1. 서 론
최근에는 SOM(solid oxide membrane)공정이 간단한 전처리, 저 투자 비용, 규모가 작은 생산 공정, 1차 산 물을 생산하기 때문에 금속산화물이 금속으로 환원되는 전해환원공정에 사용되고 있으며, 특히 SOM공정이 환경 친화적인 것에 더 관심을 끄는 것이다.1-11) 양극 SOM은 YSZ(yttria stabilized zirconia) 튜브 안에 liquid medium 와 current collector로 구성되었으며, 이는 전해환원 반 응에서 나오는 산소이온을 산소가스로 환원하는데 사용 된다. YSZ 튜브는 양극 SOM을 전해질과 음극과 분리 한다. 이로 인해, YSZ는 운전변수에 중요한 영향을 미 치는 물리/화학적 건전성을 유지함으로서 SOM공정의 운 전 시 안전 및 공정운전 수명에 영향을 미칠 것이다. 또 한, YSZ는 높은 산소이온 전도도로 인해, 전력생산과 산 소 센서,12) 금속산화물을 산화물로 직접 환원하는 실험 실적 규모의 전해환원공정과 저 탄소배출에 의한 마그 네슘 생산의 양극매체로 사용된다.13,14) 금속산화물을 금 속으로 직접 전해환원하는 SOM공정에 의해 실험실적 규 모로 여러 가지 금속, 합금강, 금속간화합물; 마그네슘, 탄탈늄, 칼슘, 알루미늄, 크롬, 실리콘, 티타늄, 티타늄- 철 합금강 그리고 티타늄-실리콘 금속간화합물들이 효과 적으로 처리된다.15-28) 또한 SOM공정의 주요 특징은 부 산물의 저장 및 처리비용이 없는 것이다. 그러나 SOM 공정에서 YSZ 안정성이 공정운전수명의 관건이다. 액상 금속 양극재는 SOFC에 널리 사용되며, 장시간운전에도 안정성을 보였다.29) 그러나 SOM공정에서 YSZ 안정성 은 여러 종류의 용융염에서 상호반응에 의존할 것으로 예측된다.30-34) 예로서 SOM공정의 운전주기의 감소는 전 해질에 YSZ의 안정제인 Y2O3의 용해가 주요 원인이며, 이에 대해 SOM공정의 운전수명을 연장하기 위해 전해 질에 YF3 첨가해서 연구를 수행하였다.37) 그러나, YF3 첨가는 유사한 환원전위로 인해 희토류금속(예; 네오디 늄)의 전해제련에 SOM공정의 적용은 적합하지 않았다. 그래서 여러 종류의 고가금속의 전해제련공정에 SOM공 정을 적용하기 위해 염기성 전해질에 대한 재료의 안정 성에 대한 검토가 매우 중요하다. SOM공정에서 YSZ의 안정성을 위해서 안정제인 Y2O3 첨가보다는 재료 특성 자체의 개량이 필요할 것으로 판단된다. 본 연구에서는 성형 방법에 의해 제조된 펠렛을 1,150 °C, CaCl2-CaF2- CaO 용융염에서 YSZ의 안정성에 미치는 영향을 고찰 하였다.
2. 실험 방법
2.1 시편 제조
YSZ 시편 제조에는 8 mol% YSZ(99 % pure, Tosoh Corporation, Tokyo, Japan) 분말을 사용하였으며, die press(Model; C Press Hydraulic, Carver, USA)와 cold isostatic press(Type 1011-8-16-30, Loomis Products Company, USA) 두 장비를 사용하여 펠렛형태로 성형하였으며, 같 은 조건에서 성형 방법에 따른 밀도 차이를 비교하기 위 하여 1,000 bar에서 1분 간 유지하여 제조한 펠렛을 대 기 소결로에 장입하여 5 °C/min 승온 속도로 1,500 °C 에 서 2시간 유지한 후 로냉하여 소결체를 회수하였다.
2.2 고온 안정성 실험
고온 안정성 실험 장치는 Fig. 1에 나타내었으며, 반 응로에 YSZ 시편과 CaCl2-CaF2-CaO 분말을 담은 흑연 도가니와 보호도가니인 알루미나도가니를 넣고 1,150 °C 아르곤 분위기에서 고온 안정성 실험을 행하였다. 침탄 현상을 방지하기 위하여 YSZ와 반응성이 거의 없는 Nickel plate를 YSZ 시편과 흑연 도가니 사이에 배치하 여 직접적인 접촉을 차단하였다. 또한 전해질로 사용된 CaCl2(anhydrous, purity; 95 %, Junsei Chemical Co. Ltd.): CaF2(purity; 98 %, Junsei Chemical Co. Ltd.): CaO(purity; 98 %, Junsei Chemical Co. Ltd.); 각각 56 wt%(15 g) : 34 wt% (9.19 g) : 10 wt% (2.69 g)의 비율로 혼합된 분말을 흑연도가니에 장입한 후 수분 제거를 위 하여 300 °C에서 6시간 동안 건조하였으며, 고온 안정성 실험을 위하여 YSZ 시편과 혼합용융염이 장입된 흑연 도가니를 반응로에서 5 °C/min 승온속도로 1,150 °C까지 가열한 후 24시간, 120시간 유지한 후 4 °C/min로 로냉 하였다.
2.3 특성 평가
소결 전 성형체의 밀도는 버니어 켈리퍼스와 고정밀 저울을 이용하여 측정한 부피와 무게를 이용하여 계산 하였고, 소결체의 밀도는 아르키메데스 원리를 이용하여 에탄올과 대기 중에서 YSZ 시편의 무게를 측정하였으 며, 식 (1)을 이용하여 계산하였다. 관련 식 (1)은 다음 과 같다.
W(a) : 대기 중 무게, W(fl) : 유체 중 무게, ρ(fl) : 유 체 밀도, ρ(a) : 대기 밀도
이론 밀도는 식 (2)를 이용하여 계산하였다. 기존에 보고 된 8 mol% YSZ가 상온에서 tetragonal 상을 갖 을 때의 격자 상수를 이용하여 소결체의 밀도를 계산 하였다.36)
d : 격자상수, M : mole percentage of Y2O3 stabilizer.
열화된 YSZ 시편의 외관상 표면상태를 관찰하고, 증 류수에서 초음파 세척하여 전해질을 제거한 후 80 °C 아 르곤 분위기의 건조로에서 24시간 이상 건조한 다음 파 단면 분석을 위하여 물리적으로 시편을 파괴하였다. 파 단된 YSZ 시편의 미세구조, 형상, 화학적 조성은 장방 출 주사 현미경(FE-SEM, JEOL, JSM-7000F)과 energy dispersive X-ray spectroscopy(EDS) system을 이용하 여 분석하였다. 또한 상 분석은 X-ray diffraction(XRD, Rigaku International Corporation, D/MAX-2200 Ultima/ PC)를 이용하여 YSZ 시편의 표면을 분석하였다. 분석 조 건은 다음과 같다 : applied voltage of SEM/EDS = 15 kV; vacuum pressure = 9.55 × 10−4 Pa; XRD scan rate = 4.0 deg/min; step = 0.05 deg; half-width (2θ) = 10° – 90°.
3. 결과 및 고찰
3.1 상대 밀도 분석
성형 방법에 따른 상대 밀도 차이는 Fig. 2에 나타내 었다. 동일한 YSZ 분말을 die press와 CIP를 이용하여 1,000 bar의 압력에서 1분간 유지 하였다. 특히 CIP의 경우에는, die press를 이용하여 200 bar 이하의 압력으 로 디스크 형상의 YSZ 시편을 제조한 뒤 공업용 콘돔 에 넣고 진공펌프를 이용하여 시편과 밀착시킨 뒤 CIP 공정을 진행하였다. Fig. 2에서 보는 바와 같이 제조된 디스크 형상의 성형체의 밀도는 각각 46.7 %, 50.9 %로 측정되었으며, YSZ 펠렛은 대기 소결로에서 5 °C/min 승 온속도로 1,500 °C까지 가열한 후 2시간 유지하여 소결 체를 제조하였으며, die press와 CIP에 의해 제조된 소 결체의 밀도는 각각 93.3 % 및 99.3 %를 나타내었다. 성 형 조건이 같을 때 die press를 이용한 성형보다 CIP를 이용한 성형이 고밀도의 YSZ 시편을 얻는데 유리하다 는 것을 알 수 있었다. 이는 Fig. 3에서 보듯이 die press 의 경우 CIP와 다르게 압력이 전체적으로 고르게 가해 지지 않고, 상·하부 펀치 부위에 강하게 가해지기 때문 에 밀도 불균일 상태가 발생하는 것으로 판단된다. 또 한 Fig. 4의 SEM image에서 보는 바와 같이 표면 형상 에 의해 두 성형 방법의 밀도 차이를 좀 더 직관적으 로 확인할 수 있었다. CIP와 비교해 볼 때 die press에 의한 시편 표면 및 파단면이 덜 치밀화하고 다수의 기 공이 존재하는 것으로 나타났다. 생성된 기공이 미치는 영향을 고려해 볼 때, SOM공정에 의한 전해환원에서는 높은 이온전도성이 필요한데 기공은 전도성 저항으로 작 용하고, 또한 기공을 통한 전해질과 안정제인 Y2O3의 화 학반응으로 인한 감소 및 상변태로 YSZ 시편의 안정성 에 크게 영향을 미칠 것으로 생각된다.

Fig. 2
Relative density of the YSZ specimen by die press and CIP at 1,000 bar for 1 min (green density) and at 1,500 °C for 2 h (sintering density).
3.2 안정성 거동
3.2.1 상 구조
Fig. 5는 1,150 °C, CaCl2-CaF2-CaO 용융염에서 24시 간, 120시간 동안 안정성 실험한 die press 및 CIP에 의 한 YSZ 시편 표면의 XRD 분석결과를 나타낸 것이다. 실험 전의 시편은 모두 t-ZrO2 피크를 나타낸 것과는 달 리 실험 후에는 t-ZrO2 피크의 강도가 급격하게 감소하 는 반면에 o-CaZrO3 피크의 강도가 현저히 증가하였다. YSZ 시편의 t-ZrO2 상은 안정제인 Y2O3에 의해 안정화 되기 때문에 t-ZrO2에서 Y2O3의 침출은 m-ZrO2로의 상 변태를 초래한다.37,38) 또한 CaZrO3은 상변태된 m-ZrO2 와 전해질 내 CaO와의 화학반응 반응식 (3)과 (4)로부 터 생성되는 것으로 판단된다.

Fig. 5
XRD patterns of the YSZ specimen by die press (a), (b) and CIP (c), (d) degraded at 1,150 °C in CaCl2-CaF2-CaO molten salt for 24 h and 120 h.
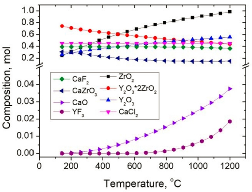
위 식에서 YSZ 시편 내의 안정제인 Y2O3가 전해질 로 용해됨으로서 Y2O3 고갈을 초래하는 것으로 보인다. 이는 Fig. 6과 같이 HSC Chemistry7.1를 이용한 열역학 적 평형상 계산으로부터도 확인할 수 있다. 전해질의 주 성분인 CaCl2의 경우 전 온도 범위에서 조성의 변화가 없음을 알 수 있으며, 이는 CaCl2이외에 어떠한 염화물 상이 생성되지 않음을 통해서도 확인할 수 있다. 한편, ZrO2의 경우, CaZrO3상의 형성을 통하여 매우 큰 조성 변화를 거치며, 이는 Fig. 5의 XRD결과를 통해, 염욕실 험 후 YSZ의 표면이 대부분 CaZrO3상으로 이루어짐을 통해 상변화를 일으킴을 알 수 있다. 이처럼 CaO와 ZrO2의 강한 화학결합은 결국 YSZ내의 Y2O3의 분해로 이어지며, 전해질 내에서 CaZrO3와 더불어 YF3를 생성 하게 된다. YF3는 800 °C부터 생성이 시작되며, 온도 증 가에 따라 증가하는 경향을 보이고 있고, CaO의 증가 를 야기시킨다. 아울러 식 (3)에서 ΔG가 양의 값으로 나 타났으나, 이는 CaO와 상변태된 ZrO2에 의한 식 (4)의 ΔG가 보다 큰 음의 값을 나타내므로 안정제인 Y2O3와 전해질 CaF2의 화학반응에 의한 YF3 생성 및 CaZrO3 상의 형성에 의한 것으로 생각된다.
3.3.2 형상
Fig. 7은 die press와 CIP에 의해 제조된 YSZ 시편의 파단면을 나타낸 것이다. Fig. 7에서 보는 바와 같이 die press에 의한 시편은 CIP보다 덜 조밀하며 입계에 많은 기공들이 나타났다. 고온 안정성 실험 시 입계에 따라 생성된 기공들을 통해 전해질의 내부 확산을 용이하게 함으로서 YSZ 시편의 내부에서 안정제인 Y2O3와의 화 학반응으로 생성된 생성물의 특성, 예로서 열팽창계수가 YSZ와 다르기 때문에 냉각 시 크랙이 발생38)할 수 있 어, YSZ의 안정성에 크게 영향을 미칠 것으로 생각된 다. Fig. 8은 die press와 CIP에 의해 제조된 YSZ 시편 을 1,150 °C, CaCl2-CaF2-CaO 용융염에서 24시간, 120 시간 동안 안정성 실험한 시편의 단면을 나타낸 것이 며, Fig. 8에서 보는 바와 같이 24시간에서는 die press 에 의한 시편은 내부까지 생성물이 간헐적으로 보이나 120시간에서는 생성물의 분포가 크게 나타났으며, 이는 앞에서 기술한 입계에 생성된 기공을 통한 전해질의 내 부 확산에 기인하는 것으로 판단된다. 반면에 CIP 경우 는 Fig. 4와 7에서 보는 바와 같이 전해질의 내부 확산 을 용이하게 하는 기공이 매우 적기 때문에 내부에서 생성물이 거의 나타나지 않는 것으로 판단된다. 또한 내 부에 생성물이 형성하는 것은 시편에 형성된 표면층의 형상에 크게 영향을 받을 것으로 생각된다. Fig. 7에서 보는 바와 같이 CIP에 의한 시편에서는 die press 보 다 조밀하고 연속적인 층을 나타내었으며, 이는 전해질의 내부 확산을 저지하는 역할을 하는 것으로 사료된다. Fig. 9은 die press에 의해 제조된 YSZ 시편을 1,150 °C, CaCl2-CaF2-CaO 용융염에서 120시간 동안 안정성 실험한 시편의 단면과 점 분석한 결과를 나타낸 것이 다. Fig. 9의 점 분석결과를 보면 O는 26.73 ~ 26.76 wt%, Ca는 20.10 ~ 22.38 wt% 그리고 Zr는 50.86 ~ 53.17 wt% 로 나타났으며, 이는 생성물이 CaZrO3임을 알 수 있다. 이러한 결과는 Fig. 5의 XRD 분석결과와 일치함을 알 수 있다. 이상의 실험결과에 의하면 99 % 이상의 밀도 와 조밀하고 기공의 생성이 적을수록 안정성 측면에서 우수함을 알 수 있었다.

Fig. 7
Cross-sectional SEM images of the fractured YSZ specimens by die press (a) and CIP (b) sintered at 1,500 °C for 2 h.

Fig. 8
Cross-sectional SEM images of the YSZ specimen by die press (a) and CIP sintered at 1,500 °C for 2 h degraded at 1,150 °C in CaCl2-CaF2-CaO molten salt for 24 h and 120 h.

Fig. 9
Cross-sectional SEM image and EDS analysis of the YSZ sample by die press degraded at 1,150 °C in CaCl2-CaF2-CaO molten salt for 120 h.
이상의 결과로부터 결정립내 보다 에너지가 높은 결정 립계에서 Y2O3의 용출반응이 우선적으로 발생하므로 결 정립을 보다 조대화시키는 소결 조건 확보가 필요할 것 으로 여겨진다. 이때, 기계적 강도와의 연계를 통한 최 적화 연구 또한 요구된다. 따라서 향후 소결체를 제조 시 소결 조건에 변화를 주어 결정립 성장을 최대한 성 장시켜 결정립계 표면적 감소로 인한 내식성 및 기계적 물성을 향상 시키는 방향으로 추가 연구가 필요하다.
4. 결 론
이상과 같은 연구의 결과 다음의 몇 가지 결론을 얻 을 수 있었다.
(1) 동일한 YSZ 분말을 die press와 CIP를 이용하여 1,000 bar의 압력에서 1분간 유지 후 회수 하여 디스크 형상의 YSZ 펠렛을 제조하였으며, 성형체의 밀도는 각 각 46.7 %, 50.9 %로 측정되었다.
(2) YSZ 펠렛을 대기 소결로를 이용하여 5 °C/min 승 온속도로 1,500 °C 까지 가열한 후 2시간 유지하여 소 결체를 얻었으며, 소결체의 밀도는 각각 93.3 % 및 99.3 %를 나타내었다.
(3) XRD 분석에 따르면, 안정성 실험 후 YSZ 시편 은 실험 전 시편의 t-ZrO2 피크와 비교해 보면 t-ZrO2 의 피크가 감소하고, o-CaZrO3 피크가 크게 나타났다. CaZrO3는 CaO와 m-ZrO2의 화학반응에 의해 생성된 것 으로 판단된다.
(4) FE-SEM 분석에 의하면 CIP에 의한 YSZ 시편의 경우 파단면 표면에서만 화학반응이 일어나 CaZrO3가 생 성되었으며, 반면에 die press에 의한 YSZ 시편의 경우 표면에서 뿐만 아니라 내부의 기공들 사이로 전해질(CaO) 이 내부 확산하여 안쪽 부분에도 CaZrO3가 생성되었으 며, 실험 시간이 길어질수록 내부의 전 영역으로 확장 할 것으로 생각된다.
(5) SOM 양극을 이용한 전해환원, 전해정련 및 전해 재련공정의 운전 시 장기적인 운영 측면에서 볼 때, 저 밀도 YSZ의 양극 SOM공정은 전해질의 내부 확산으로 인해 안정성이 급격하게 저하될 것으로 판단된다. 따라 서 YSZ의 고밀도화와 동시에 전해질과의 반응속도를 줄 이는 연구가 필요할 것으로 사료된다.






