1.서 론
기술이 발전함에 따라 각종 전자기기가 소형화 되고 고 성능을 요구하고 있으며 이에 따라 소형화, 고용량화 등 의 기능을 가지는 이차 전지의 수요가 증가하고 있다. 현재 이를 만족시키는 전지로 리튬이온 전지가 가장 널 리 사용되고 있다.1,2) 리튬이온 전지는 우수한 비용량을 가지고 뛰어난 충·방전 특성을 가지지만 환경에 유해한 물질을 사용하며 제조 단가가 비교적 높기 때문에 이를 대체하기 위한 차세대 전지 중 금속-공기 전지가 주목 받고 있다.3,4)
금속-공기 전지는 양극으로 공기를 이용하기 때문에 전 지의 크기를 소형화 할 수 있으며 같은 크기 내에서 다 른 전지에 비하여 음극으로 사용하는 금속을 더 많이 저 장할 수 있어 높은 용량을 가질 수 있다. 특히, 아연-공 기 전지는 리튬이온 전지보다 4배 더 높은 에너지 밀 도를 가지고, 제조비용이 약 5배 저렴하다.5) 또한, 화학 적으로 안정성이 있으며 아연의 매장량이 풍부하고 환 경 오염 물질이 배출되지 않는 무공해 전지라는 점에서 장점을 가지고 있다.3,6,7)
아연-공기 전지는 방전 과정 중 양극과 음극에서 식 (1-4)의 반응이 일어난다.8,9)
이와 같은 방전 반응이 일어나는 중에 아연은 수계 전 해질과 반응을 하게 되는데, 식 (5)와 같은 수소발생반 응(hydrogen evolution reaction, HER)을 수반한다.
식 (5)의 반응으로 인하여 발생한 수소는 자가 방전을 야기하며 전지의 수명에 치명적인 영향을 미친다.10)
아연-공기 전지는 앞서 언급한 장점들을 가지고 있으 나, 수계 전해질을 이용하기 때문에 이와 음극 계면에 서의 부식 반응 및 수소발생반응으로 인해 자가 방전이 더 빠르게 진행되는 문제점이 있다. 그리고 시간이 지 날수록 전해질이 증발되어 전지의 수명이 단축된다. 또 한 공기를 양극으로 이용하기 때문에 open cell 형태로 제작되어 외부 환경에 영향을 받으며 온도에 따른 거동 의 변화가 존재할 가능성 높으며 다양한 환경에서 사용 하기 어렵고 신뢰성이 떨어진다.11-13)
온도에 대한 전기화학적 거동의 변화는 다른 종류의 전 지에서도 일어난다. 리튬이온 전지는 충·방전 온도가 높 을수록 내부 저항 값이 변동되고 이에 따른 전력량의 손 실로 전지의 수명이 감소한다.14) 태양전지의 경우에는 태 양열을 받고 높은 상태에 있는 모듈의 온도가 감소할수 록 출력이 증가하여 전지의 효율이 증가한다.15) 고분자 전해질을 이용하는 연료 전지는 온도가 증가하면 반응 물의 농도 손실로 인하여 전지의 효율이 감소한다.16) 다 양한 종류의 전지가 높은 온도조건에서 전지의 성능이 저하되었다. 그러나 아연-공기 전지의 온도에 대한 특성 은 아직 연구가 이루어지지 않았다.
본 연구에서는 아연-공기 전지를 상이한 온도 환경에 노출했을 때 나타나는 특징과 자가 방전 거동을 알아보 기 위하여 다양한 조건에서 전기화학적 방전 거동에 대 해 연구하였다. 더불어, 각각의 온도조건에서 자가방전율 을 확인하기 위하여 셀을 조립한 후 일정한 시간 동안 저장한 뒤 방전 특성을 비교하였다. Tafel 분석을 통해 전해질 내에서 아연의 부식 정도를 분석하였으며 자가 방전에 큰 영향을 미치는 요소 중 하나인 수소 포집을 통해 HER 반응을 확인하였다. 마지막으로 온도에 따른 전해질의 증발 정도를 상호 비교하였다.
2.실 험
2.1 전해질 제조
실험을 진행하기 위한 전해질로 6 M의 KOH gel을 제 조하였다. 100 mL의 증류수와 39.61 g의 KOH (KOH, 85.0 %, Daejung Chemical)를 혼합하여 6 M KOH 용 액을 만들었다. 6 M KOH 용액 25.5 g과 PAA (poly acrylic acid, m = 1,250,000) 0.5 g을 stirring machine과 magnetic bar를 이용하여 교반 시켰다. Stirring machine 을 300 rpm으로 1시간동안, 100 rpm으로 속도를 줄여 총 24시간동안 작동시킴으로 gel화 된 전해질을 제조하였다.
2.2 전지 조립
아연-공기 전지는 다음과 같이 조립하였다. Bottom cover 위에 nickel mesh와 electro container를 적층하고 그 위에 zinc powder (zinc powder, 99.0 %, Daejung Chemical) 0.6 g과 KOH gel 0.6 mL를 혼합하여 올려 주었다. 분리막(Celgard 6401)과 air cathode (ADE-75, MEET)를 올려주고, Top cover를 덮어 볼트와 너트를 이 용하여 고정하였다. Top cover는 공기가 통할 있도록 hole이 존재한다. 조립한 cell의 측면을 Fig. 1에 나타 냈다.
2.3 방전 용량 측정
온도가 방전 용량에 미치는 영향을 확인하기 위하여 cell 을 특정한 온도에 저장 후 충방전기(WonATech, WBCS 3000L)를 사용하여 방전용량을 측정했다. 아연-공기 전지 를 조립하여 30 °C, 40 °C, 50 °C, 60 °C의 건조기 내에 서 1시간 저장 후에 전기화학분석기를 이용하여 측정하 였다. 일정 온도 내에서 자가 방전의 정도를 측정하기 위해서 각각의 온도에서 6시간 동안 저장하여 방전 용 량을 측정하여 이전의 측정 결과와 비교 분석하였다. 모 든 cell은 건조기에 저장한 후에 1시간 동안 상온에서 rest time을 부여한 후 측정하였다.
2.4 부식 정도 측정
다양한 온도에서 아연의 부식 정도를 파악하기 위해 전 기화학분석기(HSTech, IVIUM Vertex)를 이용하여 Tafel 실험을 진행하였다. Zinc powder와 6 M KOH gel을 혼 합하여 cell을 조립한 뒤 각각의 온도에서 1시간, 6시간 저장 후 실험을 진행하였다. 기준 전극으로는 Hg/HgO 전극을, 상대 전극으로는 Pt 전극을 이용하였으며 1 ~ 1.8 V의 범위에서 10 mV 간격으로 전류를 측정하였다. 전 해액과 음극이 닿는 면적은 5 cm2이며 이 값으로 측정 한 전류를 나누어 전류 밀도를 계산하였다.
2.5 수소 포집 및 전해질 증발 정도 측정
HER 반응의 정도를 확인하기 위해 Fig. 2과 같이 실 험을 진행하여 수소를 포집하였다. Glass vial에 6 M KOH 용액 18 mL와 zinc powder 2 g을 넣고 혼합하였 다. 이를 silicon septa와 parafilm으로 밀봉한 후 1 mL syringe를 삽입하여 온도 별로 건조기 속에 저장하였다. 15 분 간격으로 syringe에 포집되는 기체의 부피를 측정하 였으며, 그 부피가 1 mL가 되었을 때의 시간을 비교하 여 HER 반응 정도를 측정하였다. 아연-공기 전지의 전 해질로 이용한 6 M KOH gel의 증발 정도를 얻기 위해 무게를 측정하여 나타냈다. 6 M KOH gel을 일회용 사 발에 0.6 mL를 담아 건조기에 저장하였다. 30분 간격으 로 무게를 재 기록하였으며, 총 6시간동안 측정하였다.
3. 결과 및 고찰
3.1 방전 거동 및 자가 방전 거동
30 °C, 40 °C, 50 °C, 60 °C의 온도에서 저장한 cell의 방전 용량을 Fig. 3에 나타냈다. Fig. 3(a)에서 방전 용 량은 30 °C와 40 °C에서 비슷한 값을 보였지만, 50 °C에 서 높은 용량을 보였다. 고온에서 cell의 방전 용량이 높 은 것은 분리막의 이온전도도가 증가하기 때문이다. 분 리막의 이온전도도를 식 (6)에 나타냈다.17)
여기에서 L은 분리막의 두께, A는 분리막의 면적, Re는 전해질의 저항이다. 본 실험에서는 L과 A가 동일한 조 건이므로 Re값에 의해서 분리막의 이온전도도가 결정된 다. 전해질의 저항은 식 (7)로 나타낼 수 있다. 일반적 으로 전해질의 저항 온도 계수(α)는 음의 값을 나타내 므로 온도가 높아질수록 전해질의 저항은 낮아지며, 따 라서 전해질의 이온전도도는 높아지게 된다. 그러나 60 °C 에서의 방전 용량은 비교적 낮은 값을 보였으며 Fig. 3(b)에서 50 °C, 60 °C에서 전압이 떨어지는 거동이 나타 났다. 전압이 떨어진 원인으로는 전해질의 증발로 볼 수 있으며 이를 전해질 증발 실험을 통해 확인하였다. Table 1은 방전 용량을 수치로 나타냈으며 1시간 저장한 cell 과 6시간 저장한 cell의 방전 용량을 비교하여 자가방전 율을 나타냈다. 높은 온도에서 저장할수록 자가방전율이 크게 증가했는데, 특히 50 °C와 60 °C에서 저장한 cell은 각각 65.33 %와 84.98 %의 자가방전율을 보였으며 보존 된 방전 용량이 40 % 미만이었다. 반면에 30 °C와 40 °C 에서 저장한 cell은 2.28 %와 17.84 %의 자가방전율을 보 였으며 80 % 이상의 용량이 보존됐다. 따라서 고온에서 저장할 경우 높은 방전 용량을 얻을 수 있으나 빠른 자 가 방전으로 인해 오래 사용할 수 없다는 단점이 있다.
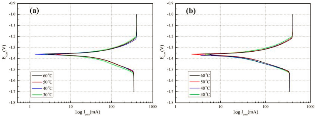
3.2 부식 거동
아연은 전해질과 반응하여 부식 반응이 일어난다. 부 식 반응은 식 (5)와 같으며 이는 전지의 수명을 단축시 킨다. Fig. 4은 Tafel 실험을 통하여 측정한 부식 전류 로 나타낸 분극곡선이다. 피크에 x축과 평행한 선을 그 어 얻은 부식 전위와 곡선의 접선과 부식 전위의 선이 만나는 점을 찾아 얻은 부식전류밀도를 Table 2에 나타 냈다. 이 중에서 부식전류밀도가 큰 값을 나타낼수록 부 식이 많이 일어난다. Table 2에서 30 °C에서 1시간동안 저장했을 때 부식전류밀도(Icorr)는 4.8440 mA/cm2로 가 장 낮은 값을 보였고, 60 °C에서 6시간동안 저장했을 때 의 Icorr은 6.8840 mA/cm2로 가장 큰 값을 보였다. 온도 가 높아지거나 저장 시간이 길수록 부식전류밀도가 커 짐을 알 수 있다. 따라서 cell을 높은 온도에서 사용하 거나 오랜 시간 동안 저장하면 부식이 많이 일어나 전 지의 수명을 단축시킨다. 30 °C의 온도 변화와 5시간의 시간 변화를 기준으로 봤을 때 시간에 따른 부식전류밀 도의 변화 정도는 0.5~0.8 mA/cm2인데 비해 온도에 따 른 부식전류밀도의 변화 정도는 1.2~1.4 mA/cm2이므로 부식 특성은 온도에 대하여 더 큰 영향을 받는다고 할 수 있다.
3.3 수소 포집
음극은 수계 전해질과 HER 반응을 일으켜 수소 기체 가 생성되며, 발생한 수소 기체는 전지의 자가 방전을 야기한다. 시간에 따라 발생하는 수소 기체의 부피를 Fig. 5에서 나타냈다. 수소 1 mL가 포집되는 데 걸린 시간을 살펴보면 60 °C에서 Zinc powder와 전해질이 반응할 때 가장 빠르게 포집되었으며 온도가 낮아질수록 수소의 발 생 속도가 저하되었다. 1.5시간 이후 포집된 수소의 부 피는 60 °C일 때 1 mL였으며 50 °C, 40 °C, 30 °C에서의 부피는 각각 0.53 mL, 0.45 mL, 0.32 mL였다. 이는 온도 다. 온도가 낮아질수록 수소 1 mL를 포집하는데 걸리는 시간의 폭이 증가하는 것으로 보아 온도가 더 낮아질 경 우 수소 발생은 더욱 느려진다는 것을 알 수 있다. HER 반응은 부식 반응이기도 하므로 수소의 발생량이 높을 수록 부식이 잘 일어난다고 볼 수 있다. 따라서 온도가 높아질수록 수소 가스의 발생량이 증가하고 이로 인하 여 자가 방전이 일어나며, 음극의 부식이 많이 일어나 결국 전지의 수명이 단축된다.
3.4 전해질 증발 정도
방전 용량 실험에서 이용한 6 M KOH gel을 30 °C, 40 °C, 50 °C, 60 °C의 온도에서 저장하여 증발된 정도를 Fig. 6에 나타냈다. 60 °C에서 저장한 전해질이 60 % 이 상의 높은 증발률을 보였으며 온도가 낮아질수록 증발 률이 감소하였다. 이는 온도가 높아질수록 분자의 운동 이 활발해지며 물의 융점에 가까워져 물이 증발되기 때 문이다. 전해질의 증발을 줄이기 위하여 KOH solution 에 gelling agent를 첨가하여 gel 형태로 만들어 이용한 다. 그러나 gel 형태의 전해질이라도 50 °C 이상의 온도 에서 cell을 이용할 경우 2시간 이후에 50 % 이상의 전 해질이 증발됨을 확인했다. 전해질의 증발은 전해질의 고 갈을 야기하며 농도가 증가하여 이온의 이동속도가 감 소한다. 이로 인하여 전지의 수명이 단축되고 성능이 저 하된다.
4.결 론
본 연구에서는 온도가 아연-공기 전지에 미치는 영향 을 파악하여 전지를 이용하기에 적절한 온도를 찾고자 하였다. 온도가 일정 수준으로 높아질 경우 분리막의 이 온전도도가 증가하여 방전 용량이 증가하였으나 60 °C에 서는 전해질의 증발과 음극의 부식으로 인하여 낮은 방 전 용량을 보였다. 30 °C에서 6시간동안 저장한 cell의 자 가방전율은 2.28 %로 우수한 거동을 보였으나, 온도가 높 아질수록 자가방전율이 크게 증가하였으며 60 °C에 6시 간동안 저장한 cell의 자가방전율은 84.98 %로 사용하기 어려운 정도의 수준을 보였다. 음극의 부식 정도와 수 소 발생량, 전해질의 증발률 모두 온도가 낮을수록 낮 은 값을 보였으며 이는 온도가 낮은 환경에서 아연-공 기 전지를 이용할 경우 이점을 얻을 수 있음을 나타낸 다. 특히 전지를 오래 사용하기 위해선 온도가 낮을수 록 유리하다. 하지만 너무 낮은 온도는 이온의 이동 속 도를 느리게 하고 분리막의 이온전도도를 낮추므로 원 하는 방전 전압을 얻기 어려울 수 있다. 따라서 30 °C 의 온도 환경에서 아연-공기 전지를 이용하는 것이 가 장 적절한 것으로 판단된다.














