1.서 론
최근 CZTSSe 흡수층은 높은 광흡수 계수(104 cm-1), 지구상에 풍부하고 무해한 원소의 사용, 그리고 흡수층 을 구성하는 원소인 S와 Se의 비율을 조절함으로써 에 너지 밴드갭을 쉽게 조절할 수 있는 등 다양한 이점으 로 인해 주목받고 있다.1)-4) 상업적으로 많은 발전을 이 룬 CIGS, CdTe 및 실리콘 기반의 태양전지는 약 20% 이상의 높은 효율이 보고되어 있는 반면, 구성 원소의 독성 및 원재료 수급의 어려움 등에 직면하고 있다.5-7) 따라서 CIGS 태양전지에서 In과 Ga을 Zn와 Sn으로 대 체하여 공정 비용이 낮고 높은 광전변환 효율을 가진 CZTSSe 태양전지의 연구 필요성이 높아지고 있다.
Shockley-Queisser photon balanced calculations를 통 해 계산한 CZTS 기반의 박막형 태양전지의 최고 광전 변환 효율 32.2 %에 비해 실제 최고 광전 변환 효율은 현재 12.6 %로 낮다.8) 이것은 주로 다성분계 결정 내 에서 2차상과 결함을 제어하기 어렵기 때문에, Kesterite 결정 형성이 쉽지 않은 것에 기인한다.9) CZTSSe 결 정을 성장할 때 대표적인 문제점으로는 화학양론적 조 성비를 따를 때 원자 반경이 비슷한 Cu-Zn 치환 결 함 생성, Stannite-Kesterite 구조의 혼재 가능성 등이 있다.10,11) CZTSSe 결정 내 결함이나 2차상은 에너지 밴드갭 내에 국부적으로 mid-gap state를 형성하며, 더 좁은 밴드갭으로 인해 생성된 광전하가 쉽게 재결합하 는 trap state로 작용한다. 이는 곧 개방전압(Voc, open circuit voltage) 감소 및 태양전지 성능 저하의 원인이 된다.12)
이러한 문제를 개선하기 위해 최근 Kim et al. 은 Na 도핑이 흡수층의 grain boundary passivation과 CuZn 결 함 억제에 기여하여 Voc가 상당히 향상됨을 보고했다.12) 그 이전에도 Stanbery et al.은 Na doping의 비슷한 효 과를 PN접합 구조의 다양한 태양전지 흡수층에서 확인 하였다.13) Yan et al. 은 흡수층의 형성 이후 상부에 증 착된 CdS buffer 층을 추가적으로 열처리하여 Cd 이온 이 흡수층으로 확산할 때, CuZn 결함이 감소하는 것을 보였다.14) Rudisch et al. 은 500 °C 이상의 온도에서 생성된 CZTS 흡수층에 추가적인 열처리를 통해 처음 생 성된 CuZn 결함을 재배열함으로써 배치 불균형을 완화하 였다.15) Pawar et al.은 CZTS가 낮은 열처리 온도 조건 (500 °C)에서는 결정이 원활히 성장하지 않음과 높은 온 도 조건(580 °C)에서 더 큰 결정립을 나타냄을 보였다.16) Temgoua et al. 은 Co-sputtering 방법으로 금속 전구체 를 증착한 후 열처리 공정 온도를 폭넓게 비교하여 2 차상과 더불어 CZTSSe Keterite 결정의 성장이 온도에 따라 어떻게 변하는지 연구했다. 또한 550 °C 이상의 온 도에서 Se의 bulk 내 확산이 지연되어 흡수층 내 CZTS, CZTSe Kesterite 가 각각 응축됨을 보였다.17)
위의 연구 결과들을 바탕으로 CZTSSe 기반 흡수층의 추가적인 도핑이나 열처리를 통해 결정 내 결함 및 이 로 인한 전하의 재결합을 줄이고 결과적으로 Voc 특성과 태양전지의 성능을 향상시킬 수 있음을 알 수 있다. 더 불어 스퍼터링 방법으로 증착한 금속 전구체를 고온에 서 급속 열처리하여 CZTSSe Kesterite 결정을 형성할 때에는 금속 상태의 Zn-Sn-Cu층에 공정 온도, 공정 시 간, S/Se의 분율, 공정 압력 등 여러 가지 인자가 복합 적으로 영향을 미치기 때문에 다양한 공정 개선을 통해 흡수층의 품질을 향상시켜야 한다.18)
이번 연구에서는 스퍼터링 방법을 통해 금속 전구체의 조성을 정밀하게 제어했으며, 열처리 공정 온도를 미세 조 절한 흡수층을 적용하여 태양전지를 제작했다. 흡수층을 형성할 때 열처리 공정 온도 조건에 따라 결정의 품질 이나 각 박막 계면 사이의 특성이 크게 바뀌므로 이를 세밀하게 조절하여, 재현성 있고 우수한 흡수층의 품질을 확보하려고 했다. 이후 XRD (X-ray Diffraction), XRF (X-ray fluorescence), SEM (scanning electron microscope), EDS (energy dispersive spectroscopy), EQE (external quantum efficiency), RAMAN 등 다양한 분석을 통해 열처리 공정 온도에 따른 태양전지의 광전 변환 효율과 소자 특성을 분석했다.
2. 실험방법
2.1. 흡수층 제작
흡수층의 하부 기판으로 1 μm 두께의 Mo이 증착된 SLG 기판을 사용했다. 암모니아 30 % 수용액과 증류수 를 1 : 3의 비율로 희석한 암모니아 수용액으로 기판을 세 척한 후 다시 증류수로 씻어내고 건조했다. 그 위에 DC sputtering system을 이용하여 전구체인 Zn, Sn, Cu 금 속을 순서대로 증착 했다. 이후 Tube furnace를 사용하 여 90분 동안 Ar 분위기, 300 °C에서 Soft annealing 하 여 금속 간 확산과 Cu-Sn, Zn-Sn 화합물 형성을 유도했 다. 다음으로 chamber RTA system에서 sulfo-selenization 하여 금속 전구체를 kesterite 구조로 성장시켰다. 이때 공 정 초기 압력은 500 Torr이며, 최적의 열처리 온도 조 건을 알기 위해 510 ~ 540 °C에서 10 °C 차이로 온도를 변화시켜 열처리했다. 금속 기판은 Graphite box 내부에 서 S : Se = 1 : 100 비율의 powder source와 함께 가열되 며 기화된 source는 일정한 분압으로 작용하여 배향이 일 정한 수 μm 크기의 CZTSSe 결정으로 성장한다.
2.2. 태양전지 제작
P-type CZTSSe 박막과 N-type 투명 전극의 접합에 서 band gap alignment를 개선하기 위하여 CdS 박막을 buffer layer로 적용했다. CdS는 chemical bath deposition 방법을 이용하여 증착을 진행하였다. 용액은 0.2M Thiourea, 0.19 M Ammonia, 0.0031 M CdSO4를 1L 의 수용액 형태로 사용하며, 1분간 용액끼리 8 °C로 교 반하고 이 후 기판을 넣어 60 °C로 14분 30초 동안 증 착했다. 그 다음으로 N-type 투명 전극으로 intrinsic zinc oxide와 aluminium doped zinc oxide (AZO)를 순 서대로 증착했다. 이때 RF sputtering 방법을 사용하며, AZO의 경우 350 °C의 기판 온도를 적용하여 증착하였다.
2.3. 특성 평가
CZTSSe 태양전지에서 서로 다른 열처리 공정 온도에 따른 흡수층 결정의 표면 및 단면 품질을 분석하기 위 해 high resolution scanning electron microscope (HRSEM) 를 사용했고 아울러 energy dispersive spectroscopy (EDS)를 통해 결정 내 원소 분포를 분석했다. 흡수층의 화학적 성분 분석을 위해 X-ray Fluorescence spectrometer를 사용했으며, 결정의 배향 정도 및 2차상의 유 무를 이해하기 위해 X-ray diffraction 및 Laser Raman spectrophotometer 결과를 비교 분석하였다. 마지막으로, Solar simulator를 사용하여 태양전지의 광전 변환 효율 및 external quantum efficiency등 성능을 평가했다.
3. 결과 및 고찰
Fig. 1은 CZTSSe 박막의 단면, 표면 등 미세구조를 분석하기 위해 HR-SEM을 이용해 관측한 사진이다. 열 처리 공정 온도가 증가함에 따라 단면, 표면 모두에서 CZTSSe 결정립이 더 크게 성장하였고 그에 따라 표면 에서 관찰되었던 핀홀의 크기와 수가 줄어들었다. 이는 CZTSSe 결정이 열 합성을 통해 생성되는 반응 경로를 통해 설명할 수 있다. 450 °C 이상의 온도에서 Se은 서 서히 bulk로 확산하며 양이온의 이동을 유발한다. 이때 표면에는 450 °C 이하의 온도에서 이전에 생성된 CuSe, SnSe 등의 작은 결정립이 존재하는데, 550 °C 이상의 온 도가 가해지면 흡수층 표면에 존재하던 CuSe 이차상은 Se이 빠르게 확산함과 동시에 큰 CZTSSe 결정을 이룬 다.17) 흡수층의 두께는 520 °C 이상의 온도에서는 모두 비슷하여 크게 차이가 없었다. 급속 열처리 중 비교적 낮은 온도에서는 결정 생성 반응에 필요한 에너지가 충 분히 공급되기 어렵거나 전구체 및 chalcogen source의 분포가 불균일하고, 너무 높은 온도에서는 생성된 CZTSSe 결정이 Mo 표면에서 Cu2S, ZnSe, SnS 등 2차상으로 분해되기 때문에 열처리 공정 온도를 미세하게 조절하 여 태양전지 성능을 개선할 수 있다.19)

Fig. 1
Cross-sectional and Surface image of CZTSSe absorber with different annealing temperature. (a), (e) 510 °C, (b), (f) 520 °C, (c), (f) 530 °C, (d), (f) 5 40 °C
Fig. 2는 EDS를 이용하여 단면에서 원소의 분포를 열 처리 온도 차이가 가장 큰 510 °C와 540 °C에 대하여 비 교 분석한 사진이다. 흡수층과 CdS buffer층 이후에 증 착된 AZO 박막은 기판온도를 350 °C로 유지하면서 증 착되었다. Cu는 다른 전구체 원소보다 활발하게 박막 의 전 영역으로 확산하는 반면 Sn, Zn 원소는 이 실험 에서는 확산이 거의 나타나지 않았다. Chalcogen source 는 높은 온도에서 더욱 활발하게 Mo층으로 확산하여 Mo(S,Se)2를 형성한다. 높은 공정 온도 조건에서는 Mo back contact에 Mo(S,Se)2가 쉽게 생성되어 직렬 저항 특성에 영향을 주기 때문에 공정 온도 조건을 미세하게 조절할 필요가 있다.19)

Fig. 2
EDS-mapping image of Mo/CZTSSe/CdS/i-ZnO/AZO thin films annealed at (a) 510 °C and (b) 540 °C (Cross-Sectional, Cu, S, O, Zn, Se, Mo, Sn, Cd)
Fig. 1에서도 나타난 것처럼 흡수층과 기판의 계면에 서는 비교적 작은 크기의 결정립이 관찰되며, 이때 510 °C에서 형성된 CZTS층의 두께가 540 °C의 경우보다 두 꺼운 것을 확인할 수 있었다. 이는 Zn 원자가 Mo 표면 에서 ZnS 결정을 형성하면서 이동도가 낮아지며, 응축 하는 경향으로 인해 생성되는 결정이다. 이 결정은 안 정한 2차상으로 Voc 특성 및 태양전지 효율 저하의 원 인이 된다.20) 반면 Se은 흡수층 전체에 걸쳐 CZTSe 결 정립을 형성하였다.
Table 1은 XRF를 이용하여 CZTSSe 흡수층 표면의 원자 조성비를 분석한 것이다. 같은 금속 전구체를 사 용하여 온도 변화에 따른 금속 조성비의 큰 차이는 확 인할 수 없었고, 510 °C 이하의 온도 조건에서만 S의 함 량이 확연히 낮았다. 이러한 표면 분석 결과는 Fig. 1의 낮은 열처리 공정 온도 조건에서 Mo/CZTSSe 계면의 더 큰 CZTS 결정립 분포와 일치한다.
Table 1에서 확인할 수 있는 Cu-poor, Zn-rich 조건은 Kesterite 태양전지의 성능 개선 연구에서 이론적으로 잘 설명되고 있는 조건이다. 이는 VCu가 p-type 전도도에 기 여하기 때문인데, 낮은 반응 에너지를 가져 CZTS나 CZTSe 결정에서 쉽게 생성되는 (VCu+ZnCu)는 valence band의 에너지 레벨을 낮춰 태양전지 성능 향상에 기여 한다.21)
Fig. 3은 CZTSSe 단일 박막의 결정 배향도와 2차상 의 생성 여부 등 결정학적 정보를 확인하기 위해 각각 XRD, Raman 분석한 결과이다. Fig. 3(a)로부터 540 °C 온도 조건 이하의 모든 조건에서 28.45 deg., 47.69 deg. 에 해당하는 Cu2ZnS3 상이 확인되었다(JCPDS89-4714). 피크의 강도는 540 °C의 온도 조건에서 가장 강하게 나 타났다(JCPDS52-0868). 라만 분광 분석에서는 마찬가지 로 540 °C의 온도 조건에서 피크의 강도가 가장 강하 게 나타났다.22) 또한 모든 온도 조건에서 203, 251 cm-1 의 ZnSe 피크가 두드러지게 확인되었으며, 348 cm-1의 Cu2ZnS3 피크가 약하게 나타났다.23,24) 위의 결정학적 분 석으로부터 2차상의 생성 여부가 흡수층의 성능 변화에 일부 기여하지만, 공정 온도 변화에 따른 결정성 향상 과 Cu 관련 2차상의 존재 여부가 흡수층의 성능에 더 큰 영향을 주는 것으로 해석할 수 있다. 그 결과 Fig. 1에서 확인한 것처럼, 비교적 높은 온도 조건에서 결정 립이 더 크고 동종으로 성장하며, 핀홀의 분포가 줄어 들기 때문에 태양전지 회로 내 shunting path를 억제하 는 데 기여할 수 있다.

Fig. 3
(a) X-ray Diffraction Pattern and (b) Raman spectra results of CZTSSe films with different annealing temperature.
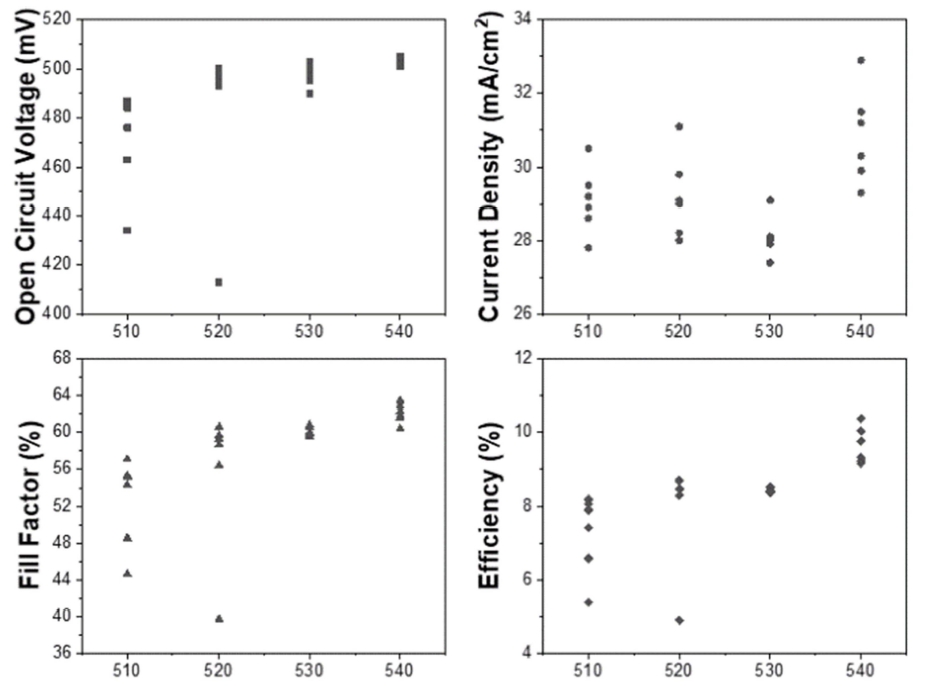
Fig. 4는 CZTSSe 흡수층을 각각의 공정 온도 조건 에서 열처리하여 제조한 태양전지 소자의 광전변환 효 율 및 전기적 특성을 평가한 결과이다. 540 °C 온도 조 건에서 가장 높은 광전변환 효율 10.37 %를 얻었으며 이 때 각각 501 mV의 Voc, 32.9 mA/cm²의 Jsc, Fill factor 62.9 %를 나타냈다. 각각의 인자에서 모두 온도가 증가 함에 따라 일정하게 특성이 향상되는 경향을 확인할 수 있다. 이는 금속 양이온과 S, Se 원자가 원활하게 확산 및 반응하기 적합한 열에너지를 받는 경우, 크고 균일 하며 동종인 결정립을 생성함으로써 흡수층의 전반적인 품질이 향상된 결과일 수 있다.

Fig. 4
Device parameter of CZTSSe solar cells with different absorber annealing temperature. Each column refer to sub-cells in one device.
Fig. 5(a)는 각각의 공정 온도 조건에서 가장 높은 광 전 변환 효율을 나타낸 cell의 J-V 곡선이다. 공정 온도 가 증가함에 따라 Voc와 FF가 증가하는 경향을 보이고 540 °C 공정 온도 조건에서는 Jsc도 확연히 증가하여 결 과적으로 10.37 %의 효율을 보였다.

Fig. 5
(a) J-V curves and (b) External Quantum Efficiency curves corresponding to the best PCE of solar cell devices using CZTSSe thin films with different annealing temperature.
Fig. 5(b)는 각각의 공정 온도 조건에서 가장 높은 광 전변환 효율을 나타낸 cell의 외부 양자 효율 곡선이다. 플랑크 상수를 통해 표현한 에너지와 파장의 관계식은 다음과 같다.
이 방정식에서 ℏ는 플랑크 상수이며, ν는 진동수이다. 이를 eV 단위로 변환하면(1 eV = 1 6*10-19J) E(eV) = 1240/λ(nm)로 표현할 수 있다.
Fig. 5(b)로부터 흡수층의 에너지 밴드갭을 계산하여 각 각 510 °C 온도 조건에서 1.043 eV, 540 °C 온도 조건에 서 1.050 eV를 얻었다. EQE 결과로부터 에너지 밴드갭 의 확장과 최대 Voc가 연관됨을 알 수 있다. 덧붙여, 이 러한 에너지 밴드갭의 확장은 (VCu+ ZnCu)의 분포 증가 로 설명 가능하고 Table 1에서 Cu/(Zn + Sn) 값이 공정 온도 증가에 따라 감소하는 반면, Zn/Sn 값은 증가하는 경향과도 일치한다.21)
4.결 론
DC sputtering을 통해 증착한 금속 전구체를 급속 황 화 열처리하여 CZTSSe 흡수층을 제작할 때 열처리 공 정 온도를 미세하게 조절하여 태양전지의 구조적, 화학 양론적, 결정학적, 전기적 특성을 분석하였다. CZTSSe 흡 수층은 열처리 공정 온도가 증가함에 따라 결정립의 크 기가 커지며 치밀하게 성장했고 이로 인해 결정성이 크 게 향상되었다. 그 결과 생성된 전하의 재결합이 억제 되어 전기적 특성이 향상되었다. 540 °C 열처리 공정 온 도에서 급속 열처리한 CZTSSe 흡수층은 최대 10.37% 의 광전변환 효율을 나타냈으며, 이러한 결과를 토대로 열처리 공정 온도를 미세하게 조절함으로써 CZTSSe 태 양전지의 효율을 크게 향상시킬 수 있었고, 이는 태양 전지 소자 특성을 개선하는데 매우 중요함을 확인하였다.



