1. 서 론
수소는 높은 에너지 밀도, 운송・발전・제조업 등 광범위한 분야에서 응용 가능성, 그리고 친환경적 특성으로 인해 화석 연료를 대체할 차세대 에너지원으로 주목받고 있다.1,2,3,4) 이를 효과적으로 에너지원으로 활용하기 위해서는 안정적이고 효율적인 저장 기술이 필수적이다.5,6,7) 수소 저장 방식은 크게 고체 용해물 상태 저장, 극저온 액체 저장, 상온 고압 저장으로 구분된다.8,9,10,11) 이 중 고압 저장 방식은 상대적으로 단순한 장비 구조와 빠른 충전 속도라는 강점으로 인해 수소 저장 및 운송 시스템에서 가장 널리 사용되고 있다.12,13,14)
현재 수소 자동차는 수소충전소에서 고압 수소 상태로 연료를 공급받으며, 이러한 설비들은 최대 90 MPa의 고압 수소 환경에서 운용된다.15,16,17,18) 이 과정에서 고무 소재는 O-ring의 형태로 각 부품의 연결부위에 장착되어 고압 수소를 밀봉하는 역할을 한다. 이러한 고무 O-ring은 저장 시스템 내에서 고압 수소를 밀봉하는 핵심 부품이지만, 밀봉 성능이 저하될 경우 고압 수소의 누출로 직결될 수 있어 가장 취약한 요소 중 하나로 평가된다.19,20,21,22,23)
고무 밀봉 재료에서 수소 누출은 세 가지 경로를 통해 발생할 수 있다. 첫 번째 경로는 밀봉부와 장비 사이의 경계 틈새를 통한 누출이며, 두 번째는 밀봉부의 기계적 손상으로 인한 누출, 세 번째는 고무 재료 자체를 통한 수소의 투과이다.24,25,26,27) 특히, 수소 기체는 분자 크기가 매우 작아 고무 소재 내부로 쉽게 침투한 후 외부로 투과될 수 있다.28,29,30,31,32) 이러한 투과 현상은 고무의 물리-화학적 특성에 영향을 미쳐 고무의 열화, 구조적 손상 및 밀봉 성능의 저하를 유발한다.33,34,35,36) 따라서 고무 밀봉재의 수소 적합성을 평가하는 과정에서 수소 투과 특성은 필수적으로 고려되어야 하며, 특히 고압 환경에서 고분자 재료의 수소 투과 거동을 체계적으로 연구하는 것은 고압 수소 저장 시스템의 안정성을 확보하기 위한 중요한 연구 주제이다.37,38,39,40)
고압 수소 환경에서 수소 투과 특성을 연구하기 위해서는, 수소가 고무 소재 내부로 용해, 확산 및 투과되는 과정을 정량적으로 측정할 수 있는 기술이 필요하다.41,42,43,44) 이를 위해 본 연구에서는 최대 100 MPa의 고압 수소 환경에서도 안정적으로 작동하는 in-situ 수소 투과 실험 시스템을 개발하였으며, 동시에 투과된 수소를 정량적으로 분석할 수 있는 측정 시스템을 구축하였다.
본 연구에서는 이동형 압력계를 사용하여 간단하면서도 현장 적용이 쉬운 압력 측정 방법을 적용하여 수소 투과량을 정량 측정하도록 설계하였다.45,46) 이 방법은 고분자 소재를 투과한 수소가 밀폐된 용기 내부의 압력을 증가시키는 원리를 기반으로 하며, 이를 USB 타입의 휴대용 상용 데이터 로거를 사용하여 용기 내 압력 및 온도를 실시간으로 측정 및 기록할 수 있도록 구성하였다. 수집된 측정 데이터는 자체 개발한 투과-확산 분석 프로그램을 활용하여 투과도, 확산도, 용해도와 같은 주요 투과 특성으로 변환된다. 개발된 시스템을 이용하여 실리카(Silica) 충전제를 함유한 ethylene propylene diene monomer (EPDM) 복합제의 수소 투과 특성을 5~90 MPa 조건에서 평가하였으며, 측정된 수소 투과 데이터의 신뢰성을 확보하기 위해 불확도 요인을 분석하고 불확도 평가를 수행하였다.
2. 실험방법
2.1. 시편 준비
EPDM은 우수한 화학적 저항성, 저온 특성, 그리고 -40~50 °C 넓은 온도 범위에서도 안정적인 탄성을 유지하는 특성을 갖추고 있어 다양한 응용 분야에서 활용되고 있다.47,48,49,50,51) 특히, Silica 또는 카본 블랙(carbon black) 필러를 첨가하면, EPDM의 고압 수소 환경에서의 내구성과 배리어 특성이 향상되는 것으로 보고되었다.52,53,54,55,56) 또한, 높은 경도의 고무 소재는 열화에 대한 우수한 내구성을 제공하는 것으로 알려져 있다.57,58,59) 우리는 최대 100 MPa 수소 압력에서도 안정적으로 사용할 수 있는 고경도의 고무 시편 제작을 위해, Silica 필러를 다량 함유한 EPDM을 시험 소재로 선정하여 제작하였다. 제작된 소재의 화학적 조성과 밀도는 Table 1에 나타내었다. 투과 실험에는 직경 21.5 mm, 두께 2.0~4.0 mm의 디스크 형태 시편을 사용하였다.
Table 1.
Chemical Composition and density of silica-filled EPDM composites (Unit: wt%).
| Chemical composition | EPDM-Silica |
| EPDM | 45 |
| Silica filler | 45 |
| Zinc oxide | 1 |
| Dicumyl peroxide | 1 |
| Stearic acid | 1 |
| Silane coupling agent (Si-69) | 4 |
| Polyethylene glycol | 2 |
| Density (g/cm3) | 1.246 |
2.2. 고압 수소 투과 시스템
2.2.1. 투과 실험의 기본 이론
고분자 소재의 고압 수소 투과 특성을 평가하기 위해 ASTM143460) 및 ISO15105-161)에서 규정한 차압 방법(differential pressure method)을 적용하였다. 차압 방법은 고압과 저압 간 압력 차이를 이용하여 고분자 소재를 통한 기체의 투과 거동을 평가하는 대표적인 실험 기법으로, 이를 활용한 다양한 연구가 보고된 바 있다.62,63,64) 기체의 투과 과정은 용해-확산 모델에 따라 용해, 확산, 투과의 세 단계를 거쳐 진행된다.65,66,67) 먼저, 고압 측에서 시료 표면과 접촉한 기체 분자가 재료 내부로 용해된다. 이후, 용해된 기체 분자는 확산을 통해 재료 내부를 이동하여 저압측 표면에 도달한다. 저압 측 표면에 도달한 기체 분자는 시료 표면에서 서서히 방출되며, 방출 속도는 시간이 지남에 따라 증가하다가 정상상태(steady-state)에 도달하면 일정한 값을 유지하게 된다. 이 방출 속도를 투과율(permeation rate)이라고 하며, 시간에 따른 투과율을 적분하면 누적된 투과 기체의 양을 경과 시간에 따라 나타내는 누적 투과 곡선(cumulative permeation curve)을 얻을 수 있다. 이 누적 투과 곡선을 분석하여 투과도, 확산도, 용해도를 평가한다.
2.2.2. 고압 수소 투과 셀
투과 셀은 실험 동안 시료의 물리적 변형을 방지함과 동시에 고압 수소가 외부로 누출되지 않도록 밀봉 기능을 유지해야 한다. Fig. 1은 SUS 304 소재로 제작된 투과 셀의 내부 구조를 보여주며, 이는 최대 100 MPa 수소 압력에서도 안정적으로 사용할 수 있도록 설계되었다. Fig. 1(a)는 상단 셀, 하단 셀, 그리고 인서트로 구성된 고압 수소용 투과 셀의 조립체를 나타낸다. 상단 셀은 고압의 수소를 주입(red line)하고 투과된 수소가 배출(blue line)되는 경로를 제공한다. 하단 셀은 투과 셀을 지지하며, 인서트와 시료가 장착되는 구조를 포함하고 있다. 한편, 수소는 공기보다 밀도가 매우 낮아 위로 상승하는 특성을 가지므로, 투과된 수소를 효과적으로 포집하기 위해 인서트를 활용한 상부 배출 구조를 도입하였다.
Fig. 1(b)는 SUS 304 소재로 제작된 수소를 상부로 배출하기 위한 인서트의 내부 구조를 보여준다. 인서트는 상단 인서트와 하단 인서트로 구성되며, 지름 21.5 mm의 디스크형 고무 시편은 하단 인서트와 소결 금속 필터 위에 위치된다. 고무 시편의 실링을 위해 상단 인서트가 시편을 0.1 mm 깊이로 압착하여 하단 인서트의 돌출 부위와 함께 실링하는 구조로 설계하였다. 상단 인서트와 고무 시편 사이에 금속 링 형태의 스페이서를 삽입하여 압착 깊이를 정밀하게 제어하였다. 또한, 이를 통해 유효 투과 면적은 시편 실링 내부의 직경 16 mm 영역으로 정의된다. 고압 수소 주입부의 기밀성을 확보하기 위해 총 4개의 O-ring을 적용하여 누출을 완벽히 차단하였다. 투과된 수소는 하단 인서트의 미세한 틈(파란색 화살표 방향)을 따라 외부로 상단 배출되도록 설계되었다.
2.2.3. 고압 수소 투과 실험 시스템
Fig. 2는 수소 용기, 압축기, 버퍼 탱크, 투과 셀, 그리고 압력 분석법으로 구성된 고압 수소 투과 실험 시스템을 보여준다. Fig. 2(a)의 시스템을 사용한 고압 수소 주입 과정은 다음과 같다. 먼저, Valve2를 닫고 Valve 1을 개방한 상태에서 압축기를 이용해 최대 100 MPa까지 가압하여 고압 수소를 버퍼탱크에 저장한다. 이후, Valve 1을 닫고 Valve 2를 개방하여 1초 이내에 투과 셀에 목표 압력까지 수소를 주입한다. Valve 2를 개방한 시점(t = 0)을 기준으로 시간을 기록하며 투과 측정을 시작한다.

Fig. 2.
Overall system for the high-pressure hydrogen permeation test to evaluate the permeation properties of polymer materials. (a) Schematic of the high-pressure hydrogen injection process and the temperature control system for the permeation cell. (b) manometric method for the quantitative measurement of permeated hydrogen.
한편, 투과 셀의 온도는 Fig. 2(a)의 순환기를 이용하여 배스 유체(bath fluid)를 순환시켜 상온을 유지하도록 설계하였다. 또한, 투과 셀 외벽에는 단열 재킷을 장착하여 실험 중 온도를 일정하게 유지하였다. 온도 측정은 열전대를 투과 셀 상단 표면에 부착하여 수행하였으며, 시료가 열 평형에 충분히 도달할 수 있도록, 열전대가 온도 평형에 도달한 후 1 h이 지난 시점에서 수소를 주입하였다. 투과된 수소의 정량 측정은 Fig. 2(b)에 나타낸 압력 분석법(manometric method, MM)을 이용하여 수행하였으며, 이에 대한 자세한 설명은 다음 섹션에서 다룬다.
2.2.4. 압력 분석법
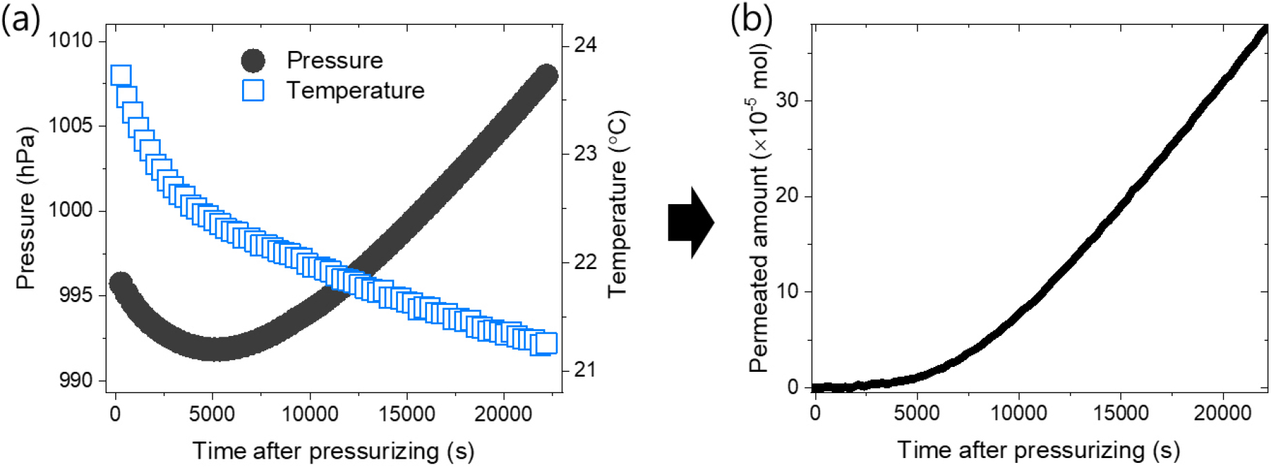
Fig. 2(b)는 밀폐된 용기 내부의 압력 증가를 모니터링하여 시간 경과에 따라 투과된 수소의 양을 정량화하는 MM을 보여준다. 압력 및 온도를 측정하는 압력 센서는 대기압과 온도를 동시에 기록할 수 있는 상용 데이터 로거를 사용하였다. Fig. 3의 왼쪽은 상용 데이터 로거를 사용해 측정한 용기 내부의 압력과 온도를 보여준다. 로거 용기 내 수소의 압력 와 온도 는 시간이 지남에 따라 변화하게 된다. 용기 내부의 수소는 이상 기체 상태 방정식(PV = nRT)을 따르며, 여기서 R은 기체 상수 이고, n은 로거 용기 내부에 존재하는 투과된 수소 분자의 몰 수를 나타낸다.

Fig. 3.
Precise monitoring of pressure and temperature monitoring along with quantitative measurement of permeated hydrogen using the manometric method. (a) time-dependent variation of pressure and temperature after pressurizing. (b) time-dependent permeated hydrogen amount converted from measured pressure and temperature using Eq. (2).
압력 측정을 통해 일정한 용기 부피에서 시간에 따른 압력 증가 를 측정함으로써, 시편으로부터 투과된 수소의 총 몰 수 를 구할 수 있다. 따라서, 로거 용기 내 투과된 가스로 인한 압력 증가 를 측정하여 총 가스 몰 수 는 다음과 같이 표현된다.68)
여기서, , , 는 각각 밀폐된 로거 용기 내부 수소의 초기 시간에 해당하는 온도, 초기 부피, 초기 압력을 나타낸다. 는 초기 압력 와 투과된 수소로 인해 시간에 따라 증가하는 압력 의 합으로 정의된다. 는 초기 기체의 몰 수를 나타내고, 는 투과된 수소로 인해 시간에 따라 증가하는 수소의 몰 수이다. 는 초기 온도 에 대한 온도 변화율을 나타낸다. 따라서, 수소만의 몰 수 만 따로 나타내어 정리하면 다음과 같이 나타낼 수 있다.
한편, 고분자 시료를 통한 기체 투과 거동은 초기에는 소량의 기체가 투과되다가 점차 투과량이 증가하여 평형 상태에 도달하는 특징을 보인다. Fig. 3(a)에서 볼 수 있듯이 MM을 이용한 압력 측정에서 초기에는 수소 투과가 거의 발생하지 않았으며, 이 구간에서 온도 감소에 따라 압력이 함께 감소하는 것을 볼 수 있다. Fig. 3(b)는 용기 내부의 압력과 온도를 식 (2)를 사용해 수소의 몰 수로 변환한 투과 곡선을 보여준다. 이 결과는 이론적으로 도출된 투과 곡선과 잘 일치하며, 외부 환경 영향에 따른 용기 내부 압력과 온도의 변화가 식 (1)을 통해 효과적으로 보상되고 있음을 의미한다. 또한, 상용 데이터 로거가 압력 및 온도 변화를 정밀하게 감지하고 있음을 나타내며, 이를 활용한 MM이 투과된 수소의 정량화에 효과적으로 적용될 수 있음을 검증한다.
2.2.5. 투과-확산 분석 프로그램
차압 방법은 막(membrane)을 통한 기체 투과 측정을 위한 대표적인 실험 기법이다.69,70,71,72,73) 기존 연구에서는 기체 투과가 정상 상태에 도달할 때까지 측정을 진행한 후, 시간을 무한대로 가정하여 투과 특성을 평가하는 방식을 적용하였다. 그러나, 확산 계수가 낮거나 막 두께가 증가할 경우, 정상 상태에 도달하기까지 상당한 시간이 소요될 수 있으며, 이로 인해 긴 측정 시간이 요구되거나, 정상 상태에 도달하지 못한 상태에서 실험이 종료되는 문제점이 발생할 수 있다.74,75) 이를 해결하기 위해, 우리는 자체 개발한 확산-투과 분석(diffusion-permeation analysis) 프로그램을 이용하여 비정상 상태의 투과 곡선 거동을 분석함으로써 확산도와 투과도를 평가하는 방법을 적용하였다. Fick의 제2법칙에서 확산 계수 D와 농도 C를 포함하는 시간 t에 대한 비정상상태 거동의 해법은 여러 연구에서 유도되었으며,76,77,78) 특히 Crank79)에 의해 다음과 같이 정리되었다.
여기서, 는 시간 t 동안 단위 면적당 시편을 투과한 누적 수소량(mol/m2)이며, 는 시간 t 동안 시편을 투과한 총 수소량(mol)이고, 는 시편의 단위 면적(m2)이다. 는 고압측 수소 기체 농도(mol/m3)이며, 은 디스크형 고무 시편의 두께(m), 무한 급수 항은 비정상 상태 확산의 영향을 나타낸다.
식 (3)에서 얻은 시간에 따른 투과한 누적 수소량을 식 (4)에 적용한 후, 최소자승법을 이용하여 각 매개변수를 최적화함으로써 수소의 확산도(D)를 얻을 수 있다. 그 후 시간이 무한대일 때의 수소 투과율을 계산하여 다음 식을 통해 투과도(Pe)를 얻을 수 있다.
여기서, 는 유효 투과 면적, 는 실험 압력을 의미한다. 또한, 투과도는 용해-확산 메커니즘에 의해 확산도와 용해도의 곱으로 나타내므로, 측정된 투과도와 확산도를 이용하여 용해도를 계산할 수 있다.
한편 식 (3)은 무한급수로 전개되는 형태를 가지므로, 이를 정확하게 계산하기 위해서는 전용 투과-확산 분석 프로그램이 필요하다. Fig. 4는 투과-확산 분석 프로그램을 이용하여, 90 MPa 압력에서 고무의 수소 투과도, 확산도, 용해도를 분석한 예시를 보여준다. 먼저, 왼쪽 하단에 디스크 모양의 시편의 두께(Height), 유효 투과 면적(Area), 실험 압력(△P)를 입력한 후, 오른쪽 중단에 위치한 Curve Fitting을 실행하면, 오른쪽 하단에 식 (3)과 (4)에서 구한 확산도와 투과도 결과가 나오게 된다. 즉, D = 3.504 × 10-10 m2/s, Pe = 5.755 × 10-9 mol/m・s・MPa의 값을 얻었다. 또한, 오른쪽 가장 하단에 표시된 값은 투과도/확산도로 계산된 용해도 값을 나타낸다. 이러한 전용 분석 프로그램을 활용하면 측정 시간을 크게 단축할 수 있으며, Fig. 4 중단에 식(3)과 측정 데이터 간의 오차를 나타내는 지표인 FOM (Figure of Merit) = 2.7 %와 같은 추가적인 정보를 얻을 수 있다.
3. 결과 및 고찰
3.1. 압력 의존성 측정 결과
자체 개발한 고압 수소 투과 실험 시스템을 이용하여, 고압 수소 환경에서의 사용을 위해 설계된 Silica 필러를 함유한 EPDM의 수소 투과 특성을 5~90 MPa 범위의 서로 다른 압력 조건에서 평가하였다. Fig. 5는 투과율, 투과도, 확산도, 그리고 용해도의 압력 의존성 분석 결과를 보여준다.
Fig. 5(a)에서 수소 투과율은 압력이 증가함에 따라 증가하는 경향을 보였으나, 증가율은 압력이 높아질수록 점진적으로 감소하는 양상을 나타냈다. 이론적으로 투과도가 압력과 무관하게 일정할 경우, 식 (4)에 따라 투과율은 압력에 대해 원점을 지나는 선형적인 관계를 형성해야 한다. 그러나, 압력이 증가할수록 투과율의 증가율이 감소하는 경향이 관찰되었다. 이는 Fig. 5(b)에서 확인할 수 있듯이, 압력 증가에 따라 Silica 필러를 함유한 EPDM의 수소 투과도가 감소함을 의미한다. 이러한 거동은 기존 연구에서 보고된 고분자 내 기체 투과도의 압력 의존성과 일치한다. Stern 등과 Naito 등의 연구에 따르면, 고분자를 통한 기체 투과는 투과도와 압력 간에 상관관계에 따라 두 가지 유형으로 분류될 수 있다.80,81) CO2, N2O 및 유기 증기와 같이 응축성 증기(condensable vapor)는 고무 상태의 고분자 내에서 용해도가 높고, 압력 증가에 따라 흡착 또는 팽윤 효과가 커지면서 투과도가 빠르게, 경우에 따라서는 지수적으로 증가하는 양의 기울기를 나타낸다. 반면, N2, He 등 액화 온도가 매우 낮은 영구 가스(permanent gas)는 고분자와의 상호작용이 미약하여 용해도가 압력에 거의 영향을 받지 않으며, 압력 증가에 따른 고분자 자유 부피 감소로 인해 확산이 제한되어 투과도는 점차 감소하는 음의 기울기를 보인다. 수소 또한 영구 가스로 분류되므로, Fig. 5(b)에 나타냈듯이 우리의 결과도 압력이 증가함에 따라 투과도가 감소하는 경향을 보였다.
Fig. 5(c)의 압력 변화에 따른 확산도를 나타내며, 압력이 증가할수록 확산도가 감소하는 경향을 보였다. 고분자 내 기체 확산은 자유 부피 모델에 따라, 기체 분자가 폴리머 사슬의 열적 진동으로 인해 생성된 자유 공간을 통해 이동하는 과정으로 설명된다.82,83,84,85) Fujiwara 등은 고압 환경에서는 폴리머 내부의 자유 부피가 감소하며, 이로 인해 기체 분자의 확산이 제한되어 확산도가 감소한다고 보고하였다.44) 한편, Fig. 5(d)에서 나타낸 용해도는 압력과 무관하게 일정한 값을 유지하는 것으로 나타났다. 이는 압력 증가에 따른 투과도의 감소가 용해도 변화보다는 자유 부피의 감소로 인한 확산도의 감소에서 주로 기인한다는 것을 의미한다. 또한, 고압 환경에서 고분자 소재의 수소 투과 특성은 단순한 용해-확산 거동뿐만 아니라, 고분자와 필러로 구성된 내부 기공 구조, 압력에 따른 내부 구조 변형 등 다양한 요인의 영향을 받는 복합적인 과정임을 시사한다.86,87,88,89) 따라서, 고압 환경에서의 수소 투과 메커니즘을 보다 정밀하게 이해하기 위해서는 자유 부피 변화, 내부 구조 변형, 필러와의 상호작용 등을 고려한 추가적인 연구가 필요하다.
한편, 측정된 용해도 값에 다음 식을 적용하면 수소 장입량을 계산할 수 있다.90,91)
여기서, 는 수소 기체의 분자량 2.016 g/mol, 는 실험 압력, (g/m3)는 시편의 밀도이다. Fig. 5(d)에 나타낸 모든 용해도 값을 식 (5)에 적용하여 계산한 수소 장입량 결과를 Fig. 6에 나타내었다. 고분자 소재 내부에 용해되는 수소의 거동은 헨리의 법칙(Henry’s law)과 랭뮤어 흡착(Langmuir adsorption) 모델을 통해 해석할 수 있다. 헨리의 법칙은 기체의 장입량이 압력에 비례하여 증가하는 거동을 설명하며, 이는 고무 매트릭스 내부에로 수소가 균일하게 흡수될 경우를 설명한다.92,93) 반면, 랭뮤어 흡착 모델은 고무 매트릭스 내부 또는 필러 표면에 흡착된 수소가 특정 압력 이상에서 포화 상태에 도달하여 더 이상 흡착되지 않는 현상을 설명한다.94,95,96) 따라서 랭뮤어 흡착 거동이 존재한다면 저압 영역에서 장입량은 선형이 아닌 완만한 곡선 형태로 나타나야 한다. 그러나 본 실험에서는 이러한 곡선 거동은 관찰되지 않았으며, 본 연구에 사용된 Silica 필러를 포함한 EPDM 복합재에서는 수소 흡착이 발생하지 않은 것으로 판단된다. Fig. 6에 제시된 수소 장입량 결과는 측정 불확도 범위 내에서 헨리의 법칙을 R2 = 0.97로 잘 따르는 것으로 확인되었다.
3.2. 불확도 분석
고압 수소 투과 실험 시스템의 불확도는 측정의 불확도 표현 가이드(GUM, guide to the expression of uncertainty in measurement) 및 기존 연구에서 사용된 분석 방법을 기반으로 평가되었다.97,98,99,100,101) VM을 이용한 수소 투과 측정의 불확도 요인과 상대 확장 불확도는 Table 2에 정리하였다. 투과 측정에서 주요한 불확도 요인은 반복 측정을 통한 안정성, 시편 두께 측정, 시편 두께 변화의 최대값, 데이터와 식(3) 간의 표준 편차, 고압측 디지털 압력계 정확도/해상도, 투과 셀의 온도 변화, 상용 데이터 로거의 정확도/해상도, 그리고 로거 용기 내부의 빈공간 부피 측정에 대한 편차이다. 반복 측정의 안정성에 대한 타입 A 불확도(Type A uncertainty)는 3회 측정을 통해 얻어졌다.
Table 2.
Uncertainty sources and expanded uncertainties in MM.
| Factor of uncertainty |
Relative value (%) |
|
- Repeated measurements - Thickness measurement for the sample - Maximum change in the sample thickness - Standard deviation between data and Eq. (3) - Accuracy of digital pressure gauge - Resolution of digital pressure gauge - Variation of temperature - Accuracy of portable sensor - Resolution of portable sensor -Volume deviation of portable sensor container |
2.8 0.8 1.7 4.0 0.6 0.02 0.01 0.06 0.004 0.9 |
| Combined standard uncertainty, uc | 5.3 |
| Coverage factor, k | 2.1 |
| Expanded uncertainty, U = kuc | 11.2 |
시편 두께 측정의 불확도는 버니어 캘리퍼(vernier caliper)의 교정 성적서, 정확도, 분해능을 기반으로 0.8 %로 평가되었다. 시편을 투과 셀에 장착한 후, 시료 두께 변화의 최대값은 3.0 %였으며, 직사각형 분포를 적용하여 타입 B 불확도는 1.7 %로 평가되었다. 측정 데이터와 식 (3)을 이용한 피팅 결과 간의 표준 편차는 최대 4 % 이내로 나타났으며, 이 값을 기준으로 타입 B 불확도를 결정하였다. 디지털 압력계의 정확도는 GRADE A 수준인 1 %로 나타났으며, 이에 따라 타입 B 불확도는 0.6 %로 평가되었다. 압력계를 이용하여 최대 90 MPa의 압력을 측정할 때 최소 눈금 단위는 0.1 MPa로, 이는 상대 값으로 0.1 %에 해당한다. 해상도는 이 최소 눈금의 절반이므로, 삼각형 분포를 고려하여 2√6으로 나누어 타입 B 불확도를 0.02 %로 계산하였다. 투과 셀의 온도는 25 °C의 일정한 온도로 유지되었으며, 온도 변동 범위는 ± 1 °C였다. 이를 바탕으로 실험실 온도 변화에 따른 타입 B 불확도가 평가하였다.
이동형 압력계의 정확도는 제품 스펙에 의해 0.1 %이며, 직사각형 분포를 가정하여 불확도는 0.06 %로 계산되었다. 최대 1,200 mbar 측정 가능 압력에서 최소 눈금 단위는 0.1 mbar이며, 이에 해당하는 불확도는 0.01 %이다. 해상도는 이 최소값의 절반이므로, 삼각형 분포를 적용하여 타입 B 불확도는 0.004 %로 결정되었다. 압력계 용기 내부의 빈공간 부피는 이전 연구에서 Boyle의 법칙으로 측정한 결과와 버니어 캘리퍼로 측정한 결과의 편차에 의해 불확도는 0.9 %이다.68)
이와 같은 분석을 통해, 각 개별 불확도의 제곱합의 제곱근을 이용하여 결합 표준 불확실성을 계산하였다. 상대 확장 불확도는 정규 분포를 가정하고, 신뢰 수준 95%에서 coverage factor 2.1을 곱하여 결정되었다. 최종적으로, 고압 수소 투과 실험 시스템의 측정에 대한 확장 불확도는 최대 11.2 %를 초과하지 않는 것으로 평가되었다.
4. 결 론
본 연구에서는 최대 100 MPa의 고압 수소 환경에서 고분자 실링 소재의 수소 투과 특성을 평가하기 위해 in-situ 수소 투과 실험 시스템을 개발하였다. 이 시스템은 고압 수소 주입 후 시간에 따른 투과된 수소의 양을 실시간으로 모니터링하며, 압력 분석법을 이용하여 투과된 수소를 정량적으로 측정할 수 있도록 설계되었다. 또한, 자체 개발한 투과-확산 분석 프로그램을 활용하여 투과도, 확산도, 용해도 등의 투과 특성을 정밀하게 평가할 수 있도록 하였다.
개발된 실험 시스템을 이용하여 silica 필러를 함유한 EPDM의 고압 수소 투과 특성을 5~90 MPa 압력 범위에서 평가하였다. 그 결과로, 압력이 증가할수록 투과도와 확산도는 감소하였으며, 용해도는 압력과 관계없이 일정하였다. 이러한 결과는 고분자 내 수소 투과 거동이 자유 부피 감소에 따른 확산 제한의 영향을 크게 받으며, 용해도 변화보다는 확산도 감소가 투과도 감소의 주요 원인임을 시사한다. 결론적으로, 고압 환경에서 고분자 소재의 수소 투과 특성은 단순한 수소 기체의 확산 거동뿐만 아니라 고분자와 필러로 구성된 내부 구조 및 압력에 의한 내부 구조 변형 등 다양한 요인의 영향을 받는다. 따라서, 고압 수소 환경에서 실링 소재로 사용되는 고분자의 수소 투과 특성을 보다 정확하게 분석하기 위해서는 수소 확산, 내부 구조, 자유 부피 변화를 고려한 복합적인 모델링이 필요함을 확인할 수 있었다.
본 연구에서 개발된 고압 수소 투과 실험 시스템과 전용 프로그램을 통한 분석 기법은 고압 수소 환경에서 고분자 소재의 밀봉 성능을 정량적으로 평가하는 데 유용하게 활용될 수 있으며, 향후 고압 수소용 실링 소재의 개발을 위한 중요한 도구로 활용될 수 있다. 다만, 유형 A (type A) 오차 및 측정 안정성에 따른 불확실성을 줄이기 위한 추가 연구가 필요하며, 이를 통해 보다 정밀한 수소 투과 특성 분석이 가능할 것으로 판단된다.






