통해 슬래그섬유제조를 위한 마블유리 제조방법을 제시하고자 한다.
슬래그 함량을 50~90 wt%, E-glass 함량을 10~50 wt% 변화시켰으며 그에 따른 유리화와 특성평가를 진행하였다.
2. 실험 방법
고로슬래그에 E-glass 첨가가 슬래그 유리의 유리화와 특성에 미치는 영향을 확인하기 위하여 E-glass의 첨가량을 10~50 wt% 변화하여 슬래그 유리를 제조하였다. Fig. 1은 고로슬래그 분말과 E-glass 분말 이미지이다. E-glass의 함량을 10 wt% 단위로 조절한 것에 비해, 고로슬래그에서 나타나는 성분 변화량은 미미하여 크게 영향을 주지 않았다.
시편명은 “SaEb” 표기하였고, 여기서 a는 고로슬래그 함량(50~90 wt%) 함량을, b는 E-glass 함량(10~50 wt%)을 나타낸다. Table 1에는 실험에 사용된 원료의 성분비를 나타내었다.
Table 1.
Batch composition of SaEb glasses (wt%).
| Sample name | S5E5 | S6E4 | S7E3 | S8E2 | S9E1 |
| Blast furnace slag | 50 | 60 | 70 | 80 | 90 |
| E-glass | 50 | 40 | 30 | 20 | 10 |
각각의 조성은 함량별로 볼밀에서 2 h 혼합 후 백금도가니에 원료를 넣고, 1,500 °C에서 2 h 용융하였다. 광학, 열적 특성 및 성분 분석을 위한 SaEb 시리즈 유리샘플은 600 °C에서 예열한 흑연 몰드에 용융물을 부어 2 h 동안 서냉하여 제작하였다. Fig. 1은 실험 공정에 대한 모식도이다.
제조된 SaEb 시리즈 유리의 이미지는 Fig. 2에 나타내었다. S9E1 유리는 슬래그 함량이 높아 짙은 녹색을 띄며, 반면 S8E2~S5E5유리는 슬래그 함량이 줄어들수록 색이 옅어 지는 것이 확인되었다. Fig. 3에서 볼 수 있듯이 a~e 샘플은 투명한 유리가 제조되었고, 이를 통해 본 조성에서는 고로슬래그 50~90 wt%, E-glass 10~50 wt% 함량을 갖는 조성이 적합하다고 판단하였다.
SaEb 시리즈 유리의 성분분석은 15 × 15 × 1 mm로 경면 연마한 후 X선 형광분석기(X-ray fluorescence, XRF, XGT-5000, HORIBA, Japan)를 사용해서 성분함량을 확인하였다. 결정상확인은 X-선 회절 분석기(X-ray diffractometer, XRD, D8 Advance, Bruker, Japan) 사용하였다. 가속전압 40 kV, 가속전류 20 mA, 스캔속도 5 °/min에서 2θ = 10°~80° 구간에서 XRD 패턴을 측정하였다. 유리의 구조 관찰은 푸리에 적외선 분광기(Fourier transform infrared spectroscopy, FT-IR, SpotLight 400, PerkinElmer, USA)를 이용하여, 1,600~400 cm-1 범위에서 진행하였다. 광투과율은 경면 연마된 15 × 15 × 1 mm 시편을 이용하여 광투과율(optical transmittance, UV-Vis-IR Spectrometer, V770, JASCO, JAPAN)로 380~780 nm 영역에서 측정하였다. 유리전이온도와 결정화 온도는 시차열중량 분석기(thermogravimetric/differential thermal analysis, DT-6H, Shimadzu, Japan)를 사용하여 질소분위기에서 10 °C/min 승온 속도로 1,400 °C까지 측정하였다.
3. 결과 및 고찰
3.1. 슬래그 유리의 성분분석
슬래그와 E-glass를 혼합하여 제조한 SaEb 시리즈 유리 시편의 산화물 조성 결과는 Table 2에 나타내었다.
Table 2.
Chemical composition of SaEb glasses (wt%).
전체 조성에서 슬래그의 비율이 점차 감소하고, E-glass의 첨가량이 증가함에 따라 SiO2의 함량은 상대적으로 증가하였으며, 반대로 Fe2O3 함량은 다소 감소하는 경향을 보였다. 이는 E-glass가 실리카 원료로 작용함과 동시에, 금속산화물의 비율을 낮추는 효과를 나타내기 때문으로 판단되었다.
특히 SiO2 함량은 S5E5 조성에서 약 34 wt%까지 상승하였으며, 이는 원래 슬래그 단독 조건보다 약 3 wt% 정도 향상된 수치이다. Fe2O3의 경우 S9E1 조성에서 가장 높게 관찰되었고, 이는 SiO2 함량 비율 감소에 따른 상대적인 Fe2O3의 증가에 따른 영향으로 확인되었다.
산업용 유리 또는 방사용 마블유로 사용하기 위해서는 SiO2 함량이 최소 55 wt% 수준 이상 확보되어야 한다는 보고가 있으며, 슬래그와 E-glass의 조합만으로는 network former 역할(예: SiO2, Al2O3)의 함량이 부족했다.9) 향후 방사용 마블유리로 사용하기 위해서 network modifier 간의 함량 조절을 한다면 충분히 섬유화 가능할 것으로 판단하였다.
3.2. 슬래그 유리의 XRD 결과
SaEb 시리즈 유리의 비정질 구조를 확인하기 위하여 XRD 분석을 수행하였으며, 그 결과를 Fig. 4에 나타내었다.
모든 조성에서 뚜렷한 회절 피크 없이 낮은 intensity와 넓은 background가 관찰되어, 전형적인 비정질(amorphous) 특성을 갖는 것으로 확인하였다. 이를 통해 본 실험조건이 유리화에 적합함을 확인하였다.
3.3. 슬래그 유리의 FT-IR 결과
슬래그 유리에 대한 FT-IR 분석결과는 Fig. 5에 나타내었다. 1,600~400 cm-1 파장 범위 내에서 투과도는 조성에 따라 차이를 보였으며, 특히 800~1,200 cm-1와 600~700 cm-1 영역에서 흡수 변화가 확인되었다. 주요 흡수 피크는 다음과 같이 확인되었다.
실리케이트계 유리에서 1,000~1,100 cm-1 영역은 비대칭 Si-O-Si 또는 Si-O 스트레칭 진동, 800~950 cm-1 영역은 비가교 산소(non-bridging oxygen, NBO)를 포함한 Si-O 진동, 450~500 cm-1 영역은 Si-O-Si bending mode로서 사면체 구조 진동에 해당한다.
조성에 따라 영역의 흡수강도에 차이가 나타났으며, 이는 SiO4 사면체 내의 가교 산소(bridging oxygen, BO)과 NBOs의 비율 변화에 기인하는 것으로 판단되었다.10)
800~1,200 cm-1 영역에서 흡수강도가 약할수록 Q4 중심의 네트워크가 발달됨을 의미하며, S9E1 조성은 해당 영역에서 가장 낮은 흡수율을 나타내며, 이는 NBOs가 적고 BO가 우세한 구조로 판단할 수 있다. 반면, S5E5 조성은 900 nm 부근에서 상대적으로 높은 흡수 밴드를 보이며 이는 NBOs가 우세한 구조임을 판단하였다.
이러한 결과는 성분분석에서 나타난 SiO2 함량 증가 및 Fe2O3 함량감소 경향과 유사하며, E-glass 비율이 증가할수록 보다 유리네트워크 구조로 전환될 수 있음을 확인하였다.
600~700 cm-1 파장대에서 흡수 피크가 관찰되었고, 일반적으로 Fe3+, Cr3+ 등의 전이금속 이온에 의한 금속 이온의 존재 여부 및 배위 환경에 따라 흡수 특성으로 확인되었다.11,12) 이는 해당 조성 내 금속 이온의 존재량이 많고, 동시에 NBOs가 다량 존재하여 전자전이 경로가 활성화된 결과로 판단되었다.
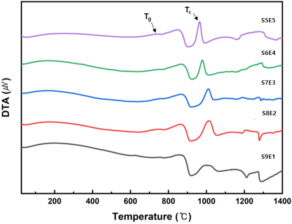
3.4. 슬래그 유리의 열적 특성
슬래그 유리의 유리전이온도는 Fig. 6에 나타내었다. E-glass의 함량을 10~50 wt% 변화시킨 SB 시리즈의 유리전이온도는 S9E1 765 °C, S8E2 753 °C, S7E3 746 °C, S6E4 737 °C 그리고 S5E5 734 °C이며 슬래그 함량이 줄고 E-glass 함량 증가로 유리전이온도가 약 30 °C 정도 줄어드는 것을 확인하였다.
이는 FT-IR 분석결과에서 알 수 있듯이 S5E5 조성으로 진행될수록 NBOs의 증가에 따라 유리의 망목구조가 끊어지면서 이온 간 결합이 상대적으로 느슨해진 경향이라고 판단되었다.13)
결정화 온도는 S9E1 1013 °C, S8E2 1010 °C, S7E3 1,000 °C, S6E4 978 °C 그리고 S5E5 964 °C이며 유리전이온도와 결정화 온도 차이가 모든 조성에서 220 °C 이상이며 열적으로 안정한 유리임을 판단하였다.
3.5. 슬래그 유리의 광학적 특성
슬래그 유리 시편의 가시광선 영역(380~780 nm)에서의 광투과율을 측정한 결과는 Fig. 7에 나타내었다.
1 mm 두께로 가공된 시편으로 측정된 광투과율은 S9E1 18 %, S8E2 71 %, S7E3 75 %, S6E4 76 % 그리고 S5E5 79 %이며, S9E1 조성을 제외한 대부분의 시편에서 평균 약 75 %의 광투과율을 보였으며, 이는 육안으로도 높은 투명도를 확인하였다. 반면, S9E1 조성은 18 %의 낮은 투과율을 보였으며, 전 영역에서 상대적으로 투과율이 급격히 감소하는 양상을 나타내었다.
이러한 차이는 조성 간 Fe2O3 함량의 상대적 차이에 기인한 것으로 판단되었다. Fe 이온(특히 Fe3+ 및 Fe2+)은 가시광선 영역에서 강한 흡광 특성을 가지며, 특히 Fe2+는 넓은 영역에서의 흡수를 유도하여 투과율 저하에 큰 영향을 미친다.
S9E1 조성에서 낮은 투과율이 관찰된 원인은 해당 조성에서의 높은 Fe2O3 농도에 따른 것으로 보이며, 이는 성분 분석 결과와 상관성이 확인되었다.
따라서, 광투과 특성은 단순한 SiO4 네트워크 구조 뿐만 아니라, Fe 등 금속산화물 함량 및 이온 상태(Fe2+/Fe3+ 비율)에 의해서도 크게 영향을 받는 것으로 판단되었다.
4. 결 론
본 연구에서는 고로슬래그에 E-glass를 10~50 wt% 범위로 첨가하여 슬래그 유리를 제조하였고 그에 따른 조성, 구조적 특성, 광학적 및 열적 거동을 분석하였다. 그 결과 모든 조성에서 비정질 구조가 형성되었고, 안정적인 유리화 가능함을 확인하였다. E-glass 함량이 증가할수록 SiO4 단위의 구조 약화에 따라 유리전이온도가 765 °C에서 734 °C로 감소하였으며, 모든 조성에서 유리전이온도와 결정화 온도의 차이가 220 °C 이상으로 나타나 섬유 방사용 마블 유리로 활용하기에 안정적임을 확인하였다.
그러나 방사용 마블유리로 활용하기 위해 필요한 SiO2 함량(≥ 55 wt%)을 만족하기 위해서는 슬래그와 E-glass 조합만으로는 한계가 있으며, 향후 조성 조절과 network modifier의 균형 설계를 최적화할 경우 실질적인 섬유화도 달성 가능할 것으로 판단됩니다. 본 연구에서 개발된 고로슬래그 기반의 마블유리로 슬래그섬유 제조 적용 가능성이 확인되었으며, 이는 향후 관련 소재 기초 자료로 활용될 수 있을 것으로 기대된다.









