1.서 론
질화 알루미늄(이하 AlN)은 광대역 밴드 갭 에너지 (6.2 eV), 큰 유전상수(9.14)를 가지면서 우수한 열적, 화 학적 안정성 등의 특징을 가지기 때문에 반도체 또는 광전 소자에서 매력적인 재료이다. 이런 특징으로 인해, deep-UV LED와 광검출기(photodetector), 고유전 게이 트 유전막(high-k gate dielectric) 등에 사용되고 있다. 뿐만 아니라, AlN은 압전성(piezoelectricity)과 초전성 (pyroelectricity)과 같은 기능을 갖고 있어서 마이크로전 자기계 시스템(micro-electro mechanical system, MEMS) 소자에서 액츄에이터(actuator) 또는 센서 기능을 나타내 는 박막으로 사용되고 있다. 고품질의 결정질 AlN 박막 은 주로 스퍼터링이나 금속 유기 화학적 기상 증착법 (metal organic chemical vapor deposition), 분자선 에피 택시(molecular beam epitaxy) 등의 방법으로 고온 (>1,000 ºC)에서 제조되고 있다. 하지만 이런 물리 기상 증착 공정이나 고온 화학 기상 증착 공정은 3차원 구 조에서의 두께 조절이 어렵고, 고온으로 인해 반도체 또 는 디스플레이 공정에는 적합하지 않은 한계가 있다.1-4)
한편, 원자층 증착법(atomic layer deposition, ALD)은 기체 상태의 전구체(precursor)가 주입되어 표면에 흡착 된 분자들 간의 리간드 교환(ligand exchange) 반응을 통 해 박막을 형성하는 원리이다. 표면에 화학 반응을 통 해 흡착된 분자들 외에는 더 이상 반응하지 않는 자기 제한적 반응(self-limiting reaction)으로 원자층 수준으로 두께 조절이 용이하고, 증착된 막의 균일도와 단차 피 복성(step coverage)이 우수하며 공정 온도가 낮다는 장 점이 있다.5,6)
AlN 박막을 증착하기 위한 ALD 방법은 크게 열적 원 자층 증착법(thermal ALD)과 플라즈마 강화 원자층 증 착법(plasma enhanced ALD, PEALD)으로 나뉜다. 전 통적인 thermal ALD는 공급된 열에너지 만으로 전구 체와 반응 가스(reactant) 간의 리간드 교환 반응이 이 루어진다. AlN 박막 형성을 위한 thermal ALD에서는 일반적으로 NH3가 질소 소스가 되는 반응 가스로 사용 되고, 알루미늄의 전구체로는 aluminum chloride(AlCl3), trimethylaluminum[TMA, Al(CH3)3], tris(dimethylamido) aluminum(TDMAA, Al2[N(CH3)2]6) 등이 사용되고 있다. 한편 PEALD에서는 전구체와 반응가스의 라디칼 형성으 로 ALD 반응성을 향상시킬 수 있어서 thermal ALD 보 다 낮은 온도에서 공정이 가능하다.1,5,7,8)
본 연구에서는 ALD 기술을 이용하여 증착된 AlN 박 막에 대한 최근 연구 결과를 정리했다. 2장에서는 thermal ALD에 관한 연구에서는 Al 전구체의 종류와 증착 온 도에 따른 박막의 특성에 대한 연구 결과를 정리했다. 3장에서는 PEALD로 형성한 AlN 박막에 대해서 플라즈 마의 발생 방식과 반응가스의 종류에 따른 연구 결과를 분류하여 정리했다. 4장에서는 ALD 방법으로 형성한 AlN 박막을 전자 소자로 응용한 최신 연구 결과들을 소 개했다. 끝으로 5장에서는 ALD로 성장시킨 AlN 박막 연구에 대한 결론 및 전망을 나타냈다.
2. 열적 원자층 증착법(Thermal ALD)
전통적인 ALD는 전구체의 화학적 흡착과 리간드 교 환 반응을 위해 열에너지만이 사용되었다. Thermal ALD 과정은 전구체의 분할적 주입으로 구성되어 있다. AlN 박막 증착의 경우, 알루미늄과 리간드가 결합된 분자 구 조를 갖는 전구체를 주입하고 난 후, 기판에 흡착되지 않은 잔여 가스들은 불활성 가스로 퍼지 시켜 제거한 다. 이후 질소 소스가 되는 암모니아와 같은 반응가스 를 주입하여 Al-N의 결합을 형성하고, 잔여 가스와 반 응 부산물은 불활성 가스로 제거하는 것을 한 사이클로 하여 AlN 박막의 증착이 진행된다.
Thermal ALD에서 중요한 변수는 전구체 종류와 온도 이다. Thermal ALD는 반응에 필요한 에너지로 열에너 지만 공급되기 때문에 전구체의 반응성이 중요한 요소 가 된다. 한편 완전한 ALD반응에서는 일정한 온도 범 위 내에서 증착속도가 일정하기 때문에, 이를 ALD 공 정 온도 범위 또는 줄여서 ALD 윈도우라 한다. 다른 의미로는 ALD 윈도우 내에서는 전구체의 자기제한적 (self-limited) 반응이 이루어져 ALD 반응이 발생하고 균 일한 속도로 증착되는 박막을 얻기 때문에 이 공정 온 도 범위를 찾는 것이 중요하다. 이번 장에서는 알루미 늄 전구체의 종류와 공정 온도에 따른 AlN 박막의 특 성을 설명하였다.5,6,9)
2.1 알루미늄 전구체
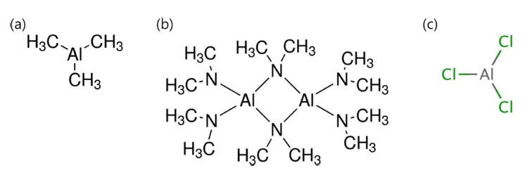
일반적인 알루미늄 전구체로는 trimethylaluminum[TMA, Al(CH3)3]가 주로 사용되지만 전구체 내에 질소를 함유 하고 있는 tris(dimethylamido) aluminum(TDMAA, Al [(CH3)2N]4)나 탄소를 사용하지 않는 aluminum chloride (AlCl3) 등의 전구체도 사용된다. 전구체의 종류에 따 라 ALD 윈도우가 달라지게 된다. TDMAA 또는 tris (diethylamido) aluminum(TDEAA, Al[(C2H5)2N]4) 전구 체를 사용할 때 ALD 윈도우는 약 150~250 ºC이고, TMA 는 300~450 ºC, AlCl3의 경우는 500~550 ºC로 알려져 있다. AlCl3와 같은 할라이드(halide) 계열의 전구체를 사 용하면 비교적 고온(350~550 ºC)에서 ALD 증착이 이루 어지고, alkylamide 기반의 화합물을 사용하면 그보다 150~200 ºC 정도 낮은 온도에서 증착이 가능하다.10) 각 precursor의 분자구조를 Fig. 1에 표시했다. 또한 전구체 의 반응성 또는 리간드와 그 반응에 의한 불순물 등에 의해 전구체에 따라 막 특성이 달라지게 된다. 이런 막 특성을 전구체 별로 Table 1에 정리하였다.

Fig. 1
Molecular structure of aluminum precursor for (a) trimethylaluminum, (b) tris(dimethylamino)aluminum, and (c) aluminum chloride.
2.1.1 Trimethlaluminum(TMA)
TMA와 NH3를 Al 전구체와 반응가스로 사용하면, 핵 생성 및 성장(측면 성장 우세)에 의한 배양(incubation) 영역과 선형적인 성장(linear growth) 영역에서 두께 방 향 성장이 우세한 영역으로 나뉜다.8) H. Van Bui 등의 연구진의 보고에 따르면 공정 온도가 증가하면서 열분 해 반응이 일어나면서 자기제어(self-limiting) 반응에서 비 자기제어(non-self-limiting) 반응으로 변한다.11) 원자힘 현 미경(atomic force microscopy, AFM) 분석 결과 AlN 박막 표면은 granular surface이며 root-mean-square(rms) 거칠기는 ~0.37 nm로 관찰되었다. AlN 박막의 단면 전 자현미경 이미지를 통해 높은 균일도(uniformity)와, 35:1 의 종횡비를 갖는 구조에서 거의 100 %에 가까운 단차 피복성(step coverage)을 갖는 것으로 관찰되었다. Timeof- flight elastic recoil detection analysis(TOF-ERDA)를 통해 AlN 막 내에 5~6 at% C, 11 at% H와 같은 불순 물을 함유하는 것으로 나타났고, 이와 유사하게 X-선 분 광법(X-ray photoelectron spectroscopy, XPS)을 이용한 깊이 분석도(depth profiling)에서도 CH3에 의한 높은 C 농도(~6 %), 낮은 O 농도(~1 %)가 나타났다. 또한 본 연 구진의 결과에 따르면, TMA로 증착한 AlN막의 X선 회 절(X-ray diffraction, XRD) 패턴과 단면 투과전자현미경 (transmission electron microscopy, TEM) 사진은 공정 온도별로 비교적 적은 양의 wurtzite 상을 포함하는 비 정질 상태로 확인되었다. Fig. 2에 thermal ALD로 증착 한 AlN 박막의 XRD 패턴과 TEM 이미지를 나타냈다. 580 nm 파장에서 굴절률은 1.97-2.17로 온도가 증가할수 록 굴절률도 증가하였다. 밴드갭 에너지는 5.8±0.1 eV로 분광 엘립소미터(spectroscopic ellipsometer) 분석을 통해 나타났다.4,8,11-15)

Fig. 2
(a) X-ray diffraction in θ–2θ mode and (b) cross-sectional TEM image of thermal ALD-grown AlN using TMA and NH3.53)
2.1.2 Tris(dimethylamido)aluminum(TDMAA), Tris(diethylamido) aluminum(TDEAA)
TDEAA와 NH3(또는 N2H4)를 사용하여 AlN 박막을 형성하는 반응에 대한 모식도를 Fig. 3에 나타냈다.16-19) TDMAA가 주입되면 AlN 표면의 NH와 같은 활성화 자 리에 흡착이 일어나면서 표면에 ethylamine[(C2H5)N]기로 이루어진 활성화 자리를 만든다. 이후 NH3 또는 N2H4 가 주입되면 표면에 흡착된 ethylamine기와 반응하면서 NH2C2H5가 전구체에서 떨어지고 Al-NH 결합이 형성된 다. TDEAA를 Al 전구체로, NH3(또는 N2H4)를 반응가 스로 사용할 때 150~280 ºC 온도 범위에서 증착률은 상 이한 경향성을 보인다. NH3의 경우 온도 증가에 따라 증 착 속도가 증가하면서 220 ºC에서 가장 높은 증착속도 를 보이나, N2H4를 쓴 경우에는 대체적으로 증착 속도 가 일정하다가 260 ºC 이상에서 증착속도가 크게 증가 했다. AlN 막은 0.81~1.8 A/cycle의 증착률로 한 cycle당 sub-monolayer(AlN monolayer 이론 두께 2.5 Å 이하)가 증착되는 것으로 나타났고, TMA와 다르게 핵 생성 단 계에 의한 incubation은 거의 없었다. X-선을 이용한 밀 도 및 거칠기 분석 결과 2.1 g/cm3, 거칠기 6~9 Å의 막 이 형성된 것으로 확인되었다. 화학적 분석을 통해 AlN 막 내부에 ~5 at% O, <1 at% C, ~26 at% H를 함유하 고 있으며 N/Al ratio는 약 1.3으로 N-rich한 막인 것으 로 나타났다. XRD 분석을 통해서 AlN은 비정질임을 확 인하였다. TMA를 사용한 AlN 박막과 마찬가지로 633 nm 파장에서 증착 온도가 증가할수록 굴절률은 1.84에 서 1.89로 증가하였다. 또한 이 AlN 막은 10 kHz에서 7.4~7.7의 유전상수와 5.3~5.6 MV/cm의 항복 전기장 (breakdown field)을 나타냈다.
2.1.3 AlCl3
AlCl3를 사용하면 TMA 공정온도보다 고온임에도 불 구하고 0.4(450 ºC)-1Å/cycle(550 ºC)의 낮은 증착률을 나 타내었다. AlCl3와 NH3의 불완전한 반응으로 인한 염소 잔여물이 AlN 막의 깊이가 증가할수록 증가하였고, 증 착 온도가 증가할수록 Cl은 감소하였다.2,10,14,20) 550 ºC에 서 증착한 AlN 에서도 Cl이 발견되는 것은 550 ºC에서 NH3 반응성이 Cl을 제거하기에 충분하지 않기 때문이다 . 탄소 불순물은 온도에 무관하게 1 at% 미만이거나 검 출되지 않았다. AlCl3와 NH3를 사용하면 Al/N 비율은 ~0.9로 N-rich한 AlN 막이 증착된다. XRD 분석 결과, 기판 앞부분은 비정질상의 AlOxNy이 형성되었고 뒷부분 은 hexagonal AlN polycrystalline이 형성되어 다른 전구 체들에 비해 결정성에 대한 균일도가 떨어지는 것을 확 인할 수 있다. 또한 증착된 AlN 박막은 각 증착 온도 가 500, 550 ºC 일 때 rms 거칠기가 1.7 nm, 1.3 nm으 로 측정되었다. 앞서 다른 전구체들과 같이, 632.8 nm 파 장에서 굴절률은 1.88에서 2.05으로 증착 온도가 증가함 에 따라 증가하였다.
2.2 온도
Thermal ALD 기술에서 자기제한적 반응을 제어하는 가장 주요한 변수는 공정온도이다. ALD 온도 윈도우 보 다 저온일 경우 온도가 떨어짐에 따라 증착률이 증가하 거나 감소한다. 온도 감소에 의한 증착률 증가의 원인 은 여러 층의 흡착과 낮은 증기압을 가진 전구체의 응 결(condensation)에 의하여 발생하고, 반면에 온도 감소 에 의한 증착률 감소는 성장 반응이 지나치게 느리거나 반응 에너지의 부족으로 반응이 완전히 이루어지지 않 아 발생한다.5,6) 고온에서 온도 증가에 따른 증착률 감 소는 표면 종의 탈착(desorption) 또는 손실에 의해 발 생하고, 온도 증가에 따른 증착률 증가는 높은 열에너 지에 의한 전구체의 열분해(thermal decomposition)로 인 해 발생한다.
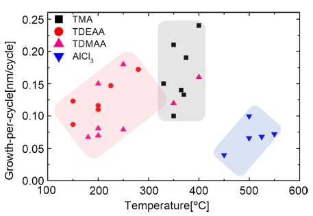
앞서 언급한 것처럼 Al 전구체의 종류에 따라 ALD 윈도우가 달라지게 된다. Al 전구체별로 온도에 따른 ALD 사이클당 증착속도(growth-per-cycle, GPC)를 Fig. 4에 정리하여 나타냈다. TDMAA와 TDEAA는 주로 150 ~250 ºC의 낮은 온도에서 증착이 일어나고, TMA는 약 350~400 ºC 영역에서 비교적 높은 증착속도를 나타냈으 며, AlCl3는 450~550 ºC의 고온 영역에서 비교적 낮은 속도로 AlN 박막의 증착이 이루어지는 것을 볼 수 있다.
Thermal ALD로 증착한 AlN은 증착 온도에 따라 막 특성 역시 다르게 된다. 먼저 TMA 전구체를 사용한 AlN 막의 증착 사이클에 따른 박막 성장 속도를 보면, 모든 온도에서 핵 생성과 성장을 위한 incubation 영역 이 나타난다.8) D. Riihela 등의 연구진 보고에 의하면 300 ºC부터 NH3는 흡착물인 TMA와 반응하기 시작한다.4) H. Van Bui 등의 보고에 의하면 370 ºC 이하에서 자기 제어 반응(self-limiting reaction)이 일어나고 370 ºC보다 고온에서는 비자기제어 반응(non-self-limiting reaction)으 로 막이 증착된다.8) Fig. 5(a)는 TMA 전구체 사용 시 온도에 따른 AlN 박막의 증착률을 보여준다. Fig. 5(b) 는 TMA 주입 시간을 1초에서 4초까지 증가 시켰을 때, 온도별 증착속도를 나타냈다. Fig. 4, 5에서 보이는 것 과 같이, TMA 전구체는 증착온도에 따라 증착률이 크 게 변화하여 공정온도에 민감한 것을 확인할 수 있다. AFM을 이용해 표면 형상을 분석한 결과 1 nm AlN은 표면이 섬(island) 형태로 구성되어 있고, 핵생성과 성장 이 동시에 일어나 2 nm AlN은 다양한 크기의 섬에 의 해 표면이 덮이는 균일한 도포성을 나타냈다. 3 nm AlN 에서는 새로운 핵이 생성되지 않고 섬 크기가 증가하는 것을 확인할 수 있었다. 이는 성장 곡선에서 incubation 영역에서는 섬의 측면으로 성장이 우세하고 선형 성장 구간에서는 두께방향으로 성장이 우세하다는 것을 뒷받 침한다.11) 증착 온도가 증가함에 따라 rms roughness는 0.14 nm(350 ºC)에서 0.17 nm(450 ºC)로 증가하는 것으로 나타났다.15) AlN 박막의 단면 SEM 분석을 통해 350 ºC 에서 증착한 막은 높은 균일도를 나타냈고, 420 ºC에서 증착한 막은 거의 100 %에 다다른 계단 도포성을 나타 냈으나, 결정성으로 인해 거친 막이 형성된 것으로 확 인되었다.8,13) 이어서 XRD 분석 결과 증착 온도가 증가 할수록 결정성이 증가하는 것을 확인할 수 있었다. 350 ºC에서 증착된 막은 적은 양의 wurtzite phase가 함유된 비정질로, 375 ºC부터 hexagonal phase의 polycrystalline 으로 구성되었으며 420 ºC 이상에서는 결정성이 뚜렷하 게 관찰되었다.4,8,13,15)
한편 350 ºC에서 증착된 AlN은 XPS와 TOF-ERDA 분석을 통해 stoichiometric AlN(Al0.55N0.45) 조성비를 갖고, ~6 at% C, ~1 at% O, ~15 at% H의 불순물을 함유하고 있는 막으로 증착되었으며, 비교적 고온인 425 ºC에서 증착된 AlN은 8 at% C, ~10 at% H를 함 유하고 있는 것으로 나타났다.4,8,12,14) Fig. 6은 전구체 및 증착 온도에 따라 박막 내 불순물 농도의 변화를 나 타낸 것이다. Fig. 6(a)는 TMA 사용시 XPS 분석결과 로 공정온도에 따른 박막 내 탄소와 산소 불순물의 농 도를 나타낸 도표이다. 공정온도가 증가함에 따라 탄소 함유량은 증가하는 반면 산소 함유량은 감소하는데, 이 는 고온에서 TMA의 CH3 리간드의 열분해가 일어나 C-containing species를 형성하기 때문이다. 반면 저온에 서 산소 함량이 높은 이유는 TMA와 NH3의 낮은 반 응속도로 인한 챔버 내 잔류 산소종에 의한 산화 때문 이다. Fig. 6(b)는 AlCl3 전구체 사용 시 증착온도에 따 른 AlN 박막 원소별 농도이며, TMA와 달리 온도가 증 가할수록 C, O, Cl 등의 불순물 농도가 줄어드는 것으 로 확인되었다.11,20)

Fig. 6
The impurity concentration in AlN films with increasing growth temperature (a) TMA and (b) AlCl3.11,20
또한 증착 온도가 증가하면 굴절률이 증가한다. 632.8 nm 파장 엘립소미터에서 분석한 결과, 350 ºC에서 증착 된 83 nm 두께의 박막에서 굴절률은 2.08였고, 밴드갭 에너지는 5.8±0.1 eV였다.11,12) 한편 325 ºC에서 증착된 막의 굴절률은 1.97, 425 ºC 증착 막의 굴절률은 2.17이 였다. 온도가 낮을수록 산소 함유량이 증가하여 낮은 굴 절률의 산화물 결합이 AlN 막 내부에 형성되어 굴절률 을 낮추게 된다고 이유를 밝히고 있다.4)
3. Plasma-enhanced ALD
플라즈마는 열에너지만으로는 불가능한 ALD 표면 반 응을 저온에서 유도하는 데 도움이 된다. 특히 질화물 박막에서 질소의 소스인 암모니아나 N2/H2 혼합 가스 분 해를 위해 고온이 필요하기 때문에, 저온에서 질소의 낮 은 분해 효율(cracking efficiency)을 극복하기 위해 플라 즈마가 사용된다. PEALD는 플라즈마에 의해 활성화된 reactive nitrogen(N*)으로 인해 반응성이 높기 때문에 thermal ALD보다 저온에서 질화막을 증착할 수 있다.5,6,8) 2010년대부터 AlN, GaN, InN과 같은 이성분계 질화 막 뿐만 아니라, AlGaN, InGaN과 같은 혼합막, 도핑, nanolaminate와 같은 여러 형태의 질화막이 PEALD 방 법을 통해 증착된 결과가 보고 되었다.21)
이 장에서는 PEALD로 증착한 AlN 막의 특성을 플 라즈마 반응가스와 발생 장치의 종류에 따라 분류하였 고, Table 2에 정리하여 나타냈다.
3.1 플라즈마 반응가스
PEALD로 AlN막을 증착하는 경우 대부분 Al 전구체 로 TMA를 사용하고 반응가스로 NH3 또는 N2/H2 플라 즈마를 사용한다. PEALD를 사용하면 증착온도를 100- 200 ºC 정도 낮출 수 있어 고온에 취약한 기판에 적합 하다. Fig. 7를 보면, NH3를 플라즈마 반응가스로 사용 하는 경우 증착률이 N2/H2(10~50 % H2)를 사용하는 경 우보다 높게 나타났다. 이는 NH3 플라즈마의 활성화된 가스 라디칼(radical)이 NH, NH2, NH3로 N2/H2에 비해 다양하여 라디칼과 박막 표면에 흡착된 리간드와의 반 응성이 더 높기 때문이다. 또한 thermal ALD와 달리 반 응가스가 다른 두 PEALD에서 모두 incubation 영역이 존재하지 않았다.
박막의 결정성을 분석한 결과 PEALD로 형성한 AlN 박막은 thermal ALD에 비해 185 ºC의 저온임에도 불구 하고 hexagonal wurtzite phase을 갖는 것으로 확인되었 다. Fig. 8(a)은 NH3와 N2/H2 plasma를 사용하였을 때 GIXRD 분석을 통한 peak intensity 차이를 보여준다. NH3 플라즈마의 경우는 저온(100~185 ºC)에서 (100) hexagonal phase이 우세하고 고온(≥400 ºC) 에서는 (101)과 (002) 상이 도드라지는 것 또한 확인할 수 있었다.3,8,13,22-30)
한편 화학 분석을 통해 불순물 농도를 알아본 결과, NH3 플라즈마를 사용한 AlN 박막 내에서는 충분히 반 응이 일어나 수소나 탄소와 관련된 불순물이 거의 존재 하지 않았고, 산소는 표면에서만 높게 나타났다. 반면 N2/ H2를 사용한 경우 챔버 내에 잔류하는 가스로부터 야기 되는 반응성이 높은 산소 종에 의해 탄소 및 산소 관 련 불순물이 약 3~3.5 % 존재하는 것을 확인하였다. 또 한 깊이 방향 화학 분석을 통해 NH3를 사용한 AlN은 Al/N 비율이 1:1.1이었고, N2/H2를 사용한 경우는 1:1.2 로 N2/H2에서 약간 더 N-rich AlN 박막이 증착된 것을 확인할 수 있었다.
박막 표면의 형상을 분석한 결과에서는, NH3 plasma 와 N2/H2 plasma를 각각 사용했을 때 약 90 nm 두께의 AlN 막의 rms roughness는 각각 1.33 nm와 1.18 nm였 다. N2/H2 plasma는 표면 roughness를 다소 향상시키는 것으로 확인되었다. 200 ºC에서 증착한 AlN의 632 nm 파장에서 굴절률은 NH3 plasma 사용시 1.98, N2/H2 plasma 사용시 1.99로, bulk AlN과 거의 비슷한 값을 가지며 다 른 플라즈마 반응가스에 의한 두드러진 변화는 나타나 지 않았다.3,8,22-25,27,29,31,32)
한편, PEALD로 AlN 막을 증착할 때 TMA가 아닌 AlCl3를 Al 전구체로 사용하여 증착하는 연구도 보고되 었다.33-35) TMA를 사용하게 되면 AlN 막 내에 C, H 관련 불순물이 잔존하여 막 특성에 영향을 주기 때문에, AlCl3를 사용하면 이러한 불순물을 낮출 수 있다. AlCl3 과 NH3 플라즈마를 사용하면 thermal ALD에서와 마찬 가지로 TMA를 사용하는 PEALD 보다 공정 온도가 150 ºC 이상 높아진다. 350 ºC에서 증착률은 0.42 Å/cycle로 비교적 낮게 확인되었다. Fig. 9은 AlCl3와 NH3 플라즈 마를 사용하여 증착한 AlN 박막의 조성 및 불순물 농 도를 TOF-ERDA를 이용해 분석한 결과이다. 표면에 흡 착한 탄소가 보이나 막 내부에는 탄소와 관련된 peak이 관찰되지 않는 것을 확인할 수 있다. 화학 분석 결과 약 0.3 at% Cl과 7 at% H를 함유하는 것으로 나타났다.33-35)
3.2 플라즈마 발생 장치
PEALD에서 주로 사용되는 플라즈마 발생 장치는 크 게 유도 결합형 플라즈마(Inductively-coupled-plasma, ICP) 방식과 축전 결합형 플라즈마(Capacitively-coupledplasma, CCP) 방식으로 나뉜다. ICP 방식은 구조적으 로 코일 형태의 안테나가 있으며, 인가된 전류가 코일 에 흐르며 유도 전기장을 형성하여 플라즈마를 발생시 킨다. 반면에, CCP 방식은 표면에 분포된 전하로 형성 된 축전 전기장에 의해 플라즈마를 발생시킨다. ICP 방 식의 PEALD로 형성시킨 AlN은 GIXRD 결과 저온에 서도 hexagonal wurtzite polycrystalline 상의 peak이 나 타냈지만, CCP 방식을 사용한 PEALD로 증착한 AlN은 300 ºC 이상에서 결정상의 회절 peak이 나타났고 결정 성이 크게 두드러지지 않았다. 일반적으로 CCP 방식에 비해 ICP 방식으로 형성한 플라즈마에서 라디칼 밀도가 높아서 반응성이 높은 것으로 알려져 있다. 그런데 CCP 방식의 일종에 해당하는 축전 결합형 중공 음극 플라즈 마(capacitively coupled hollow cathode plasma, HCP) 방식은 동일한 플라즈마 파워(300 W)에서 ICP보다 높은 라디칼 밀도를 갖기 때문에, HCP 방식의 PEALD를 이 용한 AlN는 ICP 방식보다 큰 결정성을 나타내는 것을 Fig. 8(b)를 통해 확인할 수 있었다.24,27)
화학적 분석을 통해 불순물 농도를 비교해 본 결과에 서는, ICP 방식의 AlN 박막에서는 약 4 at% 산소와 3 at% 탄소 불순물이 존재하였고, CCP 방식의 AlN 박막 에서는 약간 더 낮은 약 3 at% 산소와 2.5 at% 탄소 불 순물을 확인하였다. 원격 플라즈마(remote plasma)를 사 용하면 산소와 수소 관련 불순물이 거의 없는 AlN 박 막이 증착되었다. HCP 원격 플라즈마를 사용 시 불순 물 농도를 Fig. 9에 나타냈다. NH3와 N2/H2를 반응가스 로 사용한 두 AlN 박막의 경우 모두 낮은 산소, 탄소 불순물 함량을 나타냈음을 확인할 수 있다.
PEALD로 증착한 AlN 박막의 굴절률을 플라즈마 발 생 장치에 따라 비교해 본 결과, ICP 방식의 PEALD를 사용하였을 때 1.87, CCP 방식에서 2.04로 CCP 방식에 서 더 높은 굴절률을 보였다. 이는 CCP 방식을 사용하 였을 때, 잔존하는 산소 불순물의 상당량이 결정립계에 분포되었기 때문인 것으로 알려졌다.23,24,26,27,29-33,35,36)
정전용량-전압(capacitance-voltage, C-V) 측정을 이용한 전기적 특성 분석을 통해, ICP 방식을 사용한 AlN 박막 은 7.1의 유전상수와 0.4 V의 문턱 전압(threshold voltage) 를 나타냈고, 전류-전압(current-voltage, I-V) 측정으로 항 복 전기장(breakdown field)이 10 MV/cm 이상으로 높게 나타나는 것을 확인하였다. 반면에 HCP 방식을 사용한 AlN 박막의 경우에는 6.6의 유전상수를 나타냈고 문턱 전 압은 -0.1 V였다. I-V 측정에서 항복 전기장은 3.23MV/ cm로 NH3 플라즈마를 사용할 때보다 훨씬 낮은 것으로 확인되었다. (002)로 정렬된 AlN이 (100)로 정렬된 AlN 보다 공공과 결함이 적어 낮은 문턱전압을 가지기 때문 이다.24,30,37)
4. 전자 소자 응용
Thermal ALD 또는 PEALD를 이용하여 증착한 AlN 박막은 III-V족 기반의 전자 소자에 응용되고 있다. 주 로 다결정질이나 비정질 구조를 갖는 AlN 박막이 전자 소자의 고유전막이나 희생층 또는 보호층 역할을 하는 passivation 층으로 쓰이고 있다. AlN/GaN의 계면에 발 생하는 고이동도를 갖는 2차원 전자가스를 이용하는 고이 동도 트랜지스터(high-electron-mobility transistor, HEMT) 나 GaN, GaAs와 같은 III-V족 화합물 반도체 기반의 MOS(metal-oxide-semiconductor) 구조의 전자 소자에서 계면 특성을 향상시키거나, 산화를 막는 passivation 층 으로 쓰인다. 최근에는 AlN 박막과 같은 질화물 박막을 저항변화층으로 사용하는 저항변화메모리 또는 멤리스터 (memristor) 소자에도 쓰인 바 있다. Fig. 10에는 ALD 로 성장시킨 AlN 박막을 응용한 전자 소자의 예시를 나 타냈다.
ALD로 증착한 AlN 박막은 저온 공정임에도 비교적 적은 양의 산소를 갖기 때문에, HEMT 소자의 GaN/AlN 표면이나, GaN 또는 GaAs 기판에서 AlN passivation 을 해 주게 되면 기판 표면의 산화층에 의해 발생하는 oxygen-induced slow-response interface state를 감소시 키고 전자가 게이트 전극에서 GaN층의 표면으로 주입 되는 것을 방지하는 효과적인 장벽을 제공한다.22)
또한 Kim 등의 연구진에 의하면, GaN, InP, 4H-SiC, Ge 등 다양한 종류의 반도체 기판에 AlN을 절연층으로 사용한 MISCAP(metal-insulator-semiconductor capacitor) 구조의 쇼트키 장벽(Schottky barrier) 다이오드 소자에서, AlN 절연층으로 인해 전자의 장벽 높이(barrier height) 가 증가하고 역방향 전류(reverse leakage current)가 감 소하면서 쇼트키 다이오드의 정류 특성을 개선시켰다. Fig. 10(a)에는 Pt/AlN/GaN MOSCAP 구조의 다이오드 에서 thermal ALD로 형성시킨 AlN 박막의 두께에 따 른 다이오드 특성을 비교하여 나타냈다. AlN 두께가 7.4 nm로 증가하면서 장벽 높이의 증가로 전류 레벨은 낮 아지지만, 정류 특성은 크게 개선되는 것을 볼 수 있다. 다이오드의 성능을 보여주는 ideal factor 역시 AlN/GaN 계면에서 interface trap density의 감소로 인해 이론값에 가까워지면서 계면 특성이 향상된 연구 결과가 발표된 바 있다.22,23,38-47)
AlN 박막은 저항변화메모리 또는 멤리스터의 저항변 화층에도 사용된다. 멤리스터는 전압이 인가되는 이력에 따라 절연막 내에 형성된 전도성 채널 내 이온들의 이 동으로 저항상태가 변하는 소자이다. AlN 박막을 저항 변화층으로 사용하는 멤리스터는 TiN을 포함한 다양한 전극에서 큰 저항비와 작은 소비전력으로 작동된다. Fig. 10(b)에 나타낸 바와 같이, 50 nm 선폭을 갖는 TiN/AlN/ Pt 크로스바 구조의 멤리스터에서 20 μA 이하의 낮은 동 작 전류를 보였다. 또한 AlN 멤리스터는 100 ps 미만의 극단적으로 빠른 동작 속도를 나타낸 바 있다. 하지만, 메모리의 쓰기/지우기 능력을 평가하는 endurance 시험 에서 105번 이하로 동작 되며, Ti, Al 전극과 같은 활성 전극에서 산소 불순물에 의한 신뢰성의 저하 문제 역시 나타나 전극 물질의 선택이 중요한 것으로 나타났다.1,48-51)
5. 결론 및 전망
AlN 박막을 증착하는 ALD 방식을 크게 thermal 방 식과 플라즈마 강화 방식으로 나눠, thermal ALD에서는 전구체의 종류 및 공정 온도, PEALD에서는 플라즈마 공 급원과 반응가스의 종류에 따른 AlN 박막의 성장 속도 와 막 특성, 불순물 농도에 대해 비교해 보았다. Thermal ALD의 경우 전구체에 따라 ALD 공정온도 윈도우가 크 게 달라졌는데, 상업적으로 가장 많이 쓰이는 TMA 전 구체는 350~400 ºC의 좁은 증착온도 영역에서 온도에 따 른 성장 속도가 크게 증가하는 경향을 보였다. 이는 TMA 전구체의 열분해 온도에 가까워지기 때문으로 GaN 또는 InN와 같은 다른 III-V족 질화물의 ALD 공정이 이 공정 윈도우보다 높은 온도 영역 또는 낮은 온도 영 역에서 증착이 이루어지기 때문에 3성분계 이상의 복합 질화물을 조성에 맞게 형성하는 데 큰 어려움이 따른 다. 이러한 측면에서도 그동안 PEALD를 이용한 AlN 박 막 형성이 주를 이루어 왔다. PEALD에서는 전구체에 따 른 성장 속도 차이가 크기 않으며, 비교적 저온에서도 incubation 영역 없이 박막을 형성할 수 있기 때문에 AlN 단일막이나 AlGaN과 같은 복합막의 형성에 유리하 다. PEALD에서는 플라즈마 공급원의 종류에 따라 라디 칼 농도와 반응성이 달라져서, AlN 박막의 결정성과 불 순물 농도가 비교적 크게 영향을 받았다.
한편 ALD로 형성한 AlN 박막은 Al2O3와 마찬가지로 passivation layer로써 III-V족 기반의 쇼트키 다이오드나 트랜지스터의 특성을 향상시키는 연구에 주로 쓰이고 있 다. 또한 AlN 박막은 멤리스터와 같은 저항변화현상을 이용한 신개념의 메모리 소자에도 쓰일 수 있기 때문 에, 향후 III-V족 반도체를 기반으로 하는 트랜지스터-멤 리스터 결합 소자를 구현하여, 고속 동작이 가능한 고성 능 전자 소자를 형성하는 것이 가능할 것으로 기대 된다.











