1. 서 론
연료전지는 연료의 화학적 에너지를 전기 에너지로 직접 변환하는 간단한 전기화학 장치이다. 그중 고체산화물 연료전지(SOFC)는 높은 효율(열 에너지 포함), 낮은 오염 물질 배출, 천연가스 및 바이오가스 등 다양한 연료 사용 가능성으로 인해 많은 주목을 받고 있다.1,2) 그러나 약 800-1,000 °C의 높은 운전 온도는 금속 부품 비용 증가 및 연료전지 수명 단축과 같은 문제를 초래한다. 이러한 문제를 해결하기 위해, 운전 온도를 500-700 °C의 중온 영역으로 낮추는 연구가 활발히 진행되고 있다. 또한 중온 영역에서 운전이 될 경우 on-off 사이클에서 발생하는 열화현상들을 크게 감소시킬 수 있어 부하 변동에 대한 유동성을 제공하여 고정형 뿐만 아니라 mobility 분야의 적용도 고려가 가능해질 수 있다는 장점을 가진다.3,4)
전해질 재료는 운전 온도를 낮추기 위해 매우 중요한 요소이다. 전해질은 전자전도 없이 높은 이온전도도를 가져야 한다. 현재까지 대표적으로 사용된 전해질 재료는 안정화 지르코니아, 안정화 세리아, 페로브스카이트계 화합물 등이다. 그중 이트리아 안정화 지르코니아(yttria-stabilized zirconia, YSZ)는 기존 SOFC에서 널리 사용되어 왔으며, 약 1,000 °C 이상의 고온에서 높은 이온전도도를 보인다.5) 중온용 SOFC (IT-SOFC)를 위한 전해질로는 가돌리늄 도핑된 세리아(gadolinium-doped ceria, GDC)나 사마리움 도핑된 세리아(samarium-doped ceria, SDC)도 가능성이 있으나, 환원 분위기에서는 전자전도 현상이 나타날 수 있으며 이를 통해 개방 회로 전압(open circuit voltage, OCV)를 감소시키는 원인이 된다.6)
이러한 산소 이온 전도계 전해질과 달리, 페로브스카이트계 양성자 전도체는 H+가 전해질을 통과할 수 있게 한다. 양성자 전도는 산소 이온 전도에 비해 활성화 에너지가 낮아 중온 영역에서도 우수한 전도성을 보일 수 있다.7,8) 또한, 생성물인 수증기가 양극이 아닌 음극에서 발생하기 때문에 연료 이용 효율이 증가한다. Ba(Zr0.1Ce0.7Y0.2)O3-δ(BZCY)는 양성자 전도 전해질 재료로서 우수한 전도성과 화학적・열적 안정성을 갖춘 유망한 소재로 많은 연구들에서 보고되고 있다.8) 그러나, BZCY 소재는 소결성이 낮아 치밀화를 위해서는 1,550 °C 이상의 고온에서 소결이 되어야만 하는 문제를 가지고 있어 셀 제작에 있어 어려움이 따른다.
SOFC의 형태는 평판형(planar)과 원통형(tubular)으로 나눌 수 있다. 평판형은 제조가 용이하고 전류 경로가 짧아 원통형보다 출력 밀도가 높지만, 양극과 음극의 기계적 안정성을 위해 두께를 증가시켜야 하므로 재료 비용이 상승한다. 반면, 원통형 전지는 기계적 강도가 우수하고 밀봉이 간편하여 대형화에 유리하다.9,10) 원통형 지지체 제작에는 슬립캐스팅, 페이스트 압출 등의 방법이 사용되며, 그 중 페이스트 압출법은 균일한 밀도를 갖는 복잡한 형상의 튜브를 신속하게 제조할 수 있는 장점이 있다.11,12,13,14)
본 연구에서는 소결성이 낮은 BZCY 소재를 공침법에 의해 나노입자로 합성하여 분말을 제조하였고, BZCY 나노입자를 전해질로 적용한 Ni-BZCY/AFL/BZCY/LSCF-BZCY 셀 형태의 원통형 구조 전지를 제작하여, 그 특성과 성능을 분석하였다. BZCY 전해질은 진공 슬러리 코팅법으로 코팅되었으며, 양극 지지체는 압출 공정으로 제작하였다. 제작된 셀에 대해서는 전지의 미세구조, 기공률 및 전기적 특성을 평가하였다.
2. 실험 방법
2.1. BZCY 분말 합성
Ba(Zr0.1Ce0.7Y0.2)O3-δ(BZCY) 나노분말은 공침법을 통해 합성되었다. Ba(NO3)2, ZrO(NO3)2・H2O, Ce(NO3)3・6H2O, Y(NO3)3・6H2O를 증류수에 용해시킨 후, 이를 (NH4)2CO3 수용액에 천천히 점적하면서 교반하였다. 생성된 침전물은 6 h 동안 반응을 지속한 후 물과 에탄올로 세척하고, 100 °C에서 24 h 건조하였다. 이후 공기 분위기에서 1,000 °C, 2 h 소결하였고, 소결된 분말은 에탄올에서 지르코니아 볼과 함께 24 h 볼밀 처리되었다.
2.2. 나노복합체 분말 합성
NiO/BZCY-BZCY 나노복합체는 변형된 Pechini 방법으로 제조되었다. Ni(NO3)2・6H2O 및 BZCY 금속 질산염 전구체에 citric acid와 ethylene glycol을 첨가한 뒤 60 °C에서 2 h 교반하였다. 이후 공침법으로 제조한 BZCY 분말을 첨가하고, 혼합용액을 240 °C에서 4 h 열분해시킨 후, 1,000 °C에서 3 h 소결하였다.
2.3. 원통형 전지 제조
양극 지지체는 NiO:BZCY=6:4 비율의 분말에 활성탄(10 wt%)을 기공재로 첨가하여 혼합 후, 바인더 및 물과 혼합하여 페이스트 형태로 만든 뒤 압출하였다. 1,100 °C에서 3 h 가소결 후, dip-coating으로 연료극 기능층(anode functional layer, AFL)을 코팅하고 1,200 °C에서 3 h 소결하였다. 전해질은 진공 슬러리 코팅법으로 도포한 뒤 1,450 °C에서 5 h 동시 소결되었으며, LSCF-BZCY 공기극은 dip-coating으로 도포한 뒤 1,100 °C에서 3 h 소결되었다. 이후 브레이징 캡을 활용하여 유도 브레이징으로 조립하였다. 제조된 단위전지의 세부 사항은 아래와 같다.
(1) 내경: 7.5 mm
(2) Anode 두께: 2 mm
(3) Anode 기능층: 10 µm
(4) 전해질: 10 µm
(5) 공기극: 30 µm
2.4. 특성 분석
X선 회절분석기(X-ray dffractometer, XRD, Rigaku Miniflex), 전계방출형 주사현미경(field-emission scanning electron microscope, FE-SEM), 수은 기공 분석기(Micromeritics Autopore II)로 소재의 결정상, 전지의 미세구조 및 기공분포들을 분석하였으며, 임피던스 분석기는 Solatron SI 1287과 SI 1260을 사용하였다. 주파수 범위는 0.1 Hz~1 MHz, 전압은 10 mV로 설정하였다. 전기화학 성능은 600-700 °C 범위에서 3 % 수증기가 포함된 수소 분위기 하에서 측정하였다.
3. 결과 및 고찰
Fig. 1은 공침법을 이용하여 합성된 BZCY분말 및 1,000 °C에서 소결된 연료극 기능층 분말의 X선 회절 패턴을 나타낸 것이다. Fig. 1에서 확인할 수 있듯이, 소결된 BZCY 분말은 이차상 없이 순수한 큐빅 페로브스카이트 구조를 가지며 결정화가 잘 되어 있는 것을 알 수 있다. 결정립 크기는 Debye-Scherrer 식에 의해 간단히 계산될 수 있으며, 식은 아래 (1)과 같이 나타낼 수 있다.
여기서, D는 결정립 크기, λ는 X선 파장(1.5406 Å), B는 반치폭(full width at half maximum, FWHM), θB는 Bragg 회절각을 의미한다. 이 식을 적용한 결과, 소결된 BZCY 분말의 결정립 크기는 61.8 nm, AFL용 NiO-BZCY 분말의 경우 48.6 nm로 계산되었다. 공침법으로 합성한 BZCY 분말이 Pechini 방법을 이용해 합성한 AFL 분말보다 결정립이 더 크게 성장하였음을 알 수 있으며, 이는 공침법에 의해 합성된 BZCY의 작고 균일한 입도(50-150 nm)에 기인된 것으로 여겨진다. 또한, 이러한 입자의 크기는 공동침전법의 경우 용액 내에서 금속이온들이 동시에 균일하게 핵이 생성됨에 따라 입자의 성장이 상대적으로 억제되는 반면 Pechini법 같은 경우 합성 시 고분자 네트워크 내에 금속 이온이 갇혀있는 형태로 소성과정에서 입자의 성장이 가속화 되는 경향이 있다는 점에서 차이를 보이는 것으로 사료된다.
Fig. 2는 다양한 소결 온도에서의 NiO-BZCY 연료극 튜브의 소결 전후 공극률을 나타낸다. 세라믹 재료의 일반적인 수축 특성에 기인하여 소결 온도가 증가함에 따라 공극률은 감소하였으며, 1,450 °C에서 소결된 튜브는 소결 전 약 28 %의 공극률을 보였고, 환원 후에는 약 35 %까지 증가하였다. 이는 산화 니켈(NiO)이 환원되어 금속 니켈(Ni)로 전환될 때의 부피 변화에 기인한 것으로 사료된다. Deng 연구그룹에서는 Ni-YSZ 연료극에서 최적의 공극률을 35-40 %로 보고하였으며, 기계적인 강도를 고려하였을 때 본 연구에서 형성된 35 %의 공극률은 적절한 것으로 판단된다.15) 이에 따라, 1,450 °C에서 BZCY 전해질과 동시 소결하더라도 NiO-BZCY 연료극은 충분한 공극률을 확보하여 농도 분극 저항 감소에 유리한 구조를 형성할 수 있음을 확인하였다.
Fig. 3은 1,450 °C에서 소결된 Ni-BZCY 원통형 연료극의 기공 크기 분포를 나타낸다. 평균 기공 크기는 약 0.37 µm로 측정되었으며, 이는 SOFC 연료극으로서 적절한 수치를 나타낸다.16) 또한 기공 크기 분포는 단봉형(monodispersed) 분포 특성을 보여주었으며, 이를 통해 원통형 연료극 내 균일한 기공 구조가 형성되었음을 확인할 수 있다. 이러한 균일한 기공 구조는 삼상계면(triple phase boundary, TPB) 면적의 증가를 유도하여 전극의 전기화학적 촉매 활성 향상에 긍정적인 영향을 줄 수 있다.
Fig. 4는 원통형 BZCY 단전지의 단면 SEM 이미지로, Ni-BZCY/AFL/BZCY/BZCY-LSCF의 다층 구조와 전해질층의 형상을 보여준다. 진공 보조 dip-coating 방식으로 도포된 BZCY 전해질층은 충분히 치밀한 구조를 형성하였으며, 전극-전해질 간 계면은 매우 잘 결합되어 있었다. 이는 Son 연구그룹의 보고와 일치하며, 진공 슬러리 코팅 시 전해질 슬러리 내 입자들이 연료극 튜브 표면의 미세한 결함을 채워줌으로써 계면 결합 특성이 개선되는 것으로 해석된다.17) 또한, 본 연구에서 적용한 공침법을 통해 BZCY 나노입자 분말을 합성하여 적용함으로써 1,450 °C의 비교적 낮은 온도에서도 치밀한 전해질 층을 얻을 수 있었다. 전해질층의 두께는 약 11 µm로 측정되었으며, AFL은 연료극 상부에 중첩되어 있었으나, 두 층 간 경계가 불명확하였다. 이는 XRD 분석 결과에서 확인된 바와 같이 연료극과 AFL 분말의 결정립 크기가 유사하기 때문으로 보인다.
Fig. 5는 다양한 작동 온도(750 °C, 700 °C, 650 °C, 600 °C)에서의 원통형 BZCY 단전지의 임피던스 스펙트럼을 보여준다. 작동 온도가 감소할수록 Nyquist plot의 전체 크기는 증가하였으며, 이는 전지의 전체 저항이 증가함을 의미한다. 특히 오믹 저항(Rohm)은 700 °C에서 약 0.79 Ωcm2, 650 °C에서 0.95 Ωcm2, 600 °C에서 0.98 Ωcm2로 온도 감소에 따라 현저히 증가하였다. 분극 저항(Rp)은 각각 0.036 Ωcm2, 0.041 Ωcm2, 0.053 Ωcm2로 측정되었다. C. Zuo 연구그룹의 보고에 따르면, 동일한 BZCY 전해질을 적용한 평판형 전지의 경우 700 °C에서 Rohm은 약 0.28 Ωcm2, Rp는 0.17 Ωcm2로 보고되었다.7) 이는 본 연구의 원통형 단전지가 평판형에 비해 Rohm은 더 크고 Rp는 더 작은 특성을 보였음을 의미한다. 도입부에서 언급했듯이, 원통형 전지는 구조적 특성상 전류 경로가 길어지므로 오믹 손실이 증가하는 경향이 있다. 반면, 균일한 기공 구조와 35 %의 공극률로 인한 TPB 증가 효과는 전극의 촉매 활성 향상으로 이어져 분극 저항 감소에 기여하는 것으로 해석된다. 또한 진공 슬러리 코팅법의 도입은 전해질과 연료극 간 계면 특성을 향상시켜 분극 저항을 낮추는 데 중요한 역할을 한 것으로 판단된다.
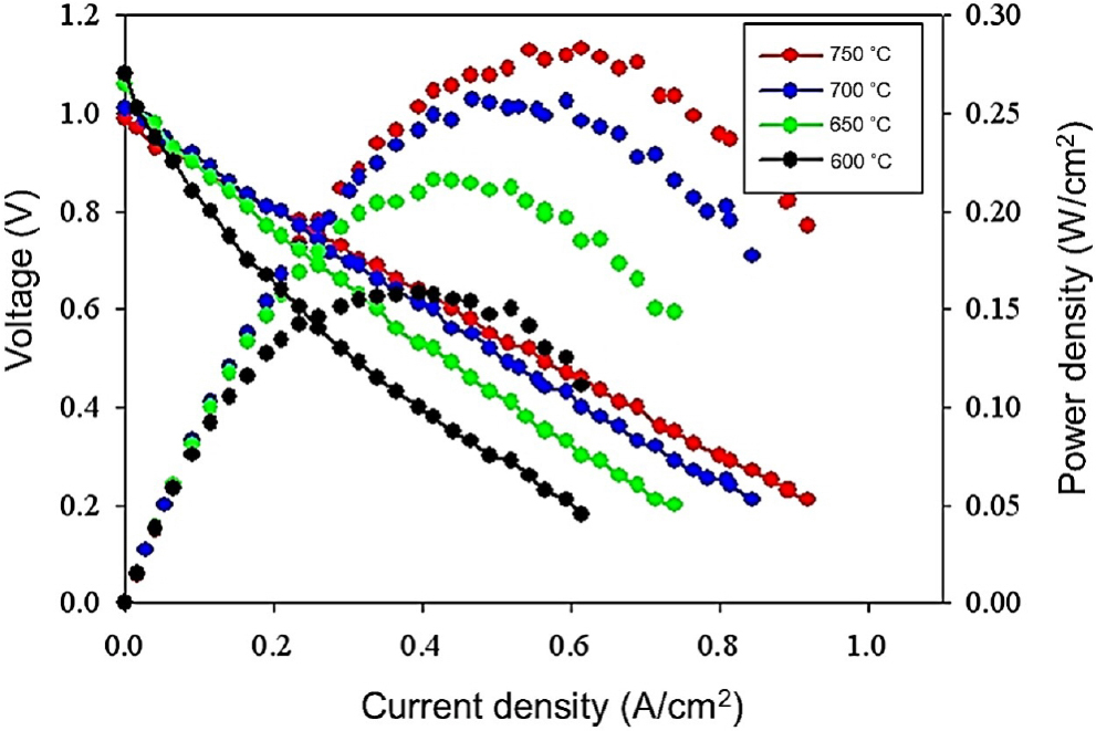
Fig. 6은 작동 온도에 따른 전지 전압과 출력 밀도 특성을 나타낸다. 원통형 BZCY 전지의 개방회로 전압(OCV)은 온도가 증가함에 따라 다소 감소하는 경향을 보였으며, 700 °C에서 OCV는 약 1.01 V로 측정되었다. OCV는 일반적으로 가스 투과도 및 전해질의 이온전도도에 영향을 받는다. 세리아계 산소이온 전도체 기반 전지가 600 °C에서 약 0.9 V의 OCV를 나타내는 것과 비교하면, 본 연구의 BZCY 전지는 동일 온도에서 더 높은 OCV를 보여주었으며, 이는 양성자 전도체를 전해질로 사용할 경우 중온 SOFC에서 높은 밀봉 성능 및 전기화학적 안정성을 구현할 수 있음을 의미한다.18) 또한, 중,저온형 ceria계 산소이온전도체는 높은 이온전도도를 보여주지만 환원분위기에 노출될 경우 전자전도성을 보여주어 셀의 OCV를 감소시키는 단점을 가진다. 그러나, 본 연구에서 사용된 BZCY의 경우 높은 양성자 전도성을 보여주면서도 전자전도성을 나타내지 않기 때문에 높은 OCV 값을 얻을 수 있었다. 전지의 출력 밀도는 700 °C에서 약 0.25 W cm-2로 측정되었으며, Liu 연구그룹이 보고한 평판형 BZCY 전지의 출력(0.65 W cm-2)보다는 낮은 수치를 보였다. 이는 전류 경로의 길이에 따른 오믹 저항 증가 및 연료극 촉매 활성 차이 등의 영향으로 해석된다.19) 그러나, L.Zhou 연구그룹이 보고한 LSM 공기극을 사용한 YSZ 기반 원통형 전지와 비교하였을 때, 800 °C에서 약 0.35 W cm-2의 출력 밀도를 나타냈으나, 본 연구의 BZCY 나노입자를 적용한 원통형 전지는 800 °C에서 0.62 W cm-2 이상의 출력을 나타내었다.20) 또한, 750 °C에서 0.28 W cm-2로 중온에서 위의 800 °C 연구결과와 비슷한 성능을 보여주었다. 일반적인 중온 영역(~650 °C)에서 0.15~0.5 W cm-2 범위의 성능을 주로 보여주는 연구들이 보고가 되고 있으며, 이는 본 연구에서 개발한 BZCY 기반 원통형 단전지가 고온은 물론 중온 영역에서도 우수한 성능을 발휘할 수 있음을 간접적으로 시사한다.21) 비록 평판형 BZCY전지와 비교하여 낮은 성능 결과를 보여주었지만, 이는 셀의 미세구조 제어 및 집전체와의 접촉 향상 등으로 향상시킬 수 있다고 여겨지며, 특히 원통형의 우수한 장기 내구성과 스택에서 단일 셀 교체의 원활함을 고려하였을 때 충분히 큰 장점을 가질 수 있을 것으로 사료된다.
4. 결 론
본 연구에서는 페로브스카이트계 양성자 전도체인 Ba(Zr0.1Ce0.7Y0.2)O3-δ(BZCY)를 전해질로 적용한 양극 지지형 원통형 고체산화물 연료전지를 성공적으로 제작하였다. 압출 공정 및 진공 보조 dip-coating 방법을 통해 제작된 전지는 전극-전해질 간 계면 결합 특성이 우수하였으며, AFL과 양극 분말의 결정립 크기는 각각 48.6 nm 및 61.8 nm로 유사한 특성을 나타내었다. 전기화학적 특성 측정 결과, 700 °C에서 오믹 저항은 0.79 Ωcm2, 분극 저항은 0.036 Ωcm2였으며, 개방회로 전압은 1.01 V, 최대 출력 밀도는 약 0.51 W cm-2로 측정되었다. 이러한 결과는 BZCY 기반의 양성자 전도체 전해질이 원통형 구조 SOFC에서도 중온 영역에서 우수한 전기화학적 성능을 발휘할 수 있음을 보여준다. 특히 균일한 기공 구조, 진공 슬러리 코팅법, 나노복합 기능층 등의 최적화된 공정 조건은 원통형 전지의 성능 향상에 효과적인 요소로 작용하였다. 따라서 본 연구는 향후 중온 운전이 가능한 대형 원통형 SOFC 개발을 위한 기술적 기반을 제공할 수 있을 것으로 기대된다.








